Арифметическая прогрессия. Геометрическая прогрессия. Смешанная прогрессия для учащихся 9-х и 11-х классов
Занятие № 1
Арифметическая прогрессия
Цель: Знать формулы и уметь их применять при решений задач.
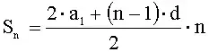
Содержание урока
1, 3, 5, 7, 9, 11, 13… - арифметическая прогрессия.
а1, а2, а3, а4, а5, а6, а7…,
, d - разность арифметической прогреccии.
,
,
,
,
,
.
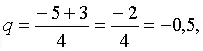
1. Найти первый член а1 и разность d арифметической прогрессии в котором


d=-1.
![]()
Ответ: а1=13, d=-1.
2. Известно, что при любом n сумма Sn членов некоторой арифметической прогрессий выражается формулой
. Найти первые три
члена этой прогрессий.

Ответ: 1; 9; 17.
3. Если третий и седьмой члены арифметической прогрессии соответственно равны 1, 1 и 2, 3, то шестнадцатый её член равен 1) 6, 2) 8, 3) 10,6, 4) 4,4, 5) 5.

а16=?

|
1,2=4·d
d=1,2/4 d=0,3 |
1,1-0,6=а1
a1=0,5 |
а16=а1+15·0,3=0,5+4,5=5.
Ответ: №5
4. Если в арифметической прогрессии сумма третьего и седьмого членов равна 10, первый член равен -3, то разность прогрессии равна 1)3, 2) 1, 3) 2, 4) -2, 5)
.

d=?
а1+4·d=5,
-3+4·d=5,
4·d=8,
d=2.
Ответ: №3
5. Если в арифметической прогрессии второй и шестой члены соответственно равны 0,8 и 2,4, то десятый член равен 1) 4, 2) 8,6, 3) 4,2, 4) 10,4, 5) 6.

а10=?

1,6=4·d, d=0,4,
0,8=0,4+a1, a1=0,4,
a10=a1+9·d=0,4+9·0,4=4.
Ответ: №1
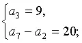
6. Сколько членов арифметической прогрессий нужно взять, чтобы их сумма равнялось 91. если её третий член равен 9, а разность седьмого и второго членов равна 20?

а1+6·d- а1-d=20,
5·d=20, d=4.
а1+2·d =9,
а1=9- 8=1,

![]()
![]()
![]()
D=b2-4·a·c=1+4·2·91=729,
Ответ: n=7.
Занятие №2
Геометрическая прогрессия
Цели: Уметь решать задачи, знать формулы геометрической прогрессии.
Содержание урока
Числовая последовательность, каждый член которой, начинается со второго, равен предыдущему, умноженное на некоторое отличное от нуля постоянное число, называется геометрической прогрессий.

для бесконечно убывающей прогрессии 
1. Сумма первого и четвертого членов геометрической прогрессии равна 40, а сумма второго и пятого равна 10. Найти знаменатель прогрессии.


Ответ: 0,25.
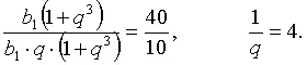
2. Сумма второго и четвёртого членов возрастающей геометрической прогрессии равна 30, а их произведение 144. Найти сумму девяти членов этой прогрессий.


5·q=2+2·q2 , 2·q2-5·q+2=0,
Д=25-16=9,
так как возрастающая, q=2,

Ответ: S9=1533.
3. Четвертый член возрастающей геометрической прогрессии больше второго члена на 24, а сумма второго и третьего членов равна 6. Найти произведение первых четырех членов этой прогрессии.


если q=5, то 

Ответ:
.
4. Сколько членов геометрической прогрессии нужно сложить, чтобы получить сумму 3069, если

q=2,


1024=2n , 210=2n .
Ответ: n=10.
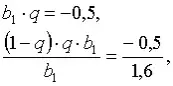
5. Найти знаменатель бесконечно убывающей геометрической прогрессии, сумма которой равна 1,6, если второй член равен (-0,5).


16·q2-16·q-5=0
; 
Ответ: 
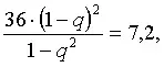
6. Сумма всех членов бесконечно убывающей геометрической прогрессии равна 6. Сумма их квадратов 7,2. Найти знаменатель прогрессии.

![]()
![]()

36-36·q=7,2-7,2·q,
288=432·q.
Ответ: 
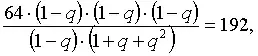
7. Сумма бесконечно убывающей геометрической прогрессии равна 4, а сумма кубов её членов равна 192. Найти первый член и знаменатель прогрессии.

![]()
![]()
![]()


![]()
![]()
Д=25-16=32,

прогрессия убывающая, q=-0,5,
.
Ответ:
, ![]()
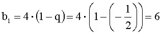
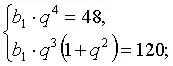
8. Найти второй член геометрической прогрессии, состоящей из 9 членов, которой произведение двух крайних членов равна 2304, а сумма четвертого и шестого членов равно 120.

b5=48,

2+2·q2=5·q,
2·q2-5·q+2=0,
, ![]()
,
b1=48·16=768, 
, ![]()
Ответ: 384; 6.
Занятие №3
Смешанная прогрессия
Цель: Знать формулы и уметь их применять при решений задач.
Содержание занятия
Характеристические свойства прогрессий:
, где ![]()
1. Три числа a, b, 12 в указанном порядке составляют возрастающую геометрическую прогрессию, а числа a, b, 9 - арифметическую прогрессию. Найти a+b.
a, b, 12- возрастающая геометрическая прогрессия,
a, b, 9 - арифметическая прогрессия.


,
а2+18·а+81=48·а,
а2-30·а+81=0,
а1=3, а2=27, а <=12,
а=3,
,
a+b=9.
Ответ: 9.
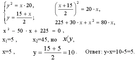
2. Три числа x, y, 20 в указанном порядке составляют возрастающую геометрическую прогрессию, а числа x, y, 15 - арифметическую прогрессию. Найти y-x.

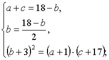
3. Три числа дают в сумме 18 образуют арифметическую прогрессию. Если к ним прибавить соответственно 1, 3 и 17, то они составляют возрастающую геометрическую прогрессию. Найти исходное третье число.

2·b=18-b, 3·b=18, b=6,
a+c=12, a=12-c,
81=(12-c+1)·(c+17),
81=-c2-4·c+130+91
-c2-4·c+140=0,
,
c=-2+12=10.
Ответ: с=10.
4. Пусть x1, x2 корни уравнения 12·x-x2=A, а x3, x4 корни уравнения 108·x-x2=В. Найти А, если известно, что последовательность x1, x2, x3, x4 - геометрическая прогрессия, все члены которой положительны.


x1, x2, x3, x4 - геометрическая прогрессия.
x1, x1·q, x1·q2, x1·q3;
![]()


![]()
![]()
Ответ:
.
5. Числа x, y и z образуют геометрическую прогрессию, а числа x+y, y+ z, x+ z образуют арифметическую прогрессию.
Найти z, если x+y+z=15 и
.

15=3·x, x=5, y+z=15-x,

,
,
.
Ответ:
.