Различные способы решения квадратных уравнений. 8-й класс
Скачать презентацию (1.55 МБ)
Основные дидактические цели урока
- организовать деятельность учащихся по применению обратной теоремы Виета; открытию других устных способов решения квадратных уравнений;
- сформировать у учащихся навыки нахождения корней квадратного уравнения с коэффициентами, сумма которых равна 0;
- организовать деятельность учащихся по нахождению неизвестных пока способов решения квадратных уравнений.
Метапредметные и личностные цели урока
- организовать работу для самостоятельного изучения новых способов решения уравнений с использованием различных источников информации;
- выстраивать позитивные отношения между учащимися в процессе учебной и познавательной деятельности;
- создавать ситуации, в которых могут проявиться патриотические чувства обучающихся, гордость за свое Отечество.
Структура урока
актуализация знаний учащихся
- мотивация
- открытие новых способов устного нахождения корней квадратного уравнения
- работа в группах по изучению других новых способов решения квадратных уравнений
- самостоятельная работа с само или взаимопроверкой
- рефлексия (инсерт – прием критического мышления)
- итог урока
Ход урока
|
Деятельность учителя |
Деятельность учеников |
|
Здравствуйте. В 2017 году мы отмечаем много знаменательных дат. И вот одна из
них.
|
Здравствуйте. |
|
Это было в феврале, а вот какого года вы узнаете, решив следующее уравнение: x2 - 1708 x + 1707 = 0 Правильно. Действительно, в 1707 году Пётр I издал этот указ. И с тех пор прошло 310 лет. И в душе каждого россиянина живет любовь к Родине, к родной земле и чувство, что своё Отечество надо защищать. |
Так как сумма корней 1708, а произведение 1707, то корни 1707 и 1 по теореме Виета. Формулируют теорему Виета. |
|
А теперь решите следующее уравнение и узнаете, в каком году был создан Балтийский флот: x2 - 1713 x + 1712 = 0 Правильно, флот создан в 1712 году. В этом году отмечается 305-летие Балтийского флота.
|
Аналогично, сумма 1713, произведение 1712, значит корни 1712 и 1. Значит, в 1 712 году. |
|
А теперь рассмотрим следующее уравнение: |
Устно решить нельзя. |
|
Сформулируйте причины затруднений? |
Произведение и сумма корней – дробные числа и подобрать корни трудно. |
|
А если я скажу, что один из корней, совпадает с корнями предыдущих уравнений. 2x2 - 9 x + 11 = 0 |
Тогда 1 и -5,5. |
|
Цель: способствовать углублению знаний при проведении исследовательской работы |
|
|
Есть какие-то, наверное, другие удобные способы решения некоторых квадратных уравнений. Сегодня мы попробуем их открыть. Что для этого надо делать? |
Обращают внимание на коэффициенты квадратного уравнения, замечают некоторую закономерность. |
|
Предлагаю выдвигать гипотезы о закономерностях, связанных с коэффициентами x2 - 1708 x + 1707 = 0 x2 - 1713 x + 1712 = 0 2x2 - 9 x + 11 = 0 |
Уравнения, и приведенные, и неприведенные, коэффициенты, и положительные, и отрицательные. В первых двух свободный член был одним из корней, но в третьем – нет. Постепенно, приходим к выводу, что сумма коэффициентов равна 0. |
|
Давайте проверим это предположение, попробуйте составить уравнения, обладающие этим свойством. |
12x2 - 9x – 21= 0 –2x2 - 9x –7 = 0
|
|
Является ли 1 корнем? |
Да. |
|
Кто может сформулировать правило? |
Если сумма коэффициентов квадратного уравнения равна 0, то один из корней, равен 1. А второй определяется по формуле х = c/a. |
|
Цель: содействовать развитию личностного интереса обучающихся к изучению темы, способствовать развитию у учащихся умений сравнивать познавательные объекты, добывать новые знания, общаться в группе. |
|
|
Возможно, есть и другие виды квадратных уравнений, которые решаются устно. Рассмотрим слайд. |
Надо проверить, а что будет, если второй коэффициент равен сумме первого коэффициента и третьего. |
|
Составьте и решите уравнения, обладающие данными свойствами. Чтобы была возможность обсудить работу, давайте выполним ее в парах. |
1) x2 - 12 x – 13 = 0, корни -1 и 13 |
|
Какие выводы можно сделать после решения предложенных уравнений? |
Если второй коэффициент равен сумме первого и третьего, то один из корней уравнения равен -1, а второй определяется по формуле х = –c/a. |
|
Попробуем закрепить полученные знания. Если вы решите уравнение, то узнаете, в каком году родился выдающийся военноначальник Василий Иванович Чапаев. x2 - 1886 x + 1887 = 0
Правильно, В.И. Чапаев родился 130 лет назад, 9 февраля 1887 года. |
Корни уравнения -1 и 1887, значит в 1887 году. |
|
А решив следующее уравнение, узнаете, в каком году началась Сталинградская битва, в которой участвовали наши деды и прадеды. x2 - 1941 x + 1942 = 0
Правильно, 17 июля 1942 года, это произошло 75 лет назад. Битва закончилась победой наших войск над фашистами 2 февраля 1943 года. |
Корни уравнения -1 и 1942, значит в 1942 году.
|
|
Цель: обеспечить развитие у обучающихся умение выделять главное в своей учебной деятельности, освоить новые способы решения квадратных уравнений. |
|
| Сейчас мы будем работать в группах. Каждая группа получает свой пакет заданий, в этом задании нужно освоить самостоятельно новый способ решения квадратных уравнений. В Вашем пакете с заданием находятся все необходимые материалы для изучения данной темы. Но, если этого Вам будет недостаточно, Вы можете получить знания по данной теме в Интернете (на каждом столе – ноутбук с выходом в Интернет), (см. Приложение 1). | Учащиеся в группе знакомятся со своим заданием, изучают новый способ решения квадратного уравнения. |
| Через 7-8 минут учитель просит одного представителя от каждой группы по очереди рассказать о новом способе решения квадратных уравнений. | Представитель первой группы рассказывает о способе
«Разложение левой части на множители». Представитель второй группы рассказывает о «Методе выделения полного квадрата». Представитель третьей группы рассказывает о «Методе решения уравнений способом «переброски». Представитель четвертой группы рассказывает о «Графическом методе решения квадратного уравнения». Представитель пятой группы рассказывает об истории возникновения квадратных уравнений (квадратные уравнения в Древнем Вавилоне, в Европе, Франсуа Виет и его квадратные уравнения, теорема Виета, как по коэффициентам p и q можно определить знаки корней квадратного уравнения) (этой группе материалы не предоставляются, всё нужно найти через Интернет). |
|
Какой способ Вам показался наиболее интересным? Какой способ Вы бы выбрали для быстрого и рационального решения квадратного уравнения? |
Заинтересовали все способы решения. Решение квадратного уравнения по формуле, с использованием обратной теоремы Виета, используя свойство квадратного уравнения. Метод «переброски». |
| Цель: развивать вычислительные навыки при решении квадратных уравнений, развивать коммуникативность, способствовать формированию адекватной самооценки учащихся. | |
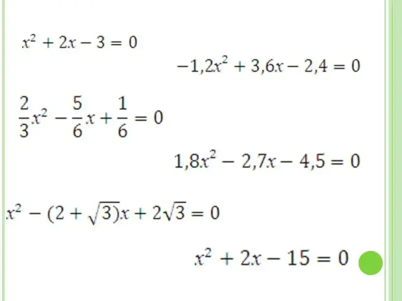
| В качестве закрепления знаний предлагаю вам самостоятельную работу: из предложенных уравнений выбрать те, которые вы можете решить устно, запишите ответ и способ, которым вы пользовались. Один из вариантов представлен ниже. Достаточно выбрать три любых уравнения. | Решают уравнения, объясняют. |
|
|
Ответы приведенного варианта: 1; 2, сумма коэффициентов равна 0. 0,25; 1, сумма коэффициентов равна 0. -1; 2,5, второй коэффициент равен сумме первого и третьего.
-5; 3, теорема Виета. |
|
Учащиеся в парах проверяют правильность решения (взаимопроверка). |
Отмечают количество верных ответов. |
|
Рефлексия: «знал», «узнал новое», «интересно». |
Пишут ответы. |
|
Один из учащихся зачитывает ответы. |
Обсуждают. |
|
Формулировка домашнего задания. Решить различными методами
уравнения: |
Дома решают. Чем больше методов применил ученик, тем выше оценка. За метод решения только по формуле ставится оценка «3». |
|
Учитель подводит итог урока. |
Учащиеся высказывают своё мнение. |




