Иррациональные уравнения
Цели урока:
- повторить, обобщить полученные знания по теме;
- расширять кругозор учащихся, развивать интерес к предмету;
- воспитывать навыки самоконтроля, упорство в достижении целей.
Ход урока
1. Организационный момент.
2. Мотивация
Слово учителя:
Существует мнение, что математика, изучаемая в старших классах, не имеет практического применения в жизни. Но мне не хочется с этим соглашаться. Я предлагаю вам обратиться к слайду в презентации. (слайд 1)
Как вы думаете, что может объединять представленные изображения с математикой?
Я предлагаю вашему вниманию эти же иллюстрации в другом варианте (слайды 2-5)
Оказывается, иррациональные уравнения применяются не только в математике, но и в фигурном катании, биологии, физике, авиации. Чтобы рассчитать длину шага при вращении, площадь тела насекомого или плотность среды его обитания, скорость тела в СТО Энштейна, а так же скорость горизонтального полета самолета, нужно решить иррациональное уравнения. (слайд 6)
3. Актуализация опорных знаний:
- Какое уравнение называется иррациональным?
- Что значит решить иррациональное уравнение?
- Назовите способы решения иррациональных уравнений
4. Устная работа.
Решите уравнения:
(слайд 7)
(слайд 8)
(слайд 9)
5 Отработка навыков (слайд 10)
а)
(решить самостоятельно с последующей проверкой)
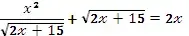
б) ![]()
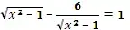
в) ![]()
г) ![]()
6. Домашнее задание по вариантам
Вариант 1
Вариант 2
Вариант 3
Вариант 4
7. Самостоятельная работа по вариантам
Вариант 1
Вариант 2
=


Вариант 3