Теорема об отношении площадей треугольников, имеющих по равному углу. 8-й класс
Скачать презентацию (987.53 КБ)
Девиз урока: «Дорогу осилит идущий, а математику – мыслящий»
Тип урока: урок изучения нового материала.
Цели урока:
обучающие:
а) повторение основного теоритического материала;
б) рассмотрение основных задач на вычисление площадей треугольников;
в) доказательство теоремы об отношении площадей треугольников, имеющих по равному углу;
г) закрепление навыков решения в процессе самостоятельного разбора задач.
развивающие:
а) развитие умения планировать полный или частичный ход решения;
б) развитие умения осуществлять целенаправленные поисковые действия умственного плана;
в) развитие интереса к предмету;
г) развитие умения осуществлять самоконтроль.
воспитательные
а) воспитание культуры общения;
б) воспитание умения слушать и слышать товарища.
Ход урока
I. Мотивация к учебной деятельности и постановка целей урока.
Учитель приветствует учащихся, поверяет их готовность к уроку, сообщает тему урока, формулирует цели урока. Слайды 1, 2
II. Повторение и актуализация необходимых знаний.
Один ученик готовит теоретический вопрос: сформулировать и доказать теорему о площади треугольника. Один ученик решает задачу у доски.
Карточка 1 (Приложение 1)
Задача: Точка E – середина стороны AB треугольника ABC, точки M и H делят сторону BC на три равные части BM = MH = HC. Найдите площадь ∆EMH, если SABC = 72 см2.

Рис. 1. Чертеж к условиям задачи
Дано: SABC = 72 см2, BM = MH = HC
Найти: S∆EMH = ?
Ответ: 12см2.
4 ученика получают задание на карточке (Карточки 2, 3). Остальные учащиеся решают устно по готовым чертежам.
Устно. Слайд 3. 1. Найдите площадь треугольника ABC.

Рис. 2. Чертеж к задаче 1
Ответ: 18 см2.
Слайд 4. 2. Дано: ABCD – квадрат, AB = 5 см, KD = 4 см.
Найти: S∆ABCK = ?

Рис. 3. Чертеж к задаче 2
Ответ: 15 см2.
Слайд 5. 3. Найдите площадь треугольника ABC.

Рис. 4. Чертеж к задаче 3
Ответ: 60 см2.
Слайд 6. 4. BC = 6см, AC = 8см, AB = 10см.
Найти: CD = ?

Рис. 5. Чертеж к задаче 4
Ответ: 4,8 см.
5. SABC = 72 см2, BM = MH = HC
Найти: S∆EMH = ?

Рис. 6. Чертеж к условию задачи 5
Ответ: 12см2.

Рис. 7. Теорема о площади треугольника
Слайд 7. Теорема. Площадь треугольника равна половине произведения основания на высоту, проведённую к этой стороне.
S = 1/2 • AC • BD
Учитель и учащиеся слушают теорему и её доказательство, проверяют решение задачи.
Учитель собирает у 4 учащихся листы с решением задач.
III. Создание проблемной ситуации и формулирование проблемы

Рис. 8. Свойство площадей треугольников, имеющих общую высоту
Слайд 8. Если высоты треугольников равны, то площади относятся как основания.
SACB : SBFK = AC : FK

Рис. 9. Свойство медиан треугольника
Слайд 9. Медиана делит треугольник на два равновеликих треугольника. Три медианы делят треугольник на 6 равновеликих треугольников.
Слайд 10. 1. Решите задачу:

Рис. 10. Чертеж к условию задачи 1
Дано: CM – медиана ∆ABC, CK – медиана ∆ACM. SABC = 40 см2.
Найти: 
Какую часть площадь одного треугольника составляет от площади другого?
Или. Во сколько раз площадь одного треугольника больше (меньше) площади другого?
Слайд 11. 2. Решите задачу:

Рис. 11. Чертеж к условию задачи 2
Дано: ABCD – выпуклый четырёхугольник.
Доказать: SMBKD = SABCD : 2
Вопрос: Как относятся площади треугольников, имеющих по равному углу?
IV. Изучение новой темы
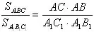
Слайд 12. Теорема. Если угол одного треугольника равен углу другого треугольника, то площади этих треугольников относятся как произведение сторон, заключающих равные углы.

Рис. 12. Теорема о соотношении площадей треугольников, имеющих равный угол
Дано: ∆ABC, ∆A1B1C1, ∠A = ∠A1
Доказать:

V. Первичное закрепление
Учитель на экране показывает задачи, учащиеся предлагают свои решения задач
Слайд 14. Запишите отношение площадей

Рис. 14. Чертеж к пункту а) Рис. 15. Чертеж к пункту б)

Слайд 15

Рис. 16. Чертеж к условию задачи
Дано: ∠A = ∠K
Найти: SABC : SKMN = ?
Ответ: 30/15 или 2.
Слайд 16

Рис. 17. Чертеж к условию задачи
Дано: SAOB = 20 см2.
Найти: SCOD = ?
Ответ: 4(1/6) см2.
VI. Самостоятельная работа
Учитель раздаёт карточки с заданиями двух уровней сложности. (Приложение 2)
Карточка. Уровень А
1) Две стороны треугольника равны 12 см и 9 см, угол между ними 30°. Найдите площадь треугольника. (Ответ: 27 см2)
2) AO = 4, BO = 9, CO = 5, DO = 8, SAOC = 15, SDOB = ?

Рис. 18. Чертеж к условию задачи
(Ответ: 54 см2)
Уровень Б (для более подготовленных учащихся)
1) В треугольнике ABC ∠A = 45°, BC = 10 см, высота BD делит сторону AC на отрезки: AD = 6 см, DC = 8 см. Найдите площадь треугольника ABC и высоту, проведённую к стороне BC.

Рис. 19. Чертеж к условию задачи
Ответ: 42 см2; 8,4 см.
2)

Рис. 20. Чертеж к условию задачи
OB = OA, OC = 2 • OD, SAOC = 12 см2, SBOD = ?
Ответ: 6 см2.
VII. Подведение итогов
Учитель оценивает работу учащихся.
VIII. Домашнее задание (Приложение 3)
Учебник. Учить теорему п. 52. № 479 (а).
Дополнительно:
1)

Рис. 21. Чертеж к условию задачи
Дано: AO = AB, прямая AC параллельна прямой BD.
Доказать: SAOD = SCOB
2)

Рис. 22. Чертеж к условию задачи
Дано: AO = 3 см, BO = 6 см, CO = 5 см, DO = 4 см.
SAOC + SBOD = 39 см2.
Найти: SAOC = ?
Ответ 15 см2.
Литература:
- Гаврилова Н.Ф. Поурочные разработки по геометрии: 8 класс. – 2-е изд., перераб. и доп. – М.: ВАКО, 2006. – 368 с.
- Геометрия 7 – 9 классы: учеб. для общеобразоват. учреждений / Л.С. Атанасян, В.Ф. Бутузов, С.Б. Кадомцев. – 20-е изд. – М.: Просвещение, 2010. – 384 с.