Модульный урок по теме "Применение распределительного свойства умножения". 6-й класс
Ход урока
1. Организационный момент
2. Сообщение темы урока
Учитель: С этим свойством мы уже знакомы:
Умножим
26 • 4 = 104
Как мы это делаем:
(20 + 6) • 4 = 20 • 4 + 6 • 4 = 104
49 • 3 = 147
(50 – 1) • 3 = 150 – 3 = 147
Что же даёт нам применение распределительного свойства:
УПРОЩАТЬ ВЫЧИСЛЕНИЯ.
Давайте запишем формулировку данного свойства:
- относительно суммы: (a+b)c=ac+bc
- относительно вычитания: (a-b)c=ac-bc, где a>b
Наша с вами цель сегодня:
Научится применять данные свойства относительно действий с
обыкновенными дробями, смешанными числами, научится упрощать
выражения и составлять выражения для решения задач.
Вам предлагается самостоятельно разобрать материал, который находится у каждого из вас.
Напоминаю: Как мы работает?
Инструктаж/
| № УЭ | Учебный материал с указанием заданий. | Руководство по изучению учебного материала |
Цель:
|
||
| 1 | Цель: научиться применять распределительное
свойство умножения относительно сложения и вычитания (раскрывать
скобки), научиться умножать смешанное число на натуральное:
Прочитай и разбери решения примера: Пример 1: Найдем значения выражения
Решение. Пример 2: Найдем значение произведения
Решение: Представим вначале число
|
|
| Вывод: Чтобы умножить смешанное
число на натуральное число можно
1) умножить целую часть на натуральное число; |
Прочитай правило, выучи и запиши в тетрадь. | |
| Выполни упражнение в тетради, оформляя их, как в
выше разобранных примерах, сверь ответы.
а) б) в) г) |
Ответы:
а) 11 б) в) 19 г) 26 |
|
| Выполните умножение:
а) б) Справка: ж) и) |
Ответы:
а) 24 в) 21 д) 17; е) 17; ж) 54; з) 34; и) 247; к) 165 |
|
| Выполните умножение:
а) в) |
Ответы:
а) 61; б) 28; в) 62; г) |
|
| Образец:
|
||
| Контрольные вопросы:
1) Как можно умножить смешанное число на натуральное? |
Ответь соседу по парте. | |
| 2 | Цель: научится выносить
общий множитель за скобки.
Рассмотрим решение примера: Пример3: Найдем значение выражения Решение. На основе распределительного свойства умножения
представим эту сумму в виде произведения суммы Вывод: общий множитель (одинаковое число в каждом произведении) можно выносить за скобки. Выполни упражнения в тетради, правильно оформляя: |
|
| а) б) в) г) |
а) 93
б) 5 в) 33 г) 15 |
|
| Вычислите:
|
1 |
|
| 3 | Цель: научится упрощать выражения вида
8а+4а, используя распределительное свойство умножения, научится
решать уравнения.
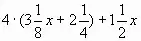
Разбери пример: В простых случаях можно писать сразу:
Решим уравнение: Ответ: х = 6 |
3 |
| Выполните упражнение в тетради (упростите
выражения):
а) г) ж) |
Сверь ответы:
а) в) у; г) д) ж) |
|
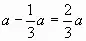
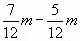
| Решите уравнение:
|
Ответ: m = 7 | |
| Решите задачи:
1. Продолжительность жизни березы 150 лет. Сосна живет в
2 |
Сверьте ответы:
1750 лет |
|
| 2. Квартира состоит из двух комнат. Длина большей
комнаты 5 |
8 м | |
| 4 | Цель: научится составлять выражения для решения задач. | |
| Разбери решение задачи:
Площадь поля а га. В первый день вспахали Решение: В первый день вспахали Во второй осталось: Далее в это выражение надо поставить значение а:
|
||
| Выполни задание:
В первый день туристы прошли |
Сверь ответы:
|
|
| Выходной контроль:
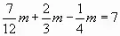
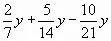
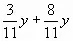
1. Найдите значение выражения:
2. Составьте выражение для решения задачи: Сумма трех чисел равна n. Первое число составляет
|
Выполни задание на листочке и сдай учителю на проверку. | |
| Домашнее задание: №№ 553, 556, 558, 562. |
Литература:
Учебник Н.Я. Виленкин, В.И. Жохов “Математика 6”.


