Мастер-класс по теме "Элементы комбинаторики: перестановки, сочетания и размещения"
Элементы комбинаторики: перестановки, сочетания, размещения.
“Число, положение и комбинация – три
взаимно пересекающиеся, но различные
сферы мысли, к которым можно
отнести все математические идеи”.
Джозеф Сильвестр (1844 г.)
Цели занятия.
Образовательные:
- познакомить студентов с новым разделом математики: "Комбинаторика", с его историей, основными понятиями и задачами, использованием в практических целях и в жизни человека;
- способствовать созданию учебного проекта как показатель качественного изучения темы занятия.
Развивающие:
- развивать аналитические способности, логическое мышление,
- индивидуальные способности каждого студента, создавая комфортную психологическую обстановку для каждого студента при обучении и создании проекта.
Воспитывающая:
- формировать активность личности студента, умение работать в группе, отвечать за свои поступки.
Оборудование: компьютеры, проектор, экран, презентация, электронные и на бумажных носителях тесты, задачи “Судоку”, кубики Рубика, папки для ВСР (внеаудиторная самостоятельная работа), рабочие тетради, чистые ватманы, калькуляторы, цветная бумага, клей, ножницы, фломастеры.
Ход занятия
I. Организационный момент
Перекличка
Сообщение целей и задач занятия: В связи с тем, что по дисциплине “Математика” на 2 курсе специальности “Технология деревообработки” на тему “Основные понятия комбинаторика: перестановки, размещения, сочетания” отводится 2 часа, а рассмотреть нужно много материала, решать задачи, создать проект, вам было выдано задание на внеаудиторную самостоятельную работу следующее: в литературе по истории математики, в энциклопедиях, в учебниках и в интернете найти материал о разделе математики, имеющем звучное название “комбинаторика”. Слайды № 1–2. Презентация
В календарно-тематическом плане по дисциплине “Математика” на 2 курсе специальности “Технология деревообработки” на тему “Основные понятия комбинаторика: перестановки, размещения, сочетания” отводится 2 часа. Изучить теоретический материал, решить задачи разных видов за такой временной промежуток невозможно. Для достижения глубокого изучения материала было выдано задание на внеаудиторную самостоятельную работу: в литературе по истории математики, в энциклопедиях, в учебниках и в интернете найти материал о разделе математики, имеющем звучное название “комбинаторика”. Слайды № 1–2.
Вопросов для внеаудиторной самостоятельной работы выделено было три:
- Определения комбинаторики.
- Ученые – математики - первооткрыватели этого раздела.
- Применение комбинаторики в современной жизни.
Запись даты, темы урока.
II. Работа над темой занятия
Вступление:
Из глубокой древности до современного человечества дошли сведения о том, что уже тогда люди занимались выбором объектов и расположения их в том или ином порядке и увлекались составлением различных комбинаций. Так, например, в Древнем Китае увлекались составлением квадратов, в которых заданные числа располагали так, что их сумма по всем горизонталям, вертикалям и главным диагоналям была одной и той же (современная игра – задача “Судоку”). Такие задачи вы могли встречать в журналах и газетах. В частности, наша Мариинская газета “Вперед” довольно часто предлагает читателям такие задачи. В Древней Греции подобные задачи возникали в связи c такими играми, как шашки, шахматы, домино, карты и т.д.
Комбинаторика ставится самостоятельным разделом математики, по сути – самостоятельной наукой лишь во второй половине XVII века, - в период, когда возникла теория вероятностей.
Таким образом, - комбинаторика – это самостоятельный раздел математики, в котором изучаются вопросы о том, сколько различных комбинаций, подчинённых тем или условиям, можно составить из заданных объектов.
Комбинаторика – самостоятельная ветвь математической науки. Cлайд № 3
Термин “КОМБИНАТОРИКА” происходит от латинского слова “combina”, что в переводе на русский означает – “сочетать”, “соединять” - слайд № 4.
Как трактует это слово Большой Энциклопедический Словарь?
Комбинаторика – это раздел математики, в котором изучаются простейшие “соединения”: перестановки, размещения, сочетания. Этот раздел иначе называют “комбинаторный анализ”.
Сегодня мы будем рассматривать перестановки, размещения, сочетания, как соединения, как комбинаторные конфигурации.
Разделы комбинаторики: перечислительная, структурная, вероятностная, топологическая – слайд № 5.
Давайте вспомним известное вам из детства сказание о том, как богатырь или другой добрый молодец, доехав до развилки трех дорог, читает на камне: “Вперед поедешь – голову сложишь, направо поедешь – коня потеряешь, налево поедешь – меча лишишься”. А дальше уже говорится, как он выходит из того положения, в которое попал в результате выбора. Но выбирать разные пути или варианты приходится и современному человеку. Эти пути и варианты складываются в самые разнообразные комбинации. И целый раздел математики, именуемый КОМБИНАТОРИКОЙ, занят поисками ответов на вопросы: сколько всего есть комбинаций в том или ином случае, как из всех этих комбинаций выбрать наилучшую – слайд № 6.
Итак, комбинаторика – раздел математики, в котором изучается, сколько различных комбинаций, подчиненных тем или иным условиям, можно составить из заданных объектов.
Задачей комбинаторики можно считать задачу размещения объектов по специальным правилам и нахождение числа способов таких размещений.
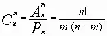
Перестановки-соединения, которые можно составить из n предметов, меняя всеми возможными способами их порядок; число их
Количество всех перестановок из n элементов обозначают
![]()
Число n при этом называется порядком перестановки – слайд № 7–10.
Произведение всех натуральных чисел от n до единицы, обозначают символом n! (Читается “эн - факториал”). Используя знак факториала, можно, например, записать:
1! = 1,
2! = 2•1 = 2,
3! = 3 •2 •1 = 6,
4! = 4 •3 •2 •1 = 24,
5! = 5 •4 •3 •2 •1 = 120.
Необходимо знать, что 0!=1
Термин “перестановки” употребил впервые Якоб Бернулли в книге “Искусство предположений”.
Примеры решения задач:
Задача №1. Сколькими способами 7 книг разных авторов можно расставить на полке в один ряд?
Перестановками называют комбинации, состоящие из одних и тех же п различных элементов и отличающиеся только порядком их расположения. Число всех возможных перестановок обозначается Рп и оно равно п!, т.е. Рп = п!, где п! = 1 * 2 * 3 * … п.
Решение: Р7 = 7!, где 7! = 1 * 2 * 3 * 4 * 5 * 6 * 7 =5040, значит существует 5040 способов осуществить расстановку книг.
Ответ: 5040 способов.
Задача № 2 (о квартете)
В знаменитой басне Крылова “Квартет” “Проказница мартышка, Осел, Козел да косолапый Мишка” исследовали влияние взаимного расположения музыкантов на качество исполнения.
Зададим вопрос: Сколько существует способов, чтобы рассадить четырех музыкантов?
Решение: на слайде
Размещения – соединения, содержащие по m предметов из числа n данных, различающихся либо порядком предметов, либо самими предметами; число их.
![]()
Cлайды № 11–13.
В комбинаторике размещением называется расположение “предметов” на некоторых “местах” при условии, что каждое место занято в точности одним предметом и все предметы различны.
В отличие от сочетаний размещения учитывают порядок следования предметов. Так, например, наборы < 2,1,3 > и < 3,2,1 > являются различными, хотя состоят из одних и тех же элементов {1,2,3} (то есть, совпадают как сочетания).
Термин “Размещение” употребил впервые Якоб Бернулли в книге “Искусство предположений”.
Примеры решения задач:
Задача № 1. Сколько можно составить телефонных номеров из 6 цифр каждый, так чтобы все цифры были различны? Это пример задачи на размещение без повторений.
Размещаются здесь десять цифр по 6. Значит, ответ на выше
поставленную задачу будет: ![]()
Ответ:151200 способов
Задача № 2. В группе ТД – 21 обучается 24 студентов. Сколькими способами можно составить график дежурства по техникуму, если группа дежурных состоит из трех студентов?
Решение: число способов равно числу размещений из 24 элементов по 3, т.е. равно А243. По формуле находим
![]()
Ответ: 12144 способа
Сочетания-соединения, содержащие по m предметов из n,
различающиеся друг от друга, по крайней мере, одним предметом;
число их
.
Таким образом, количество вариантов при сочетании будет меньше количества размещений. Cлайды № 14–16.
В комбинаторике сочетанием из n по m называется набор m элементов, выбранных из данных n элементов. Наборы, отличающиеся только порядком следования элементов (но не составом), считаются одинаковыми, этим сочетания отличаются от размещений.
Термин “сочетание” впервые встречается у Блеза Паскаля в 1665 году.
Примеры решения задач:
Задача №1. Сколько трехкнопочных комбинаций существует на кодовом замке (все три кнопки нажимаются одновременно), если на нем всего 10 цифр?
Решение: Так как кнопки нажимаются одновременно, то выбор этих кнопок – сочетание. Отсюда возможно

Ответ: 120 вариантов.
Задача № 2. Сколько экзаменационных комиссий, состоящих из 3 членов, можно образовать из 10 преподавателей?
Решение: По формуле находим:
комиссий
Ответ: 120 комиссий.
Библиографическая справка – слайд № 17.
Общее у всех этих задач то, что их решением занимается отдельная область математики, называемая комбинаторикой. “Особая примета” комбинаторных задач – вопрос, который всегда можно сформулировать так, чтобы он начинался словами: “Сколькими способами…?”. Cлайд № 18.
3. Решение задач: тексты задач с решениями в приложении 1 – начало на слайде № 19.
4. Исторические сведения о комбинаторике на слайдах № 20–21 (частично даны сведения при изучении темы, остальные данные для проекта студенты возьмут из материалов для ВСР).
5. Связи комбинаторики на слайдах № 22–31 (частично даны сведения при изучении темы, остальные данные для проекта студенты возьмут из материалов для ВСР).
6. Выдвижение гипотезы. Гипотеза – это научное предположение, выдвигаемое для объяснения каких-нибудь явлений, вообще – предположение, требующее подтверждения.
Выдвигается гипотеза: Комбинаторика интересна и имеет широкий спектр практической направленности - слайд № 32.
7. Метод проектов: три группы студентов и группа преподавателей выполняют проект по теме: “Комбинаторика”, используя знания, полученные на занятии, а также материалы, подготовленные по заданию на ВСР: различные определения комбинаторики, ученые – математики - первооткрыватели этого раздела, применение комбинаторики в современной жизни.
8. Защита проектов: при защите проекта сделать вывод: подтверждает ли проект выдвинутую гипотезу или опровергает.
9. Тестирование: Часть студентов тестируется на компьютерах, остальные – на бумажных носителях по теме занятия. По мере выполнения тестов студенты решают задачу “Судока” или собирают кубик Рубика.
10. При выходе из кабинета каждый студент выбирает прямоугольник по цвету, соответствующему надписями “всё понятно и усвоено”, “трудно и не всё понятно”, “не понятно и не усвоено”, и опускает в соответствующий конверт.
Информационные ресурсы
1. Фадеев Д.К., Никулин М.С., Соколовский. Элементы высшей математики для школьников. Москва. “Наука”, 1987 год.
2. Грэхем Р., Кнут Д.А., Паташник О. Конкретная математика.. Москва “Мир”, 1998 г.
3. Богомолов Н.В. Практические занятия по математике: Учеб. Пособие для техникумов, Москва. “Высшая Школа, 1983.
4. Перельман Я.И. “Занимательная алгебра. Занимательная геометрия, Москва, АСТ “Астрель”, 2002 год.
5. Савин А.П. “Энциклопедический словарь юного математика”, Москва “Педагогика”, 1985.
6. Сканави М.И. “Сборник задач по математике для поступающих в вузы”, Москва, “Высшая школа”, 1998 г.
7. Вентцель Е.С. Теория вероятностей. – 4-е изд. - М.: Наука, 1969.
8. Элементы теории вероятностей. Математика. Приложение к газете "Первое сентября", № 41, 42.
9. http//portfolio.1sept.ru
10. Лютикас В.С. Факультативный курс по математике: Теория вероятностей, Москва, “ Просвещение”, 1990.
11. Гнеденко Б.В., Хинчин А.Я. Элементарное введение в теорию вероятностей. - 6-е изд. - М.: Наука, 1964.
12. Андреева Е. В. “Комбинаторные задачи”, Москва, “Чистые пруды”, 2005 г.