Обратные тригонометрические функции
Задания, связанные с обратными тригонометрическими функциями, часто предлагаются на школьных выпускных экзаменах и на вступительных экзаменах в некоторых ВУЗах. Подробное изучение этой темы может быть достигнуто только на факультативных занятиях или на элективных курсах. Предлагаемый курс призван как можно полнее развить способности каждого ученика, повысить его математическую подготовку.
Курс рассчитан на 10 часов:
1.Функции arcsin x, arccos x, arctg x, arcctg x (4 ч.).
2.Операции над обратными тригонометрическими функциями (4 ч.).
3.Обратные тригонометрические операции над тригонометрическими функциями (2 ч.).
Урок 1 (2 ч.) Тема: Функции y = arcsin x, y = arccos x, y = arctg x, y = arcctg x.
Цель: полное освещение данного вопроса.
1.Функция y = arcsin х.
а) Для функции y = sin x на отрезке
существует обратная (однозначная) функция, которую условились называть арксинусом и обозначать
так: y = arcsin x. График обратной функции симметричен с графиком основной функции относительно биссектрисы I - III координатных углов.
Свойства функции y = arcsin x .
1)Область определения: отрезок [-1; 1];
2)Область изменения: отрезок
;
3)Функция y = arcsin x нечетная: arcsin (-x) = - arcsin x;
4)Функция y = arcsin x монотонно возрастающая;
5)График пересекает оси Ох, Оу в начале координат.
Пример 1. Найти a = arcsin
. Данный пример подробно можно сформулировать так: найти такой аргумент a , лежащий
в пределах от
до
, синус которого равен
.
Решение. Существует бесчисленное множество аргументов, синус которых равен
, например:
и т.д. Но нас интересует только тот аргумент, который находится на отрезке
. Таким аргументом будет
. Итак,
.
Пример 2. Найти
.Решение. Рассуждая так же, как и в примере 1, получим
.
б) устные упражнения. Найти: arcsin 1, arcsin (-1), arcsin
, arcsin (
),
arcsin
, arcsin (
), arcsin
, arcsin (
), arcsin 0. Образец ответа:
, т.к.
. Имеют ли смысл выражения:
; arcsin 1,5;
?
в) Расположите в порядке возрастания: arcsin
, arcsin (-0,3), arcsin 0,9.
II. Функции y = arccos x, y = arctg x, y = arcctg x (аналогично).
Урок 2 ( 2 ч) Тема: Обратные тригонометрические функции, их графики.
Цель: на данном уроке необходимо отработать навыки в определении значений тригонометрических функций, в построении графиков обратных тригонометрических функций с использованием Д (у), Е (у) и необходимых преобразований.
На данном уроке выполнить упражнения, включающие нахождение области определения, области значения функций типа: y = arcsin
, y = arccos (x-2), y = arctg (tg x), y = arccos
.
Следует построить графики функций: а) y = arcsin 2x; б) y = 2 arcsin 2x; в) y = arcsin
;
г) y = arcsin
; д) y = arcsin
; е) y = arcsin
; ж) y = | arcsin
| .
Пример. Построим график y = arccos ![]()
- Д (у):
<= 1 или х2 >= 1, т.е. 
- Е (у):
, т.к.
. - Функция четная, т.к. у (-х) = у (х).
- Точки пересечения: с ОУ (х = 0) график не может пересекаться, т.к. функция определена только при | х | >= 1; с ОХ (у = 0) график пересекается в (-1; 0) и (1; 0), т.к.
= 1 лишь при х = ± 1. - В силу четности достаточно ее исследовать для х >= 1.
Если х = 1, то у(1) = arccos 1 = 0. Если х -> +
, то
->
0 (
> 0).Значит, arccos
->
, причем arccos
<
наименьшее у = 0 при х = ± 1, наибольшего нет. - Функция в области определения неотрицательна, т.е. arccos
>= 0. - Дополнительные точки
; 
В домашнее задание можно включить следующие упражнения: построить графики функций: y = arccos
, y = 2 arcctg x, y =
arccos | x | .
Графики обратных функций
Урок № 3 (2 ч.) Тема: Операции над обратными тригонометрическими функциями.
Цель: расширить математические познания (это важно для поступающих на специальности с повышенными требованиями к математической подготовке) путем введения основных соотношений для обратных тригонометрических функций.
Материал для урока.
Некоторые простейшие тригонометрические операции над обратными тригонометрическими функциями: sin (arcsin x) = x , i xi ? 1; cos (arсcos x) = x , i xi ? 1; tg (arctg x)= x , x I R; ctg (arcctg x) = x , x I R.
Упражнения.
а) tg (1,5
+ arctg 5) = - ctg (arctg 5 ) =
.
ctg (arctg x ) =
; tg (arcctg x ) =
.
б) cos (
+ arcsin 0,6) = - cos (arcsin 0,6). Пусть arcsin 0,6 = a , sin a = 0,6;
- cos a = ![]()
cos (arcsin x ) =
; sin (arccos x) =
.
Замечание: берем перед корнем знак "+" потому, что a = arcsin x удовлетворяет
.
в) sin (1,5
+ arcsin
).Ответ:
;
г) ctg (
+ arctg 3).Ответ:
;
д) tg (
- arcctg 4).Ответ:
.
е) cos (0,5
+ arccos
) . Ответ:
.
Вычислить:
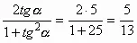
a) sin (2 arctg 5) .
Пусть arctg 5 = a , тогда sin 2 a =
или sin (2 arctg 5) =
;
б) cos (
+ 2 arcsin 0,8).Ответ: 0,28.
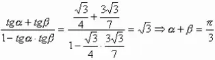
в) arctg
+ arctg
.
Пусть a = arctg
, b = arctg
,
тогда tg (a + b ) =
.
г) sin (arcsin
+ arcsin
).
д) Доказать, что для всех x I [-1; 1] верно arcsin x + arccos x =
.
Доказательство:
arcsin x =
- arccos x
sin (arcsin x ) = sin (
- arccos x)
x = cos (arccos x )
x = x
Для самостоятельного решения: sin (arccos
), cos (arcsin
) , cos (arcsin (
)), sin (arctg (- 3)), tg (arccos
) , ctg (arccos
).
Для домашнего решения: 1) sin (arcsin 0,6 + arctg 0 ); 2) arcsin
+ arcsin
; 3) ctg (
- arccos 0,6 ); 4) cos (2 arcctg 5 ) ; 5) sin (1,5
- arcsin 0,8 ); 6) arctg 0,5 - arctg 3.
Урок № 4 (2ч.) Тема: Операции над обратными тригонометрическими функциями.
Цель: на данном уроке показать использование соотношений в преобразовании более сложных выражений.
Материал для урока.
УСТНО:
а) sin (arccos 0,6), cos (arcsin 0,8);
б) tg (arcсtg 5), ctg (arctg 5);
в) sin (arctg -3), cos (arcсtg(
));
г) tg (arccos
), ctg (arccos(
)).
ПИСЬМЕННО:
1) cos ( arcsin
+ arcsin
+ arcsin
).
2) cos (arctg 5-arccos 0,8) = cos (arctg 5) cos (arccos 0,8) + sin (arctg 5) sin (arccos 0,8) =
= 
3) tg (
- arcsin 0,6 ) = - tg (arcsin 0,6 ) =
4) ![]()


Самостоятельная работа поможет выявить уровень усвоения материала
|
B - I |
B - II |
|
1) tg (arctg 2 - arctg 2) cos( 3) arcsin |
1) cos ( arcsin 2) sin (1,5 3) arcctg3 - arctg 2 |
Для домашнего задания можно предложить:
1) ctg (arctg
+ arctg
+ arctg
); 2) sin2 (arctg 2 - arcctg (
)); 3) sin (2 arctg
+ tg (
arcsin
)); 4) sin (2 arctg
); 5) tg (
(arcsin
))
Урок № 5 (2ч) Тема: Обратные тригонометрические операции над тригонометрическими функциями.
Цель: сформировать представление учащихся об обратных тригонометрических операциях над тригонометрическими функциями, основное внимание уделить повышению осмысленности изучаемой теории.
При изучении данной темы предполагается ограничение объема теоретического материала, подлежащего запоминанию.
Материал для урока:
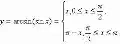
Изучение нового материала можно начать с исследования функции y = arcsin (sin x) и построения ее графика.
1. ОДЗ: R
2. Е(y):
.
3. Каждому x I R ставится в соответствие y I
, т.е.
<= y <=
такое, что sin y = sin x.
4. Функция нечетна: sin(-x) = - sin x ; arcsin(sin(-x)) = - arcsin(sin x).
5. T = 2![]()
6. График y = arcsin (sin x) на [0;
]:
a) 0 <= x <=
имеем y = arcsin(sin x) = x, ибо sin y = sin x и
<= y <=
.
б)
<= x <=
получим y = arcsin (sin x) = arcsin (
- x) =
- x, ибо
sin y = sin (
- x) = sinx , 0 <=
- x <=
.
Итак, 
Построив y = arcsin (sin x) на [0;
], продолжим симметрично относительно начала координат на [-
; 0], учитывая нечетность этой функции. Используя периодичность, продолжим на всю числовую ось.
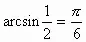
Затем записать некоторые соотношения: arcsin (sin a ) = a , если
<= a <=
; arccos (cos a ) = a , если 0 <= a <=
; arctg (tg a ) = a , если
< a <
; arcctg (ctg a ) = a , если 0 < a <
.
И выполнить следующие упражнения:a) arccos(sin 2).Ответ: 2 -
; б) arcsin (cos 0,6).Ответ: - 0,1
; в) arctg (tg 2).Ответ: 2 -
;
г) arcctg(tg 0,6).Ответ: 0,9
; д) arccos (cos (
- 2)).Ответ:2 -
; е) аrcsin (sin (
- 0,6)). Ответ:
- 0,6; ж) аrctg (tg 2) = arctg (tg (2 -
)). Ответ:2 -
; з) аrcctg
(tg 0,6). Ответ:
- 0,6;
и) аrcsin (cos (2 arctg (
+ 1))). Ответ:
.
Для самостоятельного решения можно предложить аналогичные задания:
arccos (sin 0,5); arctg (ctg
); arcsin (sin 1); arcsin (sin3); arcsin (sin4); arcsin (sin5);
arcsin (sin6); построить график y = arctg (tg x).
Домашнее задание. Предложить любые задания из приложения.
ПРИЛОЖЕНИЕ.
I.(1) Найти область определения: а) y=arcsin
; б)y= arctg 2x; в)y= arctg
; г)y= arccos
; д)y=arctg
; е)y= arcctg
; ж) y=
.
I.(2) Построить графики функций: a) y = arccos 2x; б) y = 2 arccos x; в) y = arccos (cosx); г) y = arctg (ctgx).
I.(3) В каких границах заключены дуги: а) 2 arcsin x; б) 2 arccos х; в)
arctg x; г)
- arctg x; д) arccos
; е) arctg x2 -
.
I.(4) Построить: а) arctg (- 0,3); б) arccos
; в) arcsin
; г) arcctg (-1,5).
II.(1) Вычислить: а) arccos (sin 2);б) sin
; в) arcsin
+ arcsin
; г) sin (
+ 2 arcsin
); д) arctg
+ arctg
; е) arctg
- arctg3; ж) tg (
- arcsin
); з) arctg
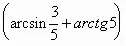
+ arccos
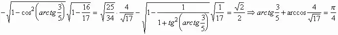
.
II.(2) Вычислить: а) cos (2 arcsin
); б) tg (arccos
); в) sin (arcctg
); г) ctg (arctg(-1)); д) cos (2 arcsin (
)); е) sin (arcsin
+ arccos
); ж) cos (arccos (
) +
arcsin
);
II.(3) Вычислить: а) sin(2 arctg
) + tg (
arcsin
); б)
- cos2 (
-
arcsin
); в) tg (2 arcsin
- arccos
); г) arcctg (tg (arcctg
+ arcctg
)).
III. Вычислить: 1) arcsin (sin 700); 2) arcsin (sin 2100); 3) arcsin (sin
); 4) arccos (cos 1700); 5)
arccos (cos 6
); 6) arctg (tg
).
