Показательная функция
Скачать презентацию (134.25 КБ)
Предварительная подготовка к уроку: Учащиеся должны знать следующие темы: «Степень с рациональным показателем», «Показательная функция, ее свойства и график», «Показательные уравнения», «Показательные неравенства».
Цель занятия:
- Образовательная: обобщение знаний о степени, показательной функции, ее свойствах. Отработка умения решать показательные уравнения, неравенства, системы уравнений.
- Воспитательная: формирование интереса к математике, процессу решения задач ипримеров; примеров.
- Развивающая: развитие логического мышления; пространственное представление; определение адекватных способов решения учебной задачи на основе заданных алгоритмов.
Оборудование: интерактивная доска, таблицы, текст теста, карточки для дифференцированной самостоятельной работы.
Тип урока: урок обобщения и систематизации полученных знаний.
ХОД УРОКА
I. Сообщение темы и целей урока
II. Повторение и закрепление пройденного материала
1. Ответы на вопросы по домашнему заданию (разбор нерешенных задач).
2. Устная работа: а) Слайд 1. Работаем по таблице 1. (см. Приложение 1)

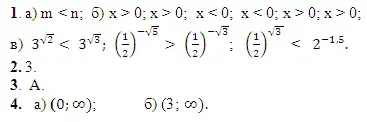
Ответы:

2. По таблице 2 (Приложение 1), повторяем решение показательных уравнений и неравенств.
III. Систематизация и обобщение ранее изученного
Сильные учащиеся получают карточку.

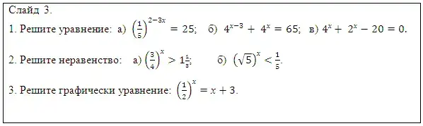
Учащимся предлагается решить уравнения и неравенства. Задание 1 - го уровня. Слайд 3.

Слайд 4. Позволяет проверить решение уравнений и неравенств, провести разбор нерешенных задач, ответить на вопросы.

1V. Углубление и расширение знаний
Учащиеся выполняют разноуровневую самостоятельную работу.
Работа 1- го уровня.

Задания повышенного сложности

V. Итог урока
После окончания работы проводится самопроверка, ключ и ответы представлены на слайде 6.

V1. Домашнее задание.
1. Выполнить работу над ошибками в самостоятельной работе.
2. Учебник. Глава 7. «Проверь себя!», стр. 229.