Урок-конференция "Числовые последовательности"
Место урока в системе уроков. Заключительный урок по теме: «Числовые последовательности».
Тип урока. Урок обобщения и систематизации знаний учащихся по теме.
Форма урока. Урок-конференция.
Метод урока. Частично поисковый.
Цели урока:
- Образовательная: углубление и систематизация знаний учащихся по темам: «Арифметическая прогрессия», «Геометрическая прогрессия».
- Развивающая: развитие умений самостоятельной учебно-познавательной деятельности.
- Воспитательная: пробудить активность школьников, сделать результаты работы учащихся зримыми, тем самым активизировать учебно-воспитательный процесс.
Оборудование: таблица «Прогрессии», выставка книг по теме, доклады, портреты ученых, раздаточный материал.
План
- Вступительное слово учителя.
- Доклад «Из истории развития числовых последовательностей».
- Выступление учащихся по теме «Арифметические прогрессии в древности».
- Нестандартные задачи, решаемые с помощью арифметической прогрессии.
- Доклад «Геометрические прогрессии в древности и в средние века».
- Применение геометрической прогрессии к решению задач.
- Доклад «Развитие учения о прогрессиях».
- Занимательные задачи.
Ход урока
На каждый стол раздать план конференции и тексты задач. (Приложение №1, приложение №2)
Вступительное слово учителя. Понятие числа пришло к нам из глубокой древности. Но впервые о числах начал рассуждать Пифагор, который родился на острове Самосе в VІ веке до нашей эры. Пифагор пришел к выводу, что вообще все можно выразить с помощью чисел. «Числа правят миром» - провозгласил он.
Пифагор пришел к выводу, что все числа объединяются по определенным признакам и свойствам. Наверно, к такому выводу приходили и египтяне, и вавилоняне, и греки, жившие до него. Но никто из них не ставил вопрос: «А почему так?»
При изучении тем «Арифметическая прогрессия» и «Геометрическая прогрессия» мы пытались ответить на этот вопрос.
На конференции вам предстоит узнать много нового по данной теме.
Доклад «Из истории развития числовых последовательностей». (Приложение №3)
Выступление учащихся по теме «Арифметические прогрессии в древности». (Приложение №4)
Нестандартные задачи, решаемые с помощью арифметической прогрессии.
1. Задача с акциями
Купив на 500000 рублей 10 акций акционерного общества, обещавшего выплатить по 50000 рублей на каждую акцию каждый месяц, покупатель задумался, сколько он получит через год?
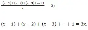
2. Решите уравнение.
![]()
Решение:
Приведем все члены в левой части уравнения к общему знаменателю, получим

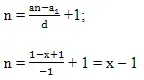
Левая часть этого уравнения представляет собой сумму членов арифметической прогрессии, у которой а1 = х - 1; d = - 1; аn = 1; n (номер членов) выразим из формулы n-го члена:

Найдем х, используя формулу для вычисления суммы членов арифметической прогрессии.

Ответ: 7.
Доклад «Геометрическая прогрессия в древности и в средние века» (Приложение №5)
Применение геометрической прогрессии к решению задач.
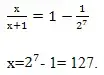
1. Продажа яблок.
Садовник продал первому покупателю половину всех своих яблок и еще пол-яблока, второму покупателю половину оставшихся и еще пол-яблока, третьему половину оставшихся и еще пол-яблока и т.д. Седьмому покупателю он продал половину оставшихся яблок и еще пол яблока, после чего у него не осталось яблок. Сколько яблок было у садовника?
Решение.
Если первоначальное число яблок х, то первый покупатель получил
,

Имеем уравнение

Вычисляя стоящую в скобках сумму членов геометрической прогрессии, найдем:

Всех яблок было 127.
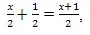
2. Решите уравнение
![]()
Решение.
Слагаемые представляют собой бесконечную геометрическую прогрессию.

3. Прирост населения.
В городе проживает 2 000 000 человек. Сколько жителей будет в этом городе через 5 лет, если ежегодный прирост населения составляет около 10%?
Решение.
Так как ежегодный прирост населения составляет 10%, то отношение количества жителей последующего года к количеству жителей предыдущего равно 1,1. Значит надо найти пятый член геометрической прогрессии, у которой q=1,1.
![]()
2 928 200.
Доклад «Развитие учения о прогрессиях». (Приложение №6)
Занимательные задачи.
Творческие проекты учащихся.
1. Покупка лошади.
В старинной арифметике Магницкого мы находим следующую забавную задачу, которую приводим здесь, не сохраняя языка подлинника:
Некто продал мне лошадь за 156 руб. но покупатель, приобретя лошадь, раздумал ее покупать и возвратил продавцу, говоря:
- Нет, мне расчета покупать за эту цену лошадь, которая таких денег не стоит.
Тогда продавец предложил другие условия:
- Если, по-твоему, цена лошади высока, то купи только ее подковные гвозди, лошадь же получишь тогда в придачу бесплатно. Гвоздей в каждой подкове 6. За первый гвоздь дай мне всего
коп., за второй
коп., за третий - 1 коп. и т.д.
Покупатель, соблазненный низкой ценой и желая даром получить лошадь, принял условия продавца, рассчитывая, что за гвозди придется платить не более 10 рублей.
Насколько покупатель проторговался?
2. Вознаграждение воина
Из другого старинного русского учебника математики, носящего пространное заглавие: «Полный курс чистой математики, сочиненный Артиллерии Штык-Юнкером и Математики партикулярным Учителем Ефимом Войтяховским в пользу и употребление юношества и упражняющихся в Математике» (1795), заимствована следующая задача:
«Служившему воину дано вознаграждение за первую рану 1 копейка, за вторую - 2 копейки, за третью - 4 копейки и т.д. По исчислению нашлось, что воин получил всего вознаграждения 655 руб. 35 коп. Спрашивается число его ран».
3. Легенда, связанная с геометрической прогрессией: легенда за изобретение шахмат.
4. Как делили хлеб.
5. Кормление кур.
6. Быстрое размножение. (Приложение №7)
Домашнее задание.
1. Применение прогрессии в экономике
Есть три банка, в которые можно вложить деньги:
- 1-й банк - простые проценты из расчета 3% в месяц,
- 2-й банк - простые проценты из расчета 40% в год,
- 3-й банк - сложные проценты из расчета 30% в год.
Мы хотим положить 100 у.е. на 3 года. В каком банке это наиболее выгодно?
2. Решите уравнение
![]()
3. Задания из сборника, предназначенного для подготовки к итоговой аттестации в новой форме по алгебре в 9 классе, предлагаются задания, которые оцениваются в 2 балла:
6.2. 1) Число -3,8 является восьмым членом арифметической прогрессии (ап), а число -11 является ее двенадцатым членом. Является ли членом этой прогрессии число -30,8?
6.5. 1) Между числами 6 и 17 вставьте четыре числа так, чтобы вместе с данными числами они образовали арифметическую прогрессию.
6.8. 1) В геометрической прогрессии
. Найдите b1.
Рефлексия.
- При изучении материала ты помогал или тебе помогали?
- Какое задание вызвало наибольшее затруднение? Почему?
- Какое значение для Вас имеют знания, полученные сегодня?
Итог урока.
Литература.
- Глейзер. «История математики в школе».
- Перельман. «Занимательная математика».
- Перельман. «Живая математика».
- Мордкович А.Г. «Алгебра 9».