Подготовительный этап
Перед тем, как приступим к построению графиков, повторим некоторые необходимые темы, которые могут быть использованы при решении заданий второй части № 22.
I. Разложение многочлена на множители - это представление многочлена в виде произведения многочленов.
Для этого применяют следующие способы:
1. Вынесение за скобки общего множителя
а*в + а*с = а*(в + с)
Например, 3х2 - 6х = 3х (х – 2)
2. Формулы сокращенного умножения
Часто используемые |
Например |
а² - в² = (а-в)*(а+в) |
9х² - 16у² = (3х – 4у) (3х + 4у) |
а² + 2ав +в² = (а+в)² |
25х² + 40 ху + 16 у² = (5х +4у)² |
а² - 2ав +в² = (а-в)² |
81х² - 36 ху + 4у² = (9х – 2у)² |
3. Метод группировки
Объединить члены многочлена в такие группы, которые имеют общий множитель в виде многочлена. Затем вынести этот общий множитель за скобки.
Например,
6ах – 10вх + 3ау – 5ву = 2х (3а -5в) + у(3а – 5в) = (3а – 5в) (2х + у)
4. Разложение на множители квадратного трехчлена
Если квадратный трехчлен имеет корни х1 и х2, то
ах² + вх + с = а (х – х1) (х - х2)
Например,
Требуется разложить на множители квадратный трехчлен 6х² - х – 2.
Найдем его корни.
6х² - х – 2 = 0
D = в² - 4ас = (-1)² - 4*6*(-2) = 49, √D = 7
х1 = = = -
х2 = =
6х² - х – 2 = 6 (х -
) (х + ) = 3(х - ) * 2(х +
) = (3х – 2) (2х + 1)
Иногда многочлен можно разложить на множители, применив последовательно несколько способов.
II. Сокращение дробей
это операция, обусловленная основным свойством дроби.
Чтобы сократить дробь, надо числитель и знаменатель дроби разложить на множители. Затем разделить числитель и знаменатель данной дроби на одинаковый множитель! Если одинаковых множителей нет, то дробь сократить нельзя.
Например,
![]()
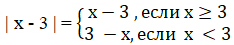
III. Определение модуля
Например,
IV. Построение простейших графиков функций
Линейная функция – график Прямая у = kx + b
Если k > 0, прямая возрастает ↑
Если k < 0, прямая убывает ↓
Если к = 0, прямая параллельна оси Ох —
y = кх - пучок прямых, проходящих через начало координат
b – точка пересечения прямой с осью Оу
График линейной функции строится через 2 точки
Квадратичная функция – график Парабола y= ах² + вх + с
Если а > 0, то ветви параболы направлены вверх, ![]()
Если а < 0, то ветви параболы направлены вниз ![]()
С – точка пересечения графика параболы с осью Оу
Координата х вершины параболы рассчитывается по формуле
Хo =
,
чтобы найти координату Уo надо в уравнение, задающее данную функцию, у = ах² + вх + с подставить Хo.
Ось симметрии параболы проходит через Хo
Сдвиг параболы относительно оси Оу:
- Если а > 0, в > 0, то сдвиг влево
- Если а > 0, в < 0, то сдвиг вправо
- Если а < 0, в > 0, то сдвиг вправо
- Если а < 0, в < 0, то сдвиг влево
Количество точек пересечения с осью Ох, в зависимости от значения дискриминанта квадратичной функции
Д > 0 - 2 точки пересечения

Д = 0 - 1 точка пересечения

Д < 0 - нет точек пересечения

Дополнительные точки для построения параболы берутся симметрично Хo. Строится таблица, считаются значения у в каждой точке.
Функция обратной пропорциональности. График функции – гипербола.
y = , х ≠ 0
Если к > 0, ветви гиперболы расположены в 1 и 3 четверти, симметрично относительно 0.

Если к < 0, ветви гиперболы расположены в 2 и 4 четверти, симметрично относительно 0.

Функция квадратный корень из х
График функции – ветвь параболы, расположенная в 1 четверти.
y = √x

Функция модуль х
y = |х|
График функции – 2 луча, выходящие из начала координат (0;0), симметричный относительно оси Оу.
V. Область определения функции
Множество всех допустимых значений переменной х, при которых выражение имеет смысл.
1. Знаменатель дроби не может быть равен 0.
Например, у =
,
Допустимые значения этой функции при х – 3 ≠ 0, cледовательно, х ≠ 3
Значит, функция имеет смысл при любом значении переменной х, кроме 3.
2. Подкоренное выражение не может быть отрицательным.
У = √A, при А 0
Например, у =
Допустимые значения этой функции при х – 7 0,
Следовательно, решая неравенство, получаем х 7.
Повторив данные темы, можно переходить к разбору задания № 22.
Выполняем последовательно следующие шаги:
- Выполняем преобразование алгебраического выражения.
- При необходимости раскладываем на множители числитель и знаменатель дроби, сокращаем дробь…
- Определяем вид функции.
- Находим область определения функции.
- Определяем какие точки на графике будут выколотые, точки стыка или разрыва…
- Строим систему координат, задаем направление осей, масштаб, единичный отрезок и отмечаем на координатных осях все числа.
- Записываем все этапы построения графика
- Указываем название графика
- Строим таблицу для дополнительных точек
- Строим график.
- Наносим выколотые точки, точки стыка или разрыва.
- Подробно описываем решение второй части задания
- Записываем ответ.
Приведем примеры построения некоторых графиков из открытого банка заданий ОГЭ ФИПИ, разделив их на условные группы:
- Построение графиков функций с модулем (примеры 1 и 2)
- Построение графиков кусочно-заданных функций (пример 3)
- Построение графиков функций, требующих преобразования через разложение на множители и сокращения дробей. (примеры 4 и 5)
Постарались при подборе заданий рассмотреть построение различных видов графиков (парабола, гипербола, прямая…)