Технологическая карта практического занятия по теме «Составление и анализ родословных схем»
Скачать презентацию (731.63 КБ)
Продолжительность 90 мин (2 часа)
Цели учебного занятия:
- Образовательная: закрепить, расширить и углубить знания об основных методах изучения наследственности человека; показать возможность использования родословных схем для определения характера наследования признака и прогнозирования появления наследственных болезней у человека;
- Развивающая: продолжить развитие умения применять теоретические знания на практике при решении проблемно-ситуационных задач; способствовать развитию логического мышления; умения анализировать, выделять главное.
- Воспитательная: способствовать воспитанию чувства ответственности, уважительного отношения к сокурсникам.
Требования к умениям, знаниям:
Знать:
- сущность генеалогического метода; методику составления родословных и их анализ;
- особенности родословных при аутосомно-доминантном, аутосомно-рецессивном и сцепленным с полом наследовании.
Уметь:
- составлять и анализировать родословные; решать задачи, с целью прогнозирования вероятности наследования заболевания;
- определять по описанию особенностей формирования признака тип наследования признака.
Образовательные технологии: технология дифференцированного подхода в обучении; личностно-развивающего, проблемно-ситуационного обучения, информационно-коммуникативные технологии.
Методы и приемы обучения: объяснительно-иллюстрационный (объяснения, инструктаж); методы, определяющие логику обучения: (сравнение, обобщение, систематизация); методы, стимулирующие и мотивирующие учебно-познавательную деятельность (решение задач), частично поисковые.
Средства обучения:
Учебно-наглядные, раздаточный материал: методические указания к практическому занятию.
Технические средства обучения: раздаточный материал по теме, карточки с заданиями, табл. "Символы, используемые в генетике человека"
Электронные ресурсы: интерактивная доска, мультимедийная презентация "Составление и анализ родословных схем"
Литература:
- И.К.Гайнутдинов, Э.Д.Рубан "Медицинская генетика", Ростов-на-Дону. "Феникс", 2007г.
- Н.П.Бочкова "Медицинская генетика", М. Изд. группа "ГЭОТАР-Медиа", 2008г.
- Конспект лекций
- Интернет-ресурс: www.msu-genetics.ru
Межпредметные связи: анатомия и физиология человека, химия, математика.
Хронологическая карта занятия
| № | Этапы учебного занятия | Использование оборудования | Время |
| 1 | Организационный момент. | 1 | |
| 2 | Постановка целей, начальная мотивация. |
На интерактивной доске демонстрируются слайды:
1) с номером и темой практического занятия 2) с целями практического занятия |
3 |
| 3 | Определение исходного уровня знаний. | На интерактивной доске демонстрируются слайд с вопросами для проверки уровня знаний | 5 |
| 4 | Вводный инструктаж. | Преподаватель акцентирует внимание студентов на необходимости ознакомиться с приложениями к методическим указаниям | 2 |
| 5 | Совместная и самостоятельная практическая работа студентов, работа малыми группами: | Преподаватель контролирует работу студентов в тетрадях, оказывает индивидуальную помощь, прорабатывая, таким образом, наиболее трудные моменты. |
55 |
| - определение по описанию особенностей формирования признака типа наследования признака | Работа с раздаточным материалом. На интерактивной доске демонстрируются слайд | ||
| - определение типа наследования изучаемого признака (или болезни) по родословной | Работа с раздаточным материалом. Приложение №1 | ||
| - составление графического изображения родословной и решение задачи, с целью прогнозирования вероятности наследования заболевания | Осуществляется работа малыми группами. На интерактивной доске демонстрируются слайд с задачей. Приложение №2 и №3 с планом последовательности деятельности при решении задач по анализу родословных | ||
| 6 | Проверка дневников и др. | Преподаватель проверяет правильность выполнения заданий | 5 |
| 7 | Определение конечного уровня знаний |
Работа с раздаточным материалом с целью изменения данной родословной в соответствии с определенным типом наследования.
К доске вызываются желающие. |
12 |
| 8 |
Подведение итогов.
Выставление оценок с комментариями преподавателя |
Комментарии преподавателем оценок | 5 |
| 9 | Задания для домашней работы студентов. | демонстрируются слайд с домашним заданием | 2 |
| Итого | 90 |
Конспект занятия
1. Организационный момент
2. Объявление темы и целей занятия, начальная мотивация и актуализация.
Вступительное слово преподавателя:
"Откройте тетради по практическим занятиям, напишите число и тему сегодняшнего занятия" (слайд № 1 с номером и темой занятия). Для работы у вас есть методические указания к практическому занятию и приложения к нему.
3. Определение исходного уровня знаний
Дома вы должны были выучить методы, применяемые в генетике человека; сущность каждого метода и области их применения; основные типы наследования признаков и механизмы их передачи. Следующие вопросы помогут выяснить, как вы подготовились. На задание дается 3 минут. Выдаются листочки с заданием № 1.
Задание 1. Дополнить предложения:
- Степень наследственной обусловленности признака изучает (близнецовый)...... метод
- Нарушение обмена веществ изучает......(биохимический) ........... метод
- Тип наследования признака определяют...(генеалогический)... .методом
- Основной метод медико-генетического консультирования ...(построение родословных)
- Член семьи, обратившейся в медико-генетическую консультацию ...(пробанд)
- Дети одной супружеской пары............(сибсы)
- Какой метод нельзя использовать для изучения наследственности и изменчивости у человека ............(гибридологический)
- Какой метод используют для обнаружения генных мутаций......(биохимический)
- Какой метод используют для обнаружения хромосомных мутаций...(цитогенетический)
Ваше время истекло, обменяйтесь работами и проверьте по эталону (слайд № 3 с заданиями и ответами). Проставьте баллы (правильный ответ - 1 балл).
Итак, мы с вами вспомнили методы изучения генетики человека (слайд № 4). Сегодня на занятии мы познакомимся с основным методом медико-генетического консультирования - построение родословной (слайд № 5). Научимся:
- составлять и анализировать родословные;
- прогнозировать вероятность наследования заболевания;
- решать ситуационные задачи.
Клинико-генеалогический метод или метод сбора и анализа родословной является ведущим в практике медико-генетического консультирования. Ни одна консультация, связанная с определением риска и уточнением диагноза, не должна проводиться без тщательного и глубокого анализа родословной.
Генеалогический метод дает необходимую информацию для постановки диагноза, он позволяет определить тип наследования какого-либо признака на основе анализа данных нескольких родственных семейств, или нескольких поколений одной семьи.
Переходим к практической части нашей работы.
4. Самостоятельная практическая работа студентов, работа малыми группами:
В данном разделе демонстрируются технологии сотрудничества, практико-ориентированного развивающего обучения.
Задание № 1 Определить тип наследования признака по описанию особенностей формирования признака. (слайд № 6) Ход работы записать в тетрадь.
Для выполнения этого задания вспомните особенности каждого типа наследования, в помощь вам Приложения. (Слайды 7-11)
Пример 1. В медико-генетическую консультацию обратился больной, страдающий генным заболеванием. Анализ его родословной показал следующее:
- заболевание встречается редко и не во всех поколениях;
- у больных родителей рождаются только больные дети;
- больные дети встречаются и в тех семьях, где оба родители здоровы;
- заболевание с одинаковой частотой встречается и среди мужчин и среди женщин.
Назовите тип наследования этого заболевания.
Ответ:_______ аутосомно-рецессивный тип ___________________________________
Пример 2. В медико-генетическую консультацию обратился больной, страдающий генным заболеванием. Анализ его родословной показал следующее:
- заболевание встречается часто и во всех поколениях;
- у больных родителей рождаются преимущественно больные дети;
- больной ребенок встречается в семье, где хотя бы один из родителей болен.
- заболевание с одинаковой частотой встречается и среди мужчин и среди женщин.
Назовите тип наследования этого заболевания.
Ответ:_____ аутосомно-доминантный тип ___________________________________
Пример 3. В медико-генетическую консультацию обратился больной, страдающий генным заболеванием. Анализ его родословной показал следующее:
- заболевание встречается часто и во всех поколениях;
- женщины болеют чаще, чем мужчины;
- у больного отца болеют только дочери, а все сыновья и их дети здоровы;
- у больной матери половина детей здоровы, а половина - больны.
Назовите тип наследования этого заболевания.
Ответ: _______Х-сцепленный доминантный тип _______________________________
Пример 4. В медико-генетическую консультацию обратился больной, страдающий генным заболеванием. Анализ его родословной показал следующее:
- заболевание встречается редко и не во всех поколениях;
- заболевание встречается преимущественно у мужчин, причем их отцы обычно здоровы, а деды по материнской линии больны;
- Женщины болеют редко и только тогда, когда их отцы больны, мать является носительницей. Назовите тип наследования этого заболевания.
Ответ:______ Х - сцепленный рецессивный тип ________________________________
Пример 5. Анализ родословной показал следующее:
- заболевание встречается во всех поколениях и только у мужчин, которое передают признак только своим сыновьям, а те - внукам. Назовите тип наследования этого заболевания.
Ответ:______ Y- сцепленный тип ____________________________________________
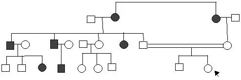
Задание № 2. Определить тип наследования изучаемого признака (или болезни) по родословной. Проанализируйте представленные родословные(слайд № 12) и ответьте на вопросы. Ответы запишите в тетрадь. Для выполнения этого задания рассмотрите символы, которые используются для составления родословных слайд № 13-14 и Приложение №2 и Приложение №3..
Анализ родословных.
Вариант 1.

Рис.1. Наследование признака "седая прядь волос"
Инструктаж: ответить на вопросы:
1. Сколько поколений изображено на схеме? (3 поколения)
2. Лица, какого пола болеют чаще в данной семье? (с одинаковой частотой и мужчины и женщины)
3. С какими хромосомами (половыми или аутосомами) Вы связываете это заболевание? (с аутосомами)
4. Как часто в родословной встречаются больные? (в каждом поколении)
5. Определить тип наследования признака данной родословной, используя алгоритм анализа родословной. (аутосомно-доминантный тип )
6.Определите генотипы исходных родителей. (Аа и Аа)
7. Какие потомки ожидаются от брака двоюродных сестер и братьев а)1 и 5 (аа - здоровые); б)2 и 6 (50% Аа и 50% аа)
Вариант 2.

Рис.2. Наследования тяжелого заболевания - гемофилия
Инструктаж: ответить на вопросы:
1. Сколько поколений изображено на схеме? (4 поколения)
2. Лица, какого пола болеют чаще в данной семье? (мужчины)
3. С какими хромосомами (половыми или аутосомами) Вы связываете это заболевание? ( с половыми)
4. Как часто в родословной встречаются больные? (заболевание встречается редко, не во всех поколениях)
5. Определить тип наследования признака данной родословной, используя алгоритм анализа родословной. (Х-сцепленный рецессивный)
6.Определите возможные генотипы: а) исходных родителей; б) потомков первого поколения 1 (ХАУ), 2 (ХАХа), 3 (ХаУ); в) потомков второго поколения 4 (ХаУ), 5 (ХАУ); г) потомков третьего поколения 6 (ХаУ), 7 (ХАУ), 8(ХАХа) или 2 (ХАХА).
Задание № 3. Составить родословную семьи и определить вероятность наследования заболевания.
Работа выполняется совместно по 2 человека. (Слайд № 15. Приложения №1, №2, №3). Ответы проверяются и обсуждаются (слайд № 16).
Задание: Две шестипалые сестры Маргарет и Мэри вышли замуж за нормальных мужчин. В семье Маргарет было пятеро детей: Джеймс, Сусанна и Давид были шестипалыми, Элла и Ричард - пятипалыми. В семье Мэри была единственная пятипалая дочь Джейн. От брака Джеймса с нормальной женщиной родилась шестипалая дочь Бетси и два сына - нормальные пятипалые. Элла вышла замуж за нормального мужчину. У них - две дочери и сын - пятипалые. Давид женился на нормальной женщине. Их единственный сын Чарльз - шестипалый. Ричард женился на своей двоюродной сестре Джейн. Их дочь и сын были пятипалыми. Составьте родословную семьи и определите вероятность рождения шестипалых детей в случаях:
А) брака дочери Джейн с нормальным мужчиной
Б) Определить тип наследования признака данной родословной.
Решение:

Ответ: Полидактилия (шестипалость) у человека определяется доминантными аллелями аутосомных генов; вероятность рождения шестипалых детей в случае: брака дочери Джейн с нормальным мужчиной - 0%.
5. Проверка дневников. Преподаватель проверяет правильность выполнения заданий
6. Определение конечного уровня знаний. На доске заранее нарисованы схемы родословной. Каждая пара студентов получает карточку с родословной. Выполняют прямо на карточках.

Задание: Закрасив некоторые символы, видоизменить родословную так, чтобы она соответствовала одному из типов наследования и имела характерные для него черты.
- 1 вариант - Аутосомно-доминантный;
- 2 вариант - Аутосомно-рецессивный;
- 3 вариант - Х- сцепленный доминантный;
- 4 вариант - Х- сцепленный рецессивный;
- 5 вариант - У- сцепленный тип наследования.
- Обратите внимание на III поколение. Что означает двойное соединение? (родственный брак).
Выполнив задание, студенты выходят к доске и производят соответствующие изменения на доске.
- Посмотрите внимательно на родословную и ответьте на вопрос:
- почему в родственных браках чаще, чем в неродственных, рождаются дети с аутосомно-рецессивными заболеваниями.
7. Подведение итогов. Выставление оценок с комментариями преподавателя
Демонстрируется слайд с домашним заданием (слайд № 17). Дополнительно - составить родословную своей семьи.