Решение неравенств методом интервалов. 9-й класс
Скачать презентацию (122.02 КБ)
Цели урока:
- Закрепить изученный материал при решении задач, провести диагностику усвояемости темы. Применить метод интервалов при решении более сложных заданий. Повторить пройденный материал, используя сборник заданий по подготовке к ГИА, по темам “Квадратичная функция”, “Свойства функции”, “Решение неравенств 2-й степени”.
- Воспитание здорового образа жизни.
- Развивать вычислительные навыки, умение читать графики.
Технические средства:
- Ноутбук.
- Мультимедийный проектор.
- Экран.
К уроку прилагается презентация.
- Проверка домашнего задания – докладывают ассистенты.
- Вопросы по теории:
- Какое уравнение называется квадратным?
- Сколько корней может иметь квадратное уравнение? Отчего это зависит?
- Чему равно произведение корней приведенного квадратного уравнения?
- Чему равна сумма корней приведенного квадратного уравнения?
- Что такое нули функции?
- Функцию называют возрастающей в некотором промежутке, если…
- Функцию называют убывающей в некотором промежутке, если…
- Что можно сказать о графике четной функции?
- Что можно сказать о графике нечетной функции?
- Устные задания на экране (подготовка к ГИА).
Письменно (условие на экране)
6) При каком значении m уравнение 4х2+ mх+1=0 не имеет корней?
7) При каком значении k уравнение 2х2+ kх+2=0 имеет только один корень?
8) При каком значении z уравнение zх2 – 8х+1=0 не имеет корней?
Устно (условие на экране)
Физкультминутка
9) На рисунке изображен график функции у=х2-4х.
Используя график, решите неравенство х2> 4х.
(У вас одна минута, затем по
моей команде:
если верный 1 ответ – встает I ряд,
если верный 2 ответ – встает I I ряд,
если верный 3 ответ – встает I I I ряд,
если верный 4 ответ –встают все)

Письменно
10) На рисунке изображен график функции у=2х2-5х+3. Вычислить абсциссу точки А.

(Повторим алгоритм решения методом интервалов. Сначала учащиеся формулируют сами, затем смотрят правило на экране.)
Диагностика: Самостоятельная работа на 2 варианта.
Ассистенты, назначенные учителем, проверяют работы, выставляют отметки и устраняют пробелы в знаниях. (Работа в группах).
Применим метод интервалов при решении знакомого нам неравенства, которое раньше решали с помощью параболы:
12) -2х2+7х+4 >= 0
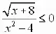
Применим метод интервалов при решении более сложных неравенств:
13) ![]()
14)
Домашнее задание, выставление отметок и итог урока.
(Домашнее задание по учебнику Ю.Н. Макарычева №№326, 327, 335. Развивающее задание: решить неравенство 14 вторым способом.)