Графическое решение квадратных уранений
Скачать презентацию (1.83 МБ)
Скачать презентацию (1.83 МБ)
Скачать презентацию (1.83 МБ)
Цели урока:
- Предметные:
- сформировать навыки использования алгоритма решения квадратных уравнений графическим способом;
- закрепить основные методы и навыки техники построения и чтения графиков линейных и квадратичных функций;
- формировать способности самостоятельного решения задач.
- Развивающие:
- развивать умения и навыки исследовательской работы;
- развивать коммуникативные качества личности;
- развитие познавательного интереса к математике и информатике.
- Воспитательные:
- воспитание информационной культуры;
- воспитывать математическую культуру речи обучающихся;
- воспитывать чувство ответственности, аккуратности, трудолюбия.
Оборудование:
- интерактивная доска;
- презентация к уроку;
- раздаточный материал.
ХОД УРОКА
Учитель читает эпиграф:
Я более скажу:
И нет на свете нечего важней,
Чем линия, – любой предмет
Предметом делается с ней. Слайд 1.
– Эти слова послужат эпиграфом нашего урока по теме: «Графическое решение квадратных уравнении» Слайд 2.
– Предлагаю решить следующую задачу. Слайд
3. (Ученик читает задачу).
– Составим математическую модель для данной
ситуации.
– Пусть х см катет ВС; тогда катет
АС? По теореме Пифагора (ученик рассказывает
теорему Пифагора) составим уравнение.
Упростим левую часть уравнения, выполнив
перенос числа 25 в левую часть. Разделим обе части
на 2, получим уравнение: х2 + х – 12 = 0;
– Уравнения такого вида называются квадратными.
– Умеем ли мы решать такие уравнения? (Нет)
– Сегодня мы научимся решать такие уравнения
графически. Слайд 3.
– Значит цель нашего урока. Слайд 4.
– Задачи урока. Слайд 5.
I. Фронтальный опрос
– Для решения поставленных задач вспомним свойства квадратичной и линейной функций. Слайды 6-9.
Вопросы к этим слайдам.
- Какая функция называется квадратичной?
- Укажите те функции, которые являются квадратичными.
- График квадратичной функции это? … (парабола).
- Как называются функции под 1; 6?
- Графиком линейной функции является? … (прямая).
- Сколько точек нужно для построения прямой?
- От чего зависит направление ветвей параболы?
- Определите знак коэффициента а?
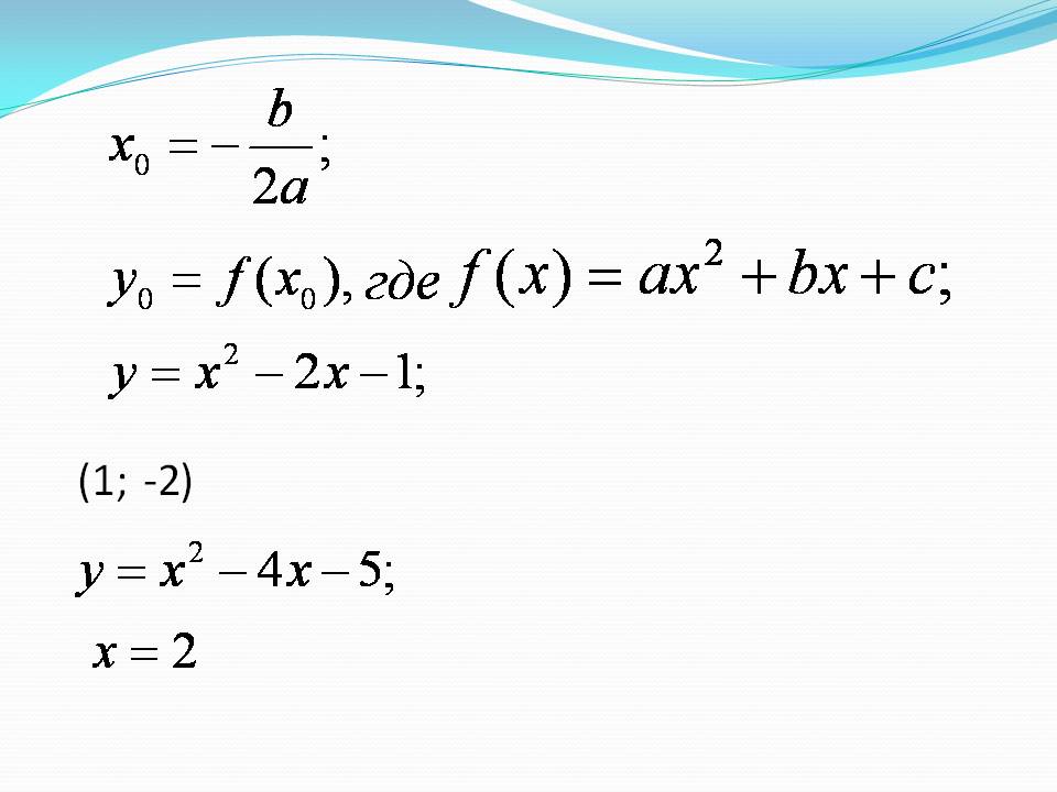
- Абсцисса вершины параболы вычисляется по формуле?
- Как определить ординату вершины?
- Назвать координату вершины параболы.
- Назвать абсциссу вершины параболы.
- Какой график соответствует данному уравнению функции?
– С какой проблемой мы столкнулись в начале
урока? (Не смогли решить квадратное уравнение).
– Давайте попробуем его решить, повторив
свойства квадратичной и линейной функций.
Работа с данным уравнением на интерактивной доске. Уч-ся в опорных конспектах.
Вывод: квадратичная и линейная функции пересекаются в точках А(– 4; 0) и В(3; 0). А что будет являться корнями уравнения, как вы думаете? ( х1 = – 4; х2 = 3) дать ответ на вопрос задачи.
– В чем идея этого метода решения квадратного
уравнения графически?
– Еще как можно преобразовать данное уравнения?
(Выслушать ответы уч-ся)
– Давайте еще раз проанализируем эти способы
и составим алгоритм решения квадратного
уравнения графически. Слайды 10-13.
Обучающиеся составляют алгоритм решения (если есть затруднения, то использовать учебник стр. 129) Слайд 14.
Физкультминутка
II. Закрепление материала
Работа по алгоритму. 23.6 (г); 23.12 (б) (работа в опорных конспектах, на интерактивной доске)
5 этап.
– Как вы думаете любое ли квадратное уравнение
можно решить графически?
– Решите обратную задачу и ответьте на
вопрос, какое уравнение решали графически? (Учебник
стр. 131, рис. 101.) Слайд 15.
– Следовательно, графические способы красивы и приятны, но не дают стопроцентной гарантии точного решения. Эту проблему мы решим с вами при дальнейшем изучении квадратных уравнений.
III. Самостоятельная работа по вариантам (5 мин.)
Слайд 16.
– Вернемся к задачам нашего урока.
– Что мы сделали?
– Сколько способов вы теперь знаете?
– Расскажите этапы решения квадратного
уравнения графически.
– Осталось проверить полученные знания, при
помощи теста (Приложение 1).
Решив его, вы получите ключевое слово. На
выполнение теста 5-7 мин. Слайд 17.
IV. Практическое применение
– Часто у вас возникает вопрос, а зачем мы все
это изучаем? Приведу пример, который
демонстрирует применение полученных знаний на
практике.
Слайд 18.
– Модель экономического роста предприятия
выражается следующей функцией и следующим
графиком.
– По графику параболы видно как распределяется
прибыль предприятия в зависимости от количества
человек работающих на предприятии.
– При каком количестве человек предприятие
получит максимальную прибыль?
– Посоветуем ли мы руководителю фирмы принять на
работу 120 человек? Почему?
Домашнее задание:
С помощью функций составить рисунок на координатной плоскости:
Голова:
у = 1/4х2 – 3, – 4 < х < 4;
у = – 1/4(х – 2)2 + 5, 1 < х < 2;
у = – 1/4(х + 2)2 + 5, – 2 < х < – 1;
у = 1/4х2 + 4, – 2 < х < 2;
Рот:
у = 1/4х2 – 1, – 2 < х < 2;
у = 1/4х2 – 2, – 2 < х < 2;
Нос:
у = – х2 + 2, – 1 < х < 1;
Глаза:
у = – х2 + 4х, 1 < х < 3; точка (2; 3)
у = – х2 – 4х, – 3 < х < – 1; точка (– 2; 3)
Для данного рисунка обучающиеся сами могут попробовать дорисовать шапку и записать функцию, соответствующую графику.
Цели урока:
- Предметные:
- сформировать навыки использования алгоритма решения квадратных уравнений графическим способом;
- закрепить основные методы и навыки техники построения и чтения графиков линейных и квадратичных функций;
- формировать способности самостоятельного решения задач.
- Развивающие:
- развивать умения и навыки исследовательской работы;
- развивать коммуникативные качества личности;
- развитие познавательного интереса к математике и информатике.
- Воспитательные:
- воспитание информационной культуры;
- воспитывать математическую культуру речи обучающихся;
- воспитывать чувство ответственности, аккуратности, трудолюбия.
Оборудование:
- интерактивная доска;
- презентация к уроку;
- раздаточный материал.
ХОД УРОКА
Учитель читает эпиграф:
Я более скажу:
И нет на свете нечего важней,
Чем линия, – любой предмет
Предметом делается с ней. Слайд 1.
– Эти слова послужат эпиграфом нашего урока по теме: «Графическое решение квадратных уравнении» Слайд 2.
– Предлагаю решить следующую задачу. Слайд
3. (Ученик читает задачу).
– Составим математическую модель для данной
ситуации.
– Пусть х см катет ВС; тогда катет
АС? По теореме Пифагора (ученик рассказывает
теорему Пифагора) составим уравнение.
Упростим левую часть уравнения, выполнив
перенос числа 25 в левую часть. Разделим обе части
на 2, получим уравнение: х2 + х – 12 = 0;
– Уравнения такого вида называются квадратными.
– Умеем ли мы решать такие уравнения? (Нет)
– Сегодня мы научимся решать такие уравнения
графически. Слайд 3.
– Значит цель нашего урока. Слайд 4.
– Задачи урока. Слайд 5.
I. Фронтальный опрос
– Для решения поставленных задач вспомним свойства квадратичной и линейной функций. Слайды 6-9.
Вопросы к этим слайдам.
- Какая функция называется квадратичной?
- Укажите те функции, которые являются квадратичными.
- График квадратичной функции это? … (парабола).
- Как называются функции под 1; 6?
- Графиком линейной функции является? … (прямая).
- Сколько точек нужно для построения прямой?
- От чего зависит направление ветвей параболы?
- Определите знак коэффициента а?
- Абсцисса вершины параболы вычисляется по формуле?
- Как определить ординату вершины?
- Назвать координату вершины параболы.
- Назвать абсциссу вершины параболы.
- Какой график соответствует данному уравнению функции?
– С какой проблемой мы столкнулись в начале
урока? (Не смогли решить квадратное уравнение).
– Давайте попробуем его решить, повторив
свойства квадратичной и линейной функций.
Работа с данным уравнением на интерактивной доске. Уч-ся в опорных конспектах.
Вывод: квадратичная и линейная функции пересекаются в точках А(– 4; 0) и В(3; 0). А что будет являться корнями уравнения, как вы думаете? ( х1 = – 4; х2 = 3) дать ответ на вопрос задачи.
– В чем идея этого метода решения квадратного
уравнения графически?
– Еще как можно преобразовать данное уравнения?
(Выслушать ответы уч-ся)
– Давайте еще раз проанализируем эти способы
и составим алгоритм решения квадратного
уравнения графически. Слайды 10-13.
Обучающиеся составляют алгоритм решения (если есть затруднения, то использовать учебник стр. 129) Слайд 14.
Физкультминутка
II. Закрепление материала
Работа по алгоритму. 23.6 (г); 23.12 (б) (работа в опорных конспектах, на интерактивной доске)
5 этап.
– Как вы думаете любое ли квадратное уравнение
можно решить графически?
– Решите обратную задачу и ответьте на
вопрос, какое уравнение решали графически? (Учебник
стр. 131, рис. 101.) Слайд 15.
– Следовательно, графические способы красивы и приятны, но не дают стопроцентной гарантии точного решения. Эту проблему мы решим с вами при дальнейшем изучении квадратных уравнений.
III. Самостоятельная работа по вариантам (5 мин.)
Слайд 16.
– Вернемся к задачам нашего урока.
– Что мы сделали?
– Сколько способов вы теперь знаете?
– Расскажите этапы решения квадратного
уравнения графически.
– Осталось проверить полученные знания, при
помощи теста (Приложение 1).
Решив его, вы получите ключевое слово. На
выполнение теста 5-7 мин. Слайд 17.
IV. Практическое применение
– Часто у вас возникает вопрос, а зачем мы все
это изучаем? Приведу пример, который
демонстрирует применение полученных знаний на
практике.
Слайд 18.
– Модель экономического роста предприятия
выражается следующей функцией и следующим
графиком.
– По графику параболы видно как распределяется
прибыль предприятия в зависимости от количества
человек работающих на предприятии.
– При каком количестве человек предприятие
получит максимальную прибыль?
– Посоветуем ли мы руководителю фирмы принять на
работу 120 человек? Почему?
Домашнее задание:
С помощью функций составить рисунок на координатной плоскости:
Голова:
у = 1/4х2 – 3, – 4 < х < 4;
у = – 1/4(х – 2)2 + 5, 1 < х < 2;
у = – 1/4(х + 2)2 + 5, – 2 < х < – 1;
у = 1/4х2 + 4, – 2 < х < 2;
Рот:
у = 1/4х2 – 1, – 2 < х < 2;
у = 1/4х2 – 2, – 2 < х < 2;
Нос:
у = – х2 + 2, – 1 < х < 1;
Глаза:
у = – х2 + 4х, 1 < х < 3; точка (2; 3)
у = – х2 – 4х, – 3 < х < – 1; точка (– 2; 3)
Для данного рисунка обучающиеся сами могут попробовать дорисовать шапку и записать функцию, соответствующую графику.
Цели урока:
- Предметные:
- сформировать навыки использования алгоритма решения квадратных уравнений графическим способом;
- закрепить основные методы и навыки техники построения и чтения графиков линейных и квадратичных функций;
- формировать способности самостоятельного решения задач.
- Развивающие:
- развивать умения и навыки исследовательской работы;
- развивать коммуникативные качества личности;
- развитие познавательного интереса к математике и информатике.
- Воспитательные:
- воспитание информационной культуры;
- воспитывать математическую культуру речи обучающихся;
- воспитывать чувство ответственности, аккуратности, трудолюбия.
Оборудование:
- интерактивная доска;
- презентация к уроку;
- раздаточный материал.
ХОД УРОКА
Учитель читает эпиграф:
Я более скажу:
И нет на свете нечего важней,
Чем линия, – любой предмет
Предметом делается с ней. Слайд 1.
– Эти слова послужат эпиграфом нашего урока по теме: «Графическое решение квадратных уравнении» Слайд 2.
– Предлагаю решить следующую задачу. Слайд
3. (Ученик читает задачу).
– Составим математическую модель для данной
ситуации.
– Пусть х см катет ВС; тогда катет
АС? По теореме Пифагора (ученик рассказывает
теорему Пифагора) составим уравнение.
Упростим левую часть уравнения, выполнив
перенос числа 25 в левую часть. Разделим обе части
на 2, получим уравнение: х2 + х – 12 = 0;
– Уравнения такого вида называются квадратными.
– Умеем ли мы решать такие уравнения? (Нет)
– Сегодня мы научимся решать такие уравнения
графически. Слайд 3.
– Значит цель нашего урока. Слайд 4.
– Задачи урока. Слайд 5.
I. Фронтальный опрос
– Для решения поставленных задач вспомним свойства квадратичной и линейной функций. Слайды 6-9.
Вопросы к этим слайдам.
- Какая функция называется квадратичной?
- Укажите те функции, которые являются квадратичными.
- График квадратичной функции это? … (парабола).
- Как называются функции под 1; 6?
- Графиком линейной функции является? … (прямая).
- Сколько точек нужно для построения прямой?
- От чего зависит направление ветвей параболы?
- Определите знак коэффициента а?
- Абсцисса вершины параболы вычисляется по формуле?
- Как определить ординату вершины?
- Назвать координату вершины параболы.
- Назвать абсциссу вершины параболы.
- Какой график соответствует данному уравнению функции?
– С какой проблемой мы столкнулись в начале
урока? (Не смогли решить квадратное уравнение).
– Давайте попробуем его решить, повторив
свойства квадратичной и линейной функций.
Работа с данным уравнением на интерактивной доске. Уч-ся в опорных конспектах.
Вывод: квадратичная и линейная функции пересекаются в точках А(– 4; 0) и В(3; 0). А что будет являться корнями уравнения, как вы думаете? ( х1 = – 4; х2 = 3) дать ответ на вопрос задачи.
– В чем идея этого метода решения квадратного
уравнения графически?
– Еще как можно преобразовать данное уравнения?
(Выслушать ответы уч-ся)
– Давайте еще раз проанализируем эти способы
и составим алгоритм решения квадратного
уравнения графически. Слайды 10-13.
Обучающиеся составляют алгоритм решения (если есть затруднения, то использовать учебник стр. 129) Слайд 14.
Физкультминутка
II. Закрепление материала
Работа по алгоритму. 23.6 (г); 23.12 (б) (работа в опорных конспектах, на интерактивной доске)
5 этап.
– Как вы думаете любое ли квадратное уравнение
можно решить графически?
– Решите обратную задачу и ответьте на
вопрос, какое уравнение решали графически? (Учебник
стр. 131, рис. 101.) Слайд 15.
– Следовательно, графические способы красивы и приятны, но не дают стопроцентной гарантии точного решения. Эту проблему мы решим с вами при дальнейшем изучении квадратных уравнений.
III. Самостоятельная работа по вариантам (5 мин.)
Слайд 16.
– Вернемся к задачам нашего урока.
– Что мы сделали?
– Сколько способов вы теперь знаете?
– Расскажите этапы решения квадратного
уравнения графически.
– Осталось проверить полученные знания, при
помощи теста (Приложение 1).
Решив его, вы получите ключевое слово. На
выполнение теста 5-7 мин. Слайд 17.
IV. Практическое применение
– Часто у вас возникает вопрос, а зачем мы все
это изучаем? Приведу пример, который
демонстрирует применение полученных знаний на
практике.
Слайд 18.
– Модель экономического роста предприятия
выражается следующей функцией и следующим
графиком.
– По графику параболы видно как распределяется
прибыль предприятия в зависимости от количества
человек работающих на предприятии.
– При каком количестве человек предприятие
получит максимальную прибыль?
– Посоветуем ли мы руководителю фирмы принять на
работу 120 человек? Почему?
Домашнее задание:
С помощью функций составить рисунок на координатной плоскости:
Голова:
у = 1/4х2 – 3, – 4 < х < 4;
у = – 1/4(х – 2)2 + 5, 1 < х < 2;
у = – 1/4(х + 2)2 + 5, – 2 < х < – 1;
у = 1/4х2 + 4, – 2 < х < 2;
Рот:
у = 1/4х2 – 1, – 2 < х < 2;
у = 1/4х2 – 2, – 2 < х < 2;
Нос:
у = – х2 + 2, – 1 < х < 1;
Глаза:
у = – х2 + 4х, 1 < х < 3; точка (2; 3)
у = – х2 – 4х, – 3 < х < – 1; точка (– 2; 3)
Для данного рисунка обучающиеся сами могут попробовать дорисовать шапку и записать функцию, соответствующую графику.