Приемы и методы решения систем линейных уравнений с двумя неизвестными
Цели:
- Образовательные: повторить навыки применения свойств коэффициентов систем линейных уравнений с двумя неизвестными, повторить графический метод решения систем, продолжить знакомство с методом сравнения, учить решать системы методом подстановки и сложения..
- Развивающие: развитие логического мышления, способности самостоятельно решать учебные задачи и работать с дополнительной литературой, учиться в зависимости от учебной ситуации выбирать наиболее рациональные методы решения.
- Воспитательные: прививать интерес к предмету, формировать коммуникативные навыки.
Форма урока: лекционно-практическая.
Дополнительные материалы и наглядные пособия: мел, доска, лекция преподавателя, рассказ А. П. Чехова "Репетитор" (см. приложение 1) и проспект по теме урока (см. приложение 2) для учеников(лучше раздать по окончании занятия или на следующем уроке на этапе повторения) и учебник "Алгебра -7" под ред. А. Г. Мордковича.
Ход урока
Организационный момент:
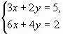
Устный счет: (на доске записаны следующие системы)
1
2![]()
3
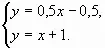
4
5![]()
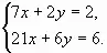
6
7![]()
Ответить на вопросы:
Какие системы заданы в явном виде, а какие в неявном?
Для решения каких систем геометрической интерпретацией будет пара параллельных прямых? Что это значит?
У каких систем решением будет бесконечное множество пар чисел типа (х; у)?
Сформулируйте основные свойства коэффициентов.
№1
Решите графически систему уравнений: ![]()
Решение (вызвать ученика):
Представим систему в явном виде:
![]()
| x | 0 | 1 |
| y | -0,5 | 0 |
| x | 0 | 1 |
| y | 1 | 2 |
(Идет повторение алгоритма графического решения системы двух линейных уравнений с двумя неизвестными)
Ответ: (-3;-2)
У всех ли ответ получился точным? Как себя проверить?
Провести демонстрацию проверки методом сравнения (вызвать ученика). Сделать выводы о "+" и "-" графического метода.
Объяснение нового материала:
Прочитать отрывок из рассказа А. П. Чехова "Репетитор". Предложить учащимся решить задачу алгебраическим методом и продемонстрировать методы подстановки, сложения и сравнения.
В известном рассказе А. П. Чехова "Репетитор" описана задача, которая поможет нам познакомиться с новыми методами решения систем двух линейных уравнений с двумя неизвестными.
Герои рассказа - купец Удодов, его сын Петя и Петин репетитор, семиклассник Зиберов Егор Александрович.
Идет чтение отрывка, акцент на задаче.
- "Купец купил 138 арш. черного и синего сукна за 540 руб. Спрашивается, сколько аршин купил он того и другого, если синее стоило 5 руб. за аршин, а черное - 3 руб.?"
1 аршин =71,12 см
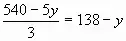
Пусть х аршин было черного сукна, а у аршин - синего. Всего купец купил 138 аршин сукна, составляю первое уравнение системы: х+у=138. Так как 1 аршин черного сукна стоит 3 рубля, а 1 аршин синего - 5 рублей, то за все черное сукно уплачено 3х рублей, а за все синее - 5у рублей. Вся покупка стоит 3х+5у рублей. Так как купец истратил на всю покупку 540 руб., то 3х+5у=540.
![]()
Решение: (метод сложения)
уравняем коэффициенты при х и у.
+
(100+30+8)*3=300+90+24=414_
_____________________ сложим уравнения системы
![]()
![]()
Значит 63 аршина синего сукна, тогда черного будет
(аршин).
Ответ: 63 аршина синего и 75 аршин черного сукна купил купец.
2-ой способ
Метод подстановки.
![]()
![]()
![]()
![]()
![]()
![]()
![]()
Ответ: (75;63).
Метод сравнения.
![]()
Выразим из каждого уравнения системы какую-либо одну неизвестную через другую.
![]()
Приравняем правые части полученных выражений
![]()
Решим полученное уравнение с одной неизвестной и подставим полученное значение этой неизвестной в любое из выражений для другой неизвестной.
Рекомендуется с учащимися решить по учебнику следующие упражнения для отработки навыков решения систем методами подстановки и сложения:
№412(а, б), 415, 440, 441(а, б).
Домашнее задание 416, 412(в, г) 441(в, г).