Ежегодный анализ ЕГЭ по математике профильного уровня показывает, что задачи с параметрами представляют для учащихся наибольшую сложность. Основная цель статьи повысить математическую подготовку учителей и учащихся в рамках школьного курса математики.
Особенностью задач с параметрами является то, что наряду с неизвестными величинами в них фигурируют параметры. Численные значения параметров не указаны конкретно, но считаются известными и заданными на некотором числовом множестве. Значения параметров влияют на ход решения задачи и итоговый результат. Ответ в задачах с параметрами имеет развернутый вид, т.е. при конкретных значениях параметра ответы могут значительно различаться.
Начать изучение задач с параметрами нужно начинать с курса алгебры 7 класса. Так в учебнике алгебры 7 класса под редакцией Теляковского С.А. задания с параметрами даны в дополнительных упражнениях к первой главе №233, 234, 239.
Рассмотрим решение упражнения №233.
mx = 5
Данное уравнение вида ах = b имеет корень х = . В нашем случае х =
.
- Если m = 0, то уравнение не имеет корней.
- Если m ≠ 0, то уравнение имеет единственный корень х =
.
Ответ: при m ≠ 0, уравнение имеет единственный корень, при m = 0, то уравнение не имеет корней, ни при каком значении m, уравнение не имеет бесконечного множества решений.
Рассмотрим решение упражнения № 239.
ах = 6
Данное уравнение вида ах = b имеет корень х =
. В нашем случае х =
.
х – целое число при целом а, кратным 6.
Ответ: -6; -3; -2; -1; 1; 2; 3; 4.
Следующая встреча с задачами с параметрами будет в 8 классе при изучении темы «Формула корней квадратного уравнения».
Рассмотрим решение упражнения № 553.
х2 – ах + а - 4 = 0.
а (первый коэффициент) = 1
b (второй коэффициент) = -а
с (свободный член) = а - 4
Найдем D.
D = b2 – 4ас
D = (- a)2 – 4 × 1 × (а - 4) = а2 – 4а + 16
Выделим квадрат двучлена
D = а2 – 4а + 16 = (а2 – 4а + 4) – 4 + 16 = (а2 – 4а + 4) + 12 = (а – 2)2 + 12
Т.к. (а – 2)2 ≥ 0 , то (а – 2)2 + 12 > 0 при любых значениях параметра а.
а) чтобы квадратное уравнение не имело корней, D должен быть отрицательным. В нашем случае это невозможно.
б) чтобы квадратное уравнение имело один корень, D должен равняться 0. В нашем случае это тоже невозможно.
в) чтобы квадратное уравнение имело два различных корня, D должен быть больше 0. При любых значениях а, наше уравнение имеет два различных корня.
Ответ: а) ни при каких а
б) ни при каких а
в) при любых значениях а.
Рассмотрим более сложные задания.
Задача 1. ах2 + (а + 1) х + 1 = 0 имеет единственное решение.
Решение: Если дискриминант равен 0, то уравнение имеет единственное решение.
D = (а + 1)2 – 4 × а × 1 = а2 + 2а + 1 – 4а = а2 - 2а + 1 = (а – 1)2
а = 1.
Но на этом решение не заканчивается. Мы рассмотрели только случай где первый коэффициент не равен нулю.
Если старший коэффициент равен нулю, то уравнение становится линейным x + 1=0 и имеет тоже один корень х =-1.
Итак, наше уравнение имеет единственный корень при а = 1 и при а = 0
Ответ: {0;1}
Задача 2
Найдите все значения a, при каждом из которых уравнение (x2 + 3x - a )2= 2x4 + 2(3x – a)2 имеет единственное решение на отрезке [0; 2].
Решение:
(x2 + 3x - a)2= 2x4 + 2(3x – a)2
Раскроем скобки:
х4 + 2 х2 (3х – а) + (3х – а)2 - 2х4 - 2(3х – а)2 = 0
х4 + 2 х2 (3х – а) – 2х4 – (3х –а)2 = 0
- х4 + 2 х2 (3х – а) – (3х –а)2 = 0
Умножим обе части уравнения на -1.
х4 - 2 х2 (3х – а) + (3х –а)2 = 0
(х2 – (3х – а))2 = 0
(х2 - 3х + а))2 = 0
х2- 3х + а = 0
Рассмотрим 2 способа решения.
1 способ
Квадратный трехчлен f(x) = х2 - 3х + а имеет единственный корень на отрезке [0; 2], когда выполняется одно из трех условий:
а) квадратный трехчлен имеет единственный корень и этот корень принадлежит отрезку [0; 2];
б) квадратный трехчлен имеет корень на отрезке [0; 2], равный 0 или 2;
в) квадратный трехчлен при х = 0 и х = 2 принимает ненулевые значения разных знаков.
Рассмотрим все случаи.
а) квадратный трехчлен имеет единственный корень и этот корень принадлежит отрезку [0; 2], если D = 0.
D = (-3)2 - 4×1× а
9 – 4а = 0
а =
, имеем х2 - 3х + = 0
(х -
)2 = 0
х =
, х [0; 2].

б) квадратный трехчлен f(x) = х2 - 3х + а имеет корень на отрезке [0; 2], равный 0 или 2.
Пусть х = 0 – корень квадратного трехчлена, тогда f(0) = 02 - 3×0 + а = 0, а = 0, получаем х2 - 3х = 0
х1 = 0, х2 = 3. х1 [0; 2], х2
[0; 2]. Указанному отрезку принадлежит один корень х1.

Пусть х = 2 – корень квадратного трехчлена, тогда f(2) = 22 - 3×2 + а = 0
4 – 6 + а = 0
а = 2, получаем х2 - 3х + 2 = 0, D = (-3)2 - 4×1×2 = 1; х1 = 1, х2 = 2. х1
[0; 2] и х2
[0; 2]. Указанному отрезку принадлежат два корня, что противоречит условию задачи.

в) квадратный трехчлен f(x) = х2 - 3х + а при х = 0 и х = 2 принимает ненулевые значения разных знаков.
f(0) = a, f(2) = 22 – 3 × 2 + a = a -2
f(0) × f(2) = a × (a – 2)
a × (a – 2) < 0
a (0; 2).

Ответ: 0 ≤ а < 2; а =
.
2 способ
х2 - 3х + а = 0
Решим данное уравнение графически, выполнив преобразование:
а = - х2 + 3х
Рассмотрим графики функций у = а и у = - х2 + 3х.
Графиком функции у = а является прямая, параллельная оси Ох.
Графиком функции у = - х2 + 3х является парабола, ветви которой направлены вниз, координаты вершины параболы хв = -
. хв =
, ув =
.
Построим данные графики. Определим количество точек пересечения графиков.
На промежутке [0;2) графики имеют одну точку пересечения.

При х = 0 a = 02 + 0 = 0. Прямая и парабола имеют одну точку пересечения.
При x=2 a=-22+3*2=2. Прямая у = 2 и парабола пересекаются в двух точках (1;2) и (2;2).
Графики имеют одну точку пересечения на отрезке [0;2], если 0 ≤ a <2.
Графики имеют две точки пересечения на отрезке [0;2], если 2 ≤ a < .
Графики имеют одну точку пересечения в вершине параболы при х =
, a=
.
Следовательно, уравнение ах2 + (а + 1) х + 1 = 0 имеет единственное решение на отрезке [0;2] тогда и только тогда, когда 0 ≤ a <2 и a =
.
Задача 3.
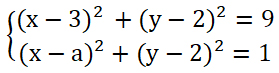
При каких значениях параметра а система



