Умножение и деление алгебраических дробей. 8-й класс
Скачать презентацию (3.36 МБ)
Тип урока: урок систематизации и обобщения изученного материала
Цели урока:
1. Формирование предметных умений:
– работать с математическим текстом;
– совершенствовать навыки действий с алгебраическими дробями;
– рассмотреть более сложные упражнения;
– проверить знания и умения учащихся по данной теме.
2. Формирование умения самостоятельно строить и применять новые знания.
3. Формирование и развитие универсальных учебных действий.
4. Развитие логического мышления, грамотной математической речи.
Формы работы: фронтальная беседа, устная работа, индивидуальная работа, разно уровневая самостоятельная работа.
Оборудование: компьютер, экран, презентация, карточки для самостоятельной и индивидуальной работы.
Урок сопровождается компьютерной презентацией.
План урока
| № этапа | Название этапа | Приемы педагогической техники | Время (мин) |
| 1 | Организационный момент | Вступительная беседа. Постановка целей и задач | 2 |
| 2 | Мотивация | Вступительное слово учителя | 1 |
| 3 | Актуализация знаний учащихся: устная работа; работа по карточкам | Решение упражнения, закрепляющих разложения многочлена на множители, сокращения дробей | 5-6 |
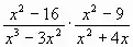
| 4 | Решение упражнений | Рассмотреть более сложные задания на сокращение дробей и выполнение действий с алгебраическими дробями. | 10-12 |
| 5 | Минута отдыха | Релаксация | 2 |
| 6 | Решение логических задач | Всесторонняя проверка знаний | 5 |
| 7 | Контроль знаний и умений | Разно уровневая самостоятельная работа | 15 |
| 8 | Постановка домашнего задания | Домашнее задание с обсуждением (обязательное творческое задание) | 2 |
| 9 | Итог урока. Оценка и самооценка деятельности. Рефлексия | Опрос-итог. Оценки за урок | 2 |
Ход урока
| Этап урока | Деятельность учителя | Деятельность учащихся |
| 1. Организационный момент. Постановка целей урока и мотивация учебной деятельности учащихся | Приветствие, проверка готовности к уроку.
Вступительное слово учителя: Сегодня мы проводим завершающий урок по теме: “Умножение и деление алгебраических дробей”. Цель урока – совершенствовать навыки действия с алгебраическими дробями; рассмотреть более сложные задачи. СЛАЙД 1 СЛАЙД 2 Урок я хочу урок начать с высказывания Л.Н. Толстого. “Человек подобен дроби: числитель ее – то, что он есть, а знаменатель – то, что он о себе думает. Чем больше знаменатель, тем меньше дробь”. Я думаю, что мы сегодня на уроке плодотворно поработаем с дробями, закрепим ранее полученные знания и с хорошим настроением закончим изучение этой сложной, но интересной темы. |
Приветствие учителя. Запись даты и темы урока в рабочей тетради. |
| 2. Воспроизведение и коррекция опорных знаний. Устная работа. Работа по карточкам (4 человека) | Фронтальный опрос учащихся. СЛАЙД 3
1. Алгебраическая дробь – ... 2. Допустимые значения переменных... 3. Основное свойство дроби... 4. Сложение и вычитание дробей с разными знаменателями... 5. Умножение и деление дробей... 6. Возведение дроби в степень... Прежде чем перейти к решению более сложных задач, предлагаю повторить ранее изученный материал при выполнении устных упражнений. СЛАЙД 4 В одной и той же стране имена людей могут быть самыми разными. Однако в некоторых странах есть такие имена, которые являются типичными. В России, например, таким именем является Иван. Выполните действия, используя найденные ответы, узнайте, какие имена являются типичными в других странах. Разложите на множители: Германия Хуан Франция Джованни Англия Джон Италия Жан Испания Ганс СЛАЙД 5 СЛАЙД 6 В 988 году, во времена правления киевского князя Владимира, Русь приняла христианство. Вместе с религией на Русь пришли и древнегреческие имена. Сократите дробь и ответы соотнесите с дословным переводом имен. Андрей Илья Никита Артём Ответ: Андрей – мужественный, Илья – солнечный, Никита – победитель, Артём – здоровый, невредимый. СЛАЙД 7 Карточки для индивидуальной работы Карточка 1
Карточка 2
|
Повторение определений и проговаривание алгоритма выполнения различных действий с дробями. |
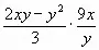
| 3. Актуализация знаний учащихся. Решение более сложных заданий | 1. Возведите дробь в степень
2. Решите уравнение
3. Построить график функции:
|
Выполнение упражнения с записью его решения на доске. |
| 4. Минута отдыха | “Мечтать легко и приятно, но думать трудно. Умственный труд едва ли не самый тяжёлый труд для человека” К.Д. Ушинский СЛАЙД 8 | |
| 5. Решение логических задач | Как от куска материи длиной |
Решение логической задачи. |
| 6. Контроль знаний и умений | Для проверки Ваших знаний и умений проведем самостоятельную работу. | Выбор заданий на карточках и их решений. |
| 7. Запись домашнего задания | Дидактика стр. 62 С-9 № 2, С-10 № 2 (1-й столбик).
СЛАЙД 10 |
Запись домашнего задания в дневник. |
| 8. Итог урока. Оценка и самооценка деятельности.
Рефлексия |
Оцени себя и сделай вывод о пользе проведенного на
уроке времени.
Оцени урок. На полях в конце поставьте оценку. – Я доволен уроком, мне понравилось, я все понял. – Мне понравился урок, но в моих знаниях есть пробелы. – Я недоволен уроком, ничего не понял и не знаю, как решать задания. Спасибо вам за урок. |
Обсуждение урока. Высказывание своих впечатлений и сравнение с оценками одноклассников. |

