Закон Бернулли как следствие закона сохранения энергии
Цели урока:
- Изучить частный случай закона сохранения энергии в применении к объяснению зависимости давления от скорости движения жидкости и газа;
- Сформулировать закон Бернулли;
- Рассмотреть примеры его применения и проявления на практике.
Тип урока:комбинированный.
Оборудование: компьютер, мультимедийный проектор, экран, презентация к уроку.
Оборудование для демонстраций: весы, макет крыла самолета, небольшая воронка, теннисный шарик, воздуходувка (фен), демонстрационный манометр, таблички на магнитах с физическими формулами.
Оборудование для практических работ: стакан с водой, одноразовый шприц, два листа бумаги, бруски.
Ход урока
I. Организационный момент.
Тема, скорее название, нашего урока звучит не совсем обычно. Может быть кто-то из вас подумал: причем здесь физика? А действительно, причем здесь физика? А это и предстоит нам выяснить сегодня. В конце урока вы должны будете сами сформулировать правильно “физическую” тему. Я же скажу только, что эти объекты объединены одним и тем же законом, а именно, законом сохранения полной механической энергии. Работать вы будете на рабочих картах (приложение 1). Напишите свою фамилию на карте в правом верхнем углу.
II. Актуализация знаний.
Итак, начинаем. Раз уж я упомянула закон сохранения механической энергии, то давайте его вспомним.
| 1. Что утверждает закон сохранения полной механической энергии? | |
| 2. Что называется полной механической энергией? | |
| 3. Какая энергия называется кинетической? По какой формуле рассчитывается? | |
| 4. Какая энергия называется потенциальной? Формулы потенциальной энергии. |
|
III. Основная часть. Изучение нового материала.
Сегодня на уроке мы будем говорить о применении закона сохранения для движущихся потоков жидкостей и газов. Движение жидкостей и газов разделяется на ламинарное и турбулентное. На дидактических картах (приложение 2) у вас есть их определения. Давайте прочитаем. Мы будем рассматривать ламинарное течение.
А начнем мы с вопроса: можно ли удержать шарик в вертикальной воронке, выдувая из нее воздух? Хорошо, давайте проверим это на опыте. Критерием любой истины является опыт. Мне нужен помощник, который выполнит этот несложный эксперимент. Оказывается, чтобы удержать шарик в воронке надо выдувать воздух. Кто же может объяснить этот “парадокс”? Тогда запишем первый вопрос в таблицу на рабочей карте. Почему при выдувании воздуха из воронки шарик удерживается в ней?
Продолжаем отвечать на вопросы. Что произойдет с листом бумаги, если подуть над ним? Расположите лист бумаги на уровне рта и с силой продуйте воздух. Что произошло с листом бумаги? А почему? Запишите в таблицу на рабочих картах и этот вопрос: почему поднялся листок?
Проведем еще один опыт. Наберите в шприц воды из стакана и, надавливая на поршень, выпустите ее (добейтесь, чтобы она вытекала непрерывной струёй). Сначала выполняет товарищ по парте, а сосед наблюдает. Потом поменяйтесь ролями. Обратите внимание на толщину вытекающей струи. Струя становится уже. А теперь надо объяснить увиденное. Есть какие-то предположения? Записываем в таблицу второй вопрос: почему струя вытекающей воды становится уже? К этим вопросам мы вернемся попозже.
Что ж, вопросов, наверно, пока достаточно. Пора искать ответы. Поможет в этом известный вам закон сохранения механической энергии и неизвестный пока закон Бернулли.
Рассмотрим ламинарное течение жидкости по трубе разного сечения. Посмотрите на слайд. Там, где сечение не меняется скорость тоже остается постоянной. Но одинакова ли скорость течения жидкости на различных участках? И где больше? А может кто-нибудь объяснить почему? (Так как жидкость несжимаема, то за одинаковый промежуток времени t через каждое из этих сечений должна пройти жидкость одного и того же объема. Но как жидкость, протекающая через первое сечение может “успеть” за то же время протечь через значительно меньшее сечение ? Очевидно, что для этого при прохождении узких частей трубы скорость движения жидкости должна быть больше, чем при прохождении широких).
Покажите на рисунке 1 в рабочих картах векторы скоростей в различных участках. А теперь проверим как это получилось у меня (слайд). Значит, скорость зависит от сечения. Более того, зависимость эта обратно пропорциональна. Математически это выражается следующим соотношением, которое носит название уравнения неразрывности струи: VS= const, здесь – V скорость жидкости, S – площадь сечения трубы, по которой течет жидкость. Сформулировать этот закон можно так: сколько вливается жидкости в трубу, столько должно и выливаться, если условия течения не изменяются. Скорость в узких участках трубы должна быть выше, чем в широких.
Отсюда следует, что

Вывод: чем меньше площадь сечения, тем больше скорость.
Задача №1. Как и во сколько раз изменится кинетическая энергии жидкости, если сечение трубы уменьшить в 2 раза? (Ответ увеличится в 4 раза). А потенциальная энергия? Осторожно, ошибка!
Потенциальная энергия уменьшится, но необязательно в 4 раза!
(Например: 100 = 100, 100 = 10 + 90, 100 = 40 + 60)
С вопросом о скорости вы справились хорошо. А что скажете о давлении воды в разных частях? Если изменяется, то как? На рисунке 2 отметьте уровень воды в вертикальных трубках в зависимости от давления жидкости в горизонтальной трубе. А теперь посмотрим, на этот слайд . В узких местах трубы высота столбика жидкости меньше, чем в широких. О чем говорит разная высота воды? Оказывается, в узких местах трубы давление жидкости меньше, чем в широких. А почему?
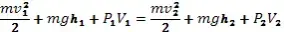
При переходе жидкости из широкого участка в узкий скорость течения увеличивается, то это значит, что где-то на границе между узким и широким участком трубы жидкость получает ускорение. А по второму закону Ньютона для этого на этой границе должна действовать сила. Этой силой может быть только разность между силами давления в широком и узком участках трубы. В широком участке трубы давление должно быть больше, чем в узком. Этот вывод следует из закона сохранения энергии. Если в узких местах трубы увеличивается скорость жидкости, то увеличивается и ее кинетическая энергия. А так как мы условились, что жидкость течет без трения, то этот прирост кинетической энергии должен компенсироваться уменьшением потенциальной энергии, потому что полная энергия должна оставаться постоянной. Но это не потенциальная энергия “mgh”, потому что труба горизонтальная и высота h везде одинакова. Значит, остается только потенциальная энергия, связанная с силой упругости. Сила давления жидкости – это и есть сила упругости сжатой жидкости. В широкой части трубы жидкость несколько сильнее сжата, чем в узкой. Правда, мы только что говорили, что жидкость считается несжимаемой. Но это значит, что жидкость не настолько сжата, чтобы сколько-нибудь заметно изменился ее объем. Очень малое сжатие, вызывающее появление силы упругости, неизбежно. Оно и уменьшается в узких частях трубы.
Чтобы разобраться в причинах уменьшения давления в узких частях и увеличения в широких, используем закон сохранения энергии и математические навыки. Я начну, а вы будете помогать.
![]()
Работа сил давления, совершенная над элементом жидкости при его перемещении, равна:
![]()

здесь
=V1 и
=V 2 –
объемы жидкости, прошедшей за одно и тоже время через сечения 1 и
2. Подставим (2) в (1) и получаем:
![]()
Так как высота центра масс трубы не меняется, то h1 = h 2 . Выберем нулевой уровень, проходящий через центр масс, тогда mgh 1 = mgh2 = 0.
Так как жидкость практически несжимаема, то объемы ее, прошедшие
за одно и тоже время равны, V1 = V 2
(или
), поэтому обе части равенства можно разделить обе
части на V.
Следовательно,
(*)
Таким образом, если скорость, например, увеличивается, то увеличивается первое слагаемое, значит, чтобы равенство выполнялось, на такую же величину второе слагаемое уменьшается, т.е. уменьшается давление.
Вывод: Чем больше скорость потока жидкости, тем меньше ее давление.
Зависимость давления от скорости течения называют эффектом, а уравнение (*) – законом Бернулли в честь автора, швейцарского ученого Даниила Бернулли, который, кстати, работал в С.Петербурге. Закон Бернулли для ламинарных потоков жидкости и газов является следствием закона сохранения энергии.
Убедимся на опыте, что полученный вывод справедлив и для газов. Для этого выполним еще практические задания (описание на дидактической карте).
1 Вариант. Возьмите в руки два листка бумаги и расположите их на расстоянии3– 4см друг от друга и продуйте несильно между ними воздух. Что наблюдаем? Почему? Между листочками давление уменьшилось, а снаружи осталось таким же. Повторите опыт, но подуйте теперь сильнее. Объясните этот результат.
2 Вариант. Положите листок на две книги, как показано на слайде. Продуйте воздух под листком сначала несильно, а потом сильнее. Объясните, что вы наблюдали.
Настало время для ответов на оставленные вами, но не забытые мною вопросы:
- Почему при выдувании воздуха из воронки шарик удерживается в ней?
- Почему поднялся листок?
- Почему струя вытекающей воды становится уже?
Запишите ответы в таблицы.
Вот и настала очередь самолетов. Посмотрим видеофрагмент (Приложение 4).
Так почему же поднимается самолет? В чем причина возникновения подъемной силы?
Все дело в форме крыла и в угле атаки.
Убедимся на опыте (рисунок 1). Почему нарушилось равновесие весов?

Рисунок 1
Кстати сказать, у птиц крыло тоже имеет похожую форму.
Эффект Бернулли — это то, благодаря чему птицы и самолеты могут летать. Разрез крыла у них практически одинаковый: за счет сложной формы крыла создается разница обтекающих его сверху и снизу воздушных потоков, что позволяет телу подниматься вверх.
Формулу для расчета подъемной силы впервые получил наш соотечественник Николай Егорович Жуковский – “отец русской авиации”.
F = (P2 – P1)S = –( v12 – v22)S
Что касается белок – летяг, то они, конечно же не могут развить большую скорость и форма “крыльев” немножко другая, поэтому и подъемная сила у них невелика и возникает она в большой степени из-за угла наклона. Как и обычная белка, летяга большую часть жизни проводит на деревьях, но на землю спускается гораздо реже. Между передними и задними лапами у неё имеется кожная перепонка, которая позволяет планировать с дерева на дерево. Так белка-летяга преодолевает расстояние до 50–60 м по нисходящей параболической кривой. Для прыжка летяга забирается на верхушку дерева. Во время полёта её передние конечности широко расставлены, а задние прижаты к хвосту, образуя характерный треугольный силуэт. Меняя натяжение перепонки, летяга маневрирует, иногда изменяя направление полёта на 90°. Хвост в основном выполняет роль тормоза. Посадку на ствол дерева летяга обычно совершает по касательной, как бы сбоку. Перед посадкой принимает вертикальное положение и цепляется всеми четырьмя лапами, после чего сразу перебегает на другую сторону ствола. Этот маневр помогает ей уворачиваться от пернатых хищников.
Задача№2: В полете давление воздуха под крылом самолета 97,8 кН/м2, а над крылом 96,8 кН/м2. Площадь крыла 20 м2. Определить подъемную силу.
Решение: F = PS, где P = P2 – P 1, тогда F = ( P2 – P 1)S, F =20.103 H
Ответ: 20кН
Задача №3. О “крученых мячах” вы прочитаете самостоятельно текст и ответьте на вопросы.
Эффект Магнуса.
- Почему движущиеся вращающиеся тела отклоняются от прямолинейной траектории?
- Почему давление на мяч с разных сторон различно?
- Почему относительная скорость воздушного потока различна по разные стороны мяча?
Можно привести еще множество примеров: бумеранг, летающие тарелки, водоструйный насос, распылители, карбюраторы, катера на подводных крыльях.
А вот посмотрите, какую опасность представляет уменьшение давления для морских судов. Поток воды между судами имеет меньшее давление, чем снаружи. Все моряки знают, что два судна, идущих рядом на больших скоростях сильно притягиваются друг к другу. Еще опаснее, когда один корабль идет за другим. Силы притяжения, возникшие из-за разности давлений, стремятся корабли развернуть . Задний корабль разворачивается сильнее переднего. Столкновение в таких случаях неизбежно.
Задача №4. Очень часто лоцманы жалуются на коварные мели, которые так и притягивают к себе суда. Почему мели на реках притягивают суда?
IV. Закрепление изученного материала
Контрольный тест.
1. Жидкость течет через трубу с переменным поперечным сечением. В каком сечении трубы скорость “v” течения жидкости и ее давление “P” на стенках максимальна?

- v и P максимальны в сечении 1;
- v и P максимальны в сечении 2;
- v максимальны в сечении 1, P – в сечении 2;
- v максимальны в сечении 2, P – в сечении 1;
- v и P одинаковы во всех сечениях.
2. В какой трубке уровень воды будет выше?

- А;
- В;
- С;
- D;
- Во всех одинаково.
3. Что произойдет, если продувать струю воздуха между двумя шариками от пинг-понга, подвешенными на нитях (смотри рисунок)?

- Останутся неподвижными;
- Будут двигаться вместе вправо или влево;
- Отклонятся друг от друга;
- Приблизятся друг к другу.
Подводя итог нашего урока, вспомним еще раз основные законы и уравнения, с которыми познакомились на уроке:
- Уравнение неразрывности струи – какую зависимость и каких величин оно выражает?
- Закон Бернулли – что он утверждает?
V. Рефлексия . Подведение итогов урока.
А теперь настало время дать нашему уроку “физическое” название. Какие будут ваши предложения?
Закон Бернулли как следствие закона сохранения энергии. (Проявление и применение закона сохранения энергии для движущихся потоков жидкости и газов).
VI. Домашнее задание.
Домашнее задание:
- Задачи № 404, 406, 409, 410 (Рымкевич А.П. Физика. Задачник. 10-11 классы.- М.: Дрофа, 2003)
- Домашняя практическая работа: Сделайте из тонкой бумаги цилиндр диаметром 3 см, длиной 20 см. Положите его на стол на наклонную плоскость. Пронаблюдайте за траекторией, по которой скатывается цилиндр. Объясните наблюдаемое явление.