Изучение реактивного движения на уроке физики в 9-м классе
Цели урока для учителя:
- проверить степень усвоения теоретического материала по теме “Импульс тела. Закон сохранения импульса”;
- проверить способность применения закона сохранения импульса для решения различного типа задач и для случая реактивного движения.
Цели урока для учащихся:
- выяснить, за счёт чего происходит реактивное движение;
- выяснить особенность реактивного движения;
- применить закон сохранения импульса для случая реактивного движения.
Задачи:
- Образовательные:
- ввести понятие реактивного движения;
- распространить применение закона сохранения импульса на реактивное движение;
- способствовать развитию навыков учащихся в самостоятельном приобретении информации, в умении выделять главную мысль.
- Воспитательные:
- способствовать развитию интеллектуальных способностей учащихся;
- активизировать деятельность учащихся на уроке.
Оборудование:
- Карточки с большой буквой Р, маленькой буквой р и 0.
- Раздаточный материал “Закон сохранения импульса”.
- Резиновый шарик.
- Тележка легкоподвижная.
- Сегнерово колесо.
- Пробирка с водой, подвешенная на нитях к штативу.
- Свечки, спички.
- Портрет К.Э.Циолковского.
- Плакат “Основные элементы космической ракеты”.
ХОД УРОКА
I. Оргмомент, приветствие учащихся
II. Проверка домашнего задания
1. Фронтальный опрос
У ребят на столах имеются карточки с большой буквой Р, маленькой буквой р и 0. Учитель начинает петь песенку, а учащиеся должны поднять карточку с большой буквой Р, если тело, о котором поётся в песенке, обладает большим импульсом, с маленькой буквой р, если импульс тела мал, и 0, если импульс тела равен нулю:
1."Голубой вагон бежит, качается,
Скорый поезд набирает ход,
Ах, зачем же этот день кончается,
Лучше б он тянулся целый год".
2. "Трусишка-зайка серенький
Под ёлочкой скакал,
Порою волк, сердитый волк
Рысцою пробегал".
3. "Чижик-пыжик, где ты был?
На Фонтанке ножки мыл.
А потом я побежал,
Опять ножки замарал".
4. "В траве сидел кузнечик,
В траве сидел кузнечик.
Совсем как огуречик
Зелёненький он был".5. "Пусть бегут неуклюже
Пешеходы по лужам,
А вода по асфальту рекой.
И не ясно прохожим
В этот день непогожий,
Почему я весёлый такой".6. "Мы поедем, мы помчимся
На оленях утром ранним
И отчаянно ворвёмся
Прямо в снежную зарю".7. "Я на солнышке лежу,
Я на солнышко гляжу.
Всё лежу и лежу,
И на солнышко гляжу".
Учитель: При выполнении этого задания вам
понадобилась формула для импульса тела
. Из этой формулы видно, что между
массой и импульсом, а также между скоростью и импульсом существует
прямая зависимость, т.е. чем больше масса и скорость тела, тем
импульс тела больше.
2. Индивидуальная работа по карточкам
Записать закон сохранения импульса для каждого случая:
Вариант 1. На тележках стоят два мальчика разной массы. Отталкиваясь друг от друга, они разъехались на разные расстояния с разными скоростями.
Вариант 2. Мальчик движется на тележке со скоростью
. С какой
скоростью будет двигаться тележка, если мальчик спрыгнет с неё со
скоростью
по ходу движения.
Вариант 3. Тело массой m1, движущееся со
скоростью
, сталкивается с неподвижным телом массой
m2. Найти скорости тел после взаимодействия,
если они стали двигаться как одно тело.
Вариант 4. Из пушки массой m1 горизонтально вылетает снаряд массой m2. Найти скорость отката пушки.
Вариант 5. Груз массой m падает на движущуюся тележку массой 2m
Вариант 6. Тележка массой 2m, движущаяся со
скоростью 2
, догоняет такую же тележку, движущуюся в два раза
медленней, после чего произошло сцепление тележек.
Вариант 7. Две тележки равной массы движутся навстречу друг другу с одинаковыми по модулю скоростями. После столкновения первая тележка остановилась. Найти скорость второй тележки.
Вариант 8. Пластилиновый шарик, летящий со скоростью
,
прилипает к стенке.
Вариант 9. Баба с воза – кобыле легче.
– При выполнении этого задания вам понадобилась формула для
закона сохранения импульса:
.
Эта же формула нам понадобится при объяснении нового материала
III. Объяснение нового материала
Учитель просит учащегося надуть резиновый шарик и отпустить его. Шарик приходит в движение (фото 1).

Фото 1
Учитель: За счёт чего шарик приходит в движение?
Учащиеся: Шарик приходит в движение за счёт того, что из него выходит воздух
Учитель: Движение шарика является примером реактивного движения, и вы правильно указали причину движения шарика. Прежде, чем вы попытаетесь сформулировать определение реактивного движения, мне бы хотелось спросить у вас, будет ли являться примером реактивного движения следующий случай: человек спрыгивает с тележки?
Демонстрируется опыт: ученик встаёт на легкоподвижную тележку, спрыгивает с неё. Тележка движется в противоположную сторону (фото 2).

Фото 2
Учащиеся высказывают своё мнение, учитель фиксирует мнения учащихся и их обоснования на доске.
Учитель: Что общего в первом и во втором опытах?
Учащиеся: Тележка и шарик пришли в движение, потому что от них что-то отделилось (ученик, воздух).
После этого учащиеся формулируют определение реактивного
движения и сравнивают его с определением, написанным на закрытой
части доски. Определение записывается в тетрадь:
“Реактивное движение – это движение, происходящее за счёт
отделения от тела с какой-то скоростью некоторой его
части”.
Учитель просит учащихся привести примеры реактивного движения и
обосновать свой выбор (движение осьминога в воде и др.)
Учитель: А возможно ли реактивное движение в вакууме (без всякой среды)? Шарик летал в воздухе, тележка двигалась по полу, а если среда будет отсутствовать, возможно ли реактивное движение?
Демонстрируется опыт: в пробирку наливается немного воды, она плотно закрывается пробкой и на двух нитях подвешивается к штативу. Пробирку нагревают на спиртовке или свечке, наблюдают пример реактивного движения: пробирка приходит в движение за счёт того, что из неё под давлением водяного пара вылетает пробка (фото 3).
Учитель: Что изменится, если бы этот опыт был проведён в космическом пространстве?

Фото 3
Учащиеся: Необходим другой способ нагревания пробирки, т.к. процесс сгорания топлива без кислорода происходить не будет. На остальное отсутствие атмосферы существенно не влияет. Как только сила давления водяного пара станет немного больше силы трения пробки о пробирку, пробка должна вылететь в одну сторону, а пробирка должна начать двигаться в противоположную сторону.
Учащиеся замечают, что и реактивное движение резинового
шарика, и движение легкоподвижной тележки тоже могло бы происходить
в вакууме.
После обсуждения учащиеся делают вывод, что для реактивного
движения не нужна никакая среда, оно возможно и в вакууме. Эту
особенность учащиеся записывают в тетрадь.
Учитель: А как можно изменить направление движения тела при реактивном движении?
Учащиеся вносят свои предложения. Для подтверждения правильности предположений демонстрируется опыт: сегнерово колесо подвешивают на длинных нитях к штативу, заполняют водой. Оно начинает вращаться за счёт того, что из него по изогнутым трубкам вытекает вода (фото 4).

Фото 4
Учащиеся делают вывод и записывают его в тетрадь: для того, чтобы тело при реактивном движении изменило направление своего движения, необходимо изменить направление движения отделяющейся от тела части.
Учитель: Принцип реактивного движения открыл К.Э. Циолковский – великий русский учёный и изобретатель, которого по праву считают основоположником ракетной техники (записывают в тетрадь).

К.Э. Циолковский
IV. Работа с учебником
В §23 учащиеся находят информацию о К.Э. Циолковском, основные моменты конспектируют в тетрадь:
– разработал теорию движения ракет,
– вывел формулу для расчёта их скорости,
– предложил использовать многоступенчатые ракеты.
V. Доклад учащегося
С Калугой и Калужским краем связана почти вся сознательная жизнь
великого русского ученого, основоположника теории реактивного
движения и межпланетных сообщений, одного из теоретиков авиации и
воздухоплавания, писателя-фантаста, основоположника космонавтики,
всю жизнь стремившегося "хоть немного продвинуть человечество
вперед", – Константина Эдуардовича Циолковского.
В 1880 году 23-летним юношей начал он свою трудовую деятельность в
Боровском уездном училище в качестве учителя арифметики и
геометрии. Здесь же, в Боровске, началась серьезная научная работа
Циолковского. В 1883 году он работает над рукописью "Свободное
пространство", в которой впервые высказывает мысли о возможности
покорения космического пространства с помощью реактивного
прибора.
Одновременно Константин Эдуардович занимался вопросами
воздухоплавания. Результатом долгих раздумий, исканий и расчетов
явилась его большая работа "Теория и опыт аэростата". Эта работа –
первый в мире труд о дирижабле переменного объема с металлической
оболочкой.
В 1892 году, после 12-летней работы в Боровском уездном училище, он
как талантливый преподаватель был переведен в Калужское уездное
училище. В 1894 году Циолковским была написана повесть "Грезы о
Земле и небе и эффекты всемирного тяготения", в которой он высказал
свои соображения по проблеме сообщений в мировом пространстве и
возможности создания искусственных спутников Земли.
За
период с 1898 по 1902 год Константин Эдуардович опубликовал 16
статей по вопросам воздухоплавания и аэродинамики, а также закончил
работу "Исследование мировых пространств реактивными приборами". В
этой книге ученый говорил о способах осуществления космического
полета с помощью ракеты, приводил вычисления, подтверждающие
возможность постройки такой ракеты. В 1932 году за заслуги в
развитии науки и техники К.Э.Циолковский был награжден орденом
Трудового Красного Знамени.
Умер Циолковский 19 сентября 1935 года. Ученого похоронили в одном
из самых любимых мест его отдыха – городском парке. 24 ноября 1936
года над местом захоронения был открыт обелиск авторы – архитектор
Б.Н. Дмитриев, скульпторы И.М. Бирюков и М.А. Муратов.
Примером реактивного движения является и движение космической ракеты.
Основные элементы космической ракеты следующие (по плакату “Основные элементы космической ракеты” объясняется устройство ракеты):
- головная часть (космический корабль, приборный отсек);
- бак с окислителем и бак с топливом (в качестве топлива может использоваться, например, жидкий водород, а в качестве окислителя жидкий кислород);
- насосы, камера сгорания топлива;
- сопло (сужение камеры для увеличения скорости истечения продуктов сгорания).

– Суть многоступенчатой космической ракеты заключается в том, что после того, как топливо и окислитель первой ступени (часть ракеты, кроме головной части) будут полностью израсходованы, эта ступень автоматически отбрасывается, и в действие вступает двигатель второй ступени и т.д.
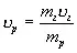
Учитель: Применим закон сохранения импульса для
реактивного движения ракеты в случае мгновенного выброса через
реактивное сопло некоторой массы газа mг со
скоростью
.
VI. Работа у доски
Желающий вызывается к доске, записывает закон сохранения импульса в общем виде:
![]()
и применяет его для реактивного движения ракеты.
Ученик: Предположим, что начальная скорость ракеты и начальная скорость истечения газов равна нулю:
.
Находим проекции векторов на ось оу :

.
Отсюда:
.
Скорость ракеты находим по формуле:
(1)
Учитель: В действительности же для реального полёта ракеты расчёт получается более сложным, так как происходит непрерывное (или пульсирующее) истечение газов и постепенное изменение массы оболочки ракеты.
VII. Закрепление и обобщение нового материала
Фронтальный опрос учащихся.
– За счёт чего происходит реактивное движение?
– Что такое реактивное движение?
– Каковы особенности реактивного движения?
– Из какой формулы можно найти скорость ракеты при реактивном
движении?
VIII. Домашнее задание
– § 23, упр. 22 (2), придумать пример реактивного движения.
IX. Подведение итогов урока
Литература для учащихся:
1. Космодемьянский А.А. Циолковский К.Э. (М., “Наука”,
1976)
2. Арлазоров А. Циолковский К.Э. (М., “Молодая гвардия”,
1963).