Применение элементов высшей математики при решении задач с физическим содержанием
В курсе средней школы задачи по физике, при решении которых требуется явное применение дифференциального и интегрального исчисления встречаются нечасто и в большинстве своем вызывают значительные затруднения у выпускников. Конечно, формулировки многих из этих задач требуют ответы на вопросы, которые можно легче получить не из явного решения описывающих протекающие в них явления дифференциальных уравнений, а привлекая известные в физике законы сохранения.
Однако, сравнительный анализ различных способов решения заданий, а также умение использовать изученный в курсе алгебры и начал анализа математический аппарат, безусловно пригодятся выпускникам средней школы для продолжения образования в стенах высшей.
Кроме того, весьма важно установление четкой связи в умах учеников между различными ветвями познания окружающего мира, их взаимодополняющего влияния на точность и четкость воссоздаваемой картины реальности. Я полагаю, что задумываться об этом человек должен как можно раньше, для того чтобы в будущей деятельности плодотворно заниматься творческой исследовательской работой.
Для начала рассмотрим задачу №1, предлагавшуюся на вступительных экзаменах в МФТИ , так как её результаты можно будет использовать при решении последующих задач.
Задача 1. В цепи, изображенной на рис.1 , при разомкнутом ключе К заряд на конденсаторе с емкостью С2 (С2=С1/3) равен q2, а конденсатор с емкостью С1 не заряжен. Через какое время после замыкания ключа заряд на конденсаторе С1 будет иметь максимальное значение? Чему будет равен этот заряд? Омическими потерями в катушке с индуктивностью L пренебречь.

Как показывает опыт работы, простая замена преподавателем схемы из двух последовательно соединенных конденсаторов С1 и С2 эквивалентным конденсатором хотя бы для расчетов частоты колебаний контура может совершенно запутать учеников, если они предварительно сами не придут к осознанию равносильности такой замены для ответа на некоторые вопросы задачи. Попробуем составить дифференциальное уравнение для описания колебательных явлений в контуре. Хочется отметить, что то, что близкому к радиотехнике человеку кажется очевидным, вызывает кучу вопросов у учеников, и преподаватель не должен оставлять у них ощущения, что какие-то члены в уравнении или, допустим, их знаки появляются из-за случайных догадок, и подробно последовательно остановиться на всех этапах решения.
Обозначим буквами М, N, F соответствующие точки схемы. Изначально на левой пластине конденсатора С2 был заряд q20, на правой - (-q20).По закону сохранения заряда сумма зарядов на левой пластине конденсатора С2 правой пластине конденсатора С1 остается постоянной, так как заряды в эту часть схемы извне не поступают q1+q2=q20.
j M-j N=q1/C1; (1) j N-j F=q2/C2 (2). Выберем направление тока в цепи против часовой стрелки, при этом заряд q2 должен уменьшаться.
Падение напряжения на катушке индуктивности IR=j M-j F+e сам. инд. По закону электромагнитной индукции e cам.инд=
Так как активное сопротивление катушки индуктивности равно 0, то j M-j F
Складывая уравнения (1) и (2),получим j
M-j F=q1/C1+q2/C2. Подставляя данное соотношение в (3), мы получим уравнение (4), справедливое для любого момента времени:
q1/C1+q2/C2-
Продифференцируем это уравнение по времени, получим:

учитывая, что
мы приходим к
дифференциальному уравнению
которое является уравнением гармонических колебаний.
Общее решение этого уравнения I(t) = Imax sin(w t+j ), где w 2=
.
Инерционной частью в данной модели являются заряды на конденсаторах q1 и q2, которые не могут измениться мгновенно из-за наличия индуктивности в цепи.
В момент замыкания ключа j M=j N, так как конденсатор C1 не заряжен.
j M-j F=j N-j F=q20/C2. Скорость изменения тока в начальный момент времени конечна и равна q20/(C2L)(см.(3)), его значение в этот момент времени также равно 0, откуда в общем уравнении гармонических колебаний находим первую const: j =0, тогда I(t)=Imax sinw t.
w t;
так как q2(0)=q20, то const=
, а зависимость величин зарядов конденсаторов от времени имеет вид:
В моменты времени, когда ток в цепи максимален,
Поскольку
активное сопротивление цепи равно 0, энергия электромагнитного поля в процессе колебаний сохраняется, т.е. в любой момент времени справедливо соотношение
а при максимальном значении тока из этого соотношения получаем:
отсюда 
Данный результат можно получить и иначе. Найдем равновесное распределение зарядов на конденсаторах, которое отвечает отсутствию протекания тока в цепи. При этом конденсаторы С1 и С2 оказываются включенными параллельно друг другу.
U1=U2=q1p/C1=q2p/C2.Сумма же зарядов на конденсаторах равна q20. Из этих условий получаем, что
Вокруг этих положений и осуществляются колебания зарядов на конденсаторах с течением времени, амплитуда же колебаний соответствует величине Imax/w
, что позволяет определить Imax.
В нашем конкретном случае
Максимальная величина заряда q1 будет равняться 3q20/2, а достигаться она будет в
моменты времени t=T/2+n? T, где Т - период колебаний, а n=0,1,2... На рис.2 приведены зависимости от времени величины зарядов на конденсаторах и тока, протекающего в цепи. ![]()

Подробный анализ данной задачи позволяет подойти к решению более сложного задания, предложенного на вступительных экзаменах в МФТИ.
Задача 2. В схеме, предложенной на рисунке, сначала замыкают ключ К1 и после того, как конденсатор емкостью С2 полностью зарядится от батареи с ЭДС E , ключ К1 раз-
мыкают и замыкают ключ К2. После замыкания ключа К2 в схеме происходят свободные незатухающие колебания. Когда напряжение на конденсаторе емкостью С1 достигает максимального значения, в него быстро (за время, малое по сравнению с периодом колебаний) вставляют диэлектрическую пластину, что приводит к увеличению его емкости в e раз.
1)Чему равен начальный ток в цепи после замыкания ключа К2?
2)Определить максимальный ток в цепи после вставки пластины.

После замыкания ключа К1 конденсатор С2 заряжается до напряжения U= E , на его пластинах скапливаются заряды q20 и -q20, q20=UC2.
После размыкания ключа К1 источник ЭДС не играет роли в дальнейших процессах и промежуточный этап после замыкания ключа К2 описывается найденными в задаче №1 соотношениями. Из
зависимости зарядов q1 и q2 от времени следует, что
а
За время, малое по сравнению с периодом колебаний, в процессе внесения в конденсатор C1 диэлектрической пластины
заряды на пластинах конденсаторов не могут измениться, т.к. до начала процесса ток в цепи равнялся 0,а максимальную скорость его изменения можно оценить из уравнения (3).
Она конечна, следовательно, сразу после внесения диэлектрической пластины ток в цепи по-прежнему будет равняться 0.
Колебания зарядов на конденсаторах после внесения диэлектрической пластины будут осуществляться около новых равновесных положений, определяемых условиями:
Отсюда находим равновесные распределения зарядов:
В момент времени, когда система проходит это
равновесное положение, ток в цепи достигает своего максимального значения. Найдем величину этого тока из закона сохранения энергии электромагнитного поля в контуре в процессе колебаний после
помещения в него диэлектрической пластины.
Данное уравнение относительно Imax является квадратным, одно из его решений Imax=0 соответствует
тривиальному случаю отсутствия колебаний в контуре, а после упрощений можно найти и его второе, интересующее нас решение:



Следующие схемы предлагались на экзамене в МФТИ в качестве наиболее сложных задач.
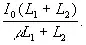
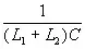
Задача №3. В колебательном контуре, состоящем из двух последовательно соединенных катушек с индуктивностью L1 и L2 и конденсатора с емкостью С, происходят свободные незатухающие колебания, при которых амплитуда колебаний тока равна I0. Когда сила тока в катушке L1 максимальна, в неё быстро ( за время, малое по сравнению с периодом колебаний) вставляют сердечник, что приводит к увеличению её индуктивности в m раз.
1)Определить максимальное напряжение на конденсаторе до вставки сердечника.
2)Определить максимальное напряжение на конденсаторе после вставки сердечника.
Составим дифференциальное уравнение колебаний, описывающее поведение данной цепи. Все её элементы соединены последовательно, пусть ток , протекающий в цепи, будет i(t), выберем его направление
так, как показано на рис.5. Пусть заряд на правой пластине конденсатора q, тогда
j N-j M=q(t)/C; (1).
Падение напряжения на катушке L1 равно 0, так как её активное сопротивление равно 0
( колебания в контуре по условию задачи незатухающие.)
Складывая уравнения (2) и (3) и учитывая (1), получаем уравнение (4), справедливое для любого момента времени до вставки
сердечника.
(4) Продифференцируем его по времени: ![]()
Данное дифференциальное уравнение показывает, что колебания в контуре происходят по гармоническому закону, а квадрат
частоты собственных колебаний равен
. Максимальное напряжение на конденсаторе соответствует максимальному заряду на нем; учитывая, что
в точках экстремума дифференцируемой функции q(t) её производная обращается в 0, получаем, что ток в этот момент в цепи равен 0.
По закону сохранения электромагнитной энергии в контуре:
, где Umax- максимальное напряжение на конденсаторе до вставки сердечника.
Рассмотрим процесс введения в катушку L1 сердечника. В это время конденсатор полностью разряжен, j M=j N.
j M-j F+e инд 1=0, j F-j N+e инд 2=0, тогда e инд 1+e инд 2=0, т.е.
поскольку вставка сердечника происходит быстро и конденсатор всё это время остается незаряженным. Получаем равенство, вытекающее из сохранения магнитного потока в системе:
(L1+L2) Imax нач=(m L1+L2)Imax кон. Следовательно, к моменту окончания вставки сердечника Imax кон=
Тогда для максимального напряжения на конденсаторе после вставки сердечника имеем: 