"Средняя линия трапеции". 8-й класс
Скачать презентацию (654.54 КБ)
Цели и задачи:
- Образовательные - актуализировать субъективный опыт учащихся (опорные знания и способы действий, комплекс знаний), необходимый для изучения нового материала; организовать деятельность учащихся по восприятию, осмыслению и первичному закреплению знаний и способов действий.
- Развивающие - развивать пространственного воображения учащихся, применять знания на практике, способствовать развитию логического мышления, воли и самостоятельности, умения работать в парах.
- Воспитательные - создавать условия для воспитания интереса к изучаемой теме, воспитание мотивов учения, положительного отношения к знаниям, воспитания дисциплинированности, обеспечивать условия успешной работы в коллективе.
Тип урока: урок-открытие.
Методы обучения: беседа, фронтальный опрос, самостоятельная работа.
Средства обучения: доска, учебник, карточки, мультимедийный проектор.
Форма обучения: коллективная, индивидуальная.
Форма учебного занятия: классно-урочная.
Структура урока:
- Организация класса и рабочий настрой _____ 2 мин
- Повторение и актуализация знаний _____ 10 мин
- Открытие новых знаний __________ 20 мин
- Решение задач __________10 мин
- Подведение итогов и домашнее задание ____ 3 мин
Итого ______________ 45 мин
ХОД УРОКА
Учитель: Здравствуйте, ребята, садитесь. [слайд 1] Сегодня мы продолжим разговор о средних линиях. И тема сегодняшнего урока «Средняя линия трапеции». Но прежде напомним о четырехугольниках и их свойствами, а также треугольнике, ее средней линии и свойствах средней линии треугольника.
Опрос:
- Что называется многоугольником?
- Что такое параллелограмм?
- Свойства параллелограмма?
- Что такое прямоугольник?
- Свойства прямоугольника?
- Что такое ромб?
- Свойства ромба?
- Что такое квадрат?
- Свойства квадрата?
- Что такое трапеция?
- Какая трапеция называется равнобокой?
- Свойства равнобокой трапеции?
- Чему равен периметр многоугольника?
- Сформулируйте теорему Фалеса.
- Что такое средняя линия треугольника?
- Какие свойства средней линии треугольника вы знаете?
- Решим задачи на готовых чертежах устно: (рис. 1) и (рис. 2)
| 1 |
Дано: EF || AC (рис. 1) [слайд 2]
Найти: PBEF и PABC |
Решение:
EF - средняя линия треугольника, значит EF = 5 см,
Ответ: 14 см и 28 см |
| 2 |
Дано: MN || AC (рис. 2) [слайд 3]
Найти: PMBN и PABC |
Решение:
АВ = 2МВ = 8 см
Ответ: 21 см и 10,5 см |
Учитель: Итак, мы с вами сказали, что средней линией треугольника называется отрезок соединяющий середины двух сторон треугольника. Дадим определение средней линии трапеции.
Определение. Средней линией трапеции называют отрезок, соединяющий середины боковых сторон трапеции (рис. 3). [слайд 4]

Рис.3
На рисунке 3 средней линией трапеции является отрезок EF.
Учитель: Решим задачу: найти среднюю линию трапеции, зная ее основания. [слайд 5]
Решение: Пусть ABCD - трапеция, M - середина стороны АВ. BC = a, AD = b. Для решения задачи воспользуемся средней линией треугольника. Но у нас фигура трапеция, где же найти треугольник?
Учащиеся: Сделаем рисунок (рис.4) [слайд 6], дополнительное построение - проведем диагональ АС, она разобьет трапецию на два треугольника АВС и ACD. Проведем
через точку М параллельно основаниям прямую, она пересечет отрезок АС в точке К, а отрезок CD - в точке N. Учитывая следствие о средней линии треугольника (прямая, проходящая, через середину стороны
треугольника параллельно другой ее стороне, делит третью сторону пополам) получим: К - середина АС и N середина CD. Тогда по определению МК - средняя линия треугольника АВС и KN - средняя линия
треугольника ACD.
Учитывая теорему о средней линии треугольника получим: 
Найдем длину средней линии: ![]()

Рис. 4
Ответ:
.
Решенная задача является теоремой 1: средняя линия трапеции параллельна основаниям и равна их полусумме. [слайд 7]
Задача 1. Доказать, что средняя линия трапеции делит пополам любой отрезок с концами на основаниях трапеции. [слайд 8]

Рис. 5
Решение. Пусть ABCD - трапеция, EF - её средняя линия, LM - указанный отрезок (рис.5). Поскольку AE = EB, то, в силу теоремы Фалеса, выполнено равенство: LN = NM, что и требовалось доказать.
Задача 2. Доказать, что отрезок, который диагонали трапеции высекают на средней линии трапеции, равен половине разности оснований трапеции. [слайд 9]

Рис. 6
Решение. Пусть ABCD - трапеция, EF - её средняя линия, KL - указанный отрезок (рис.6). В соответствии с задачей 1 можем заключить, что точка
K - середина отрезка AC, а точка L - середина отрезка BD. Поэтому отрезок EK - средняя линия треугольника BAC, а отрезок EL - средняя
линия треугольника ABD. Зная, что средняя линия треугольника параллельна третьей стороне и равна ее половине, получаем:
,
следовательно,
, что и требовалось доказать.
Учитель: Проведем исследование: постройте произвольный четырехугольник.
- Найдите середины сторон этого четырехугольника и соедините их последовательно. Какую фигуру вы получили? (Параллелограмм). Докажите, что это параллелограмм. Что вы при этом использовали? (признак параллелограмма)
- Что вы можете сказать о длине сторон полученного параллелограмма? (Они равны половине соответствующей диагонали четырехугольника)
Теорема 2. Середины сторон четырехугольника являются вершинами параллелограмма. (теорема Вариньона) Стороны этого параллелограмма параллельны диагоналям четырехугольника, а их длины равны половинам длин диагоналей. [слайд 10]

Рис. 7
Доказательство: [слайд 11] В самом деле, если К и L - середины сторон АВ и ВС (рис. 7), то KL - средняя линия треугольника ABC, поэтому отрезок KLпараллелен диагонали АС и равен ее половине; если М и N - середины сторон CDи AD, то отрезок MNтакже параллелен АС и равен АС/2. Таким образом, отрезки KLи MN параллельны и равны между собой, значит, четырехугольник KLMN - параллелограмм.
В качестве следствия из теоремы 2 получаем интересный факт (т. 2).
Теорема 3. В любом четырехугольнике отрезки, соединяющие середины противоположных сторон, делятся точкой пересечения пополам.[слайд 12]
В этих отрезках можно увидеть диагонали параллелограмма (см. рис. 7 [слайд 13]), а в параллелограмме диагонали делятся точкой пересечения пополам (эта точка - центр симметрии параллелограмма).
Учитель: Решим задачу на готовом чертеже [слайд 14]:
Дано: ABCD - трапеция.
Найти: х, у.

Рис. 8
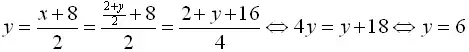
Решение: В трапеции PBCK MK - средняя линия трапеции, тогда
, и в трапеции AMND PK - средняя линия трапеции, значит 
Тогда x = 4
Ответ: 4; 6
Итак, сегодня на уроке мы с вами узнали, что такое средняя линия треугольника и ее свойства, средняя линия трапеции и ее свойства. Я очень довольна, как вы сегодня работали, особенно хочу отметить…
Домашнее задание: выучить определение и свойства средней линии трапеции. И решить задачи 1 и 2 на готовых чертежах (учащимся раздаются карточки с задачами):
|
1. Дано: PABC = 40.
Найти: PA1B1C1 |
2. Дано: ABCD - трапеция
Найти: x, y, z. |
[слайд 15]
Использованная литература:
- Геометрия 7-9 Атанасян Л.С., Бутузов В.Ф., Кадомцев С.Б.
- Е.М. Рабинович Геометрия Задачи и упражнения на готовых чертежах
- Геометрия 8. Дополнительные главы к учебнику. Атанасян Л.С., Бутузов В.Ф., Кадомцев С.Б., Шестаков С.А., Юдина И.И.
- Геометрия в таблицах 7-11. Звавич Л.И., Рязановский А.Р.



