Выбор из нескольких элементов
Цели:
- систематизация материала темы;
- развитие логической речи учащихся, воображения, умения делать выводы, высказывать свои мысли, умение видеть знакомое в незнакомом; расширять кругозор учащихся;
- воспитание интереса е предмету, уважительного отношения к одноклассникам; прилежания, активности, внимания.
Оборудование:
- портрет французского математика Б. Паскаля;
- портрет английского поэта Уордсворта;
- репродукция художника Васнецова “У распутья”;
- высказывания на карточках; плакат “Реклама”;
- конверты с карточками; компьютеры.
ХОД УРОКА
I. Организационный момент
Разъяснение целей учебной деятельности учащихся.
Да, много решено загадок
От прадеда и до отца,
И нам с тобой продолжить надо
Тропу, которой нет конца
В. Ноздрёв
Учитель: В старинных русских сказаниях повествуется, как богатырь или другой добрый молодец, доехав до распутья, читает на камне: “Вперёд поедешь – голову сложишь, направо поедешь – меча лишишься”. А дальше уже говорится, как он выходит из этого положения, в которое попал в результате выбора. Но выбирать разные пути или варианты приходится и современному человеку. Эти пути и варианты складываются в самые разнообразные комбинации. И целый раздел математики, именуемый комбинаторикой, занят поисками ответов на вопросы: сколько всего есть комбинаций в том или ином случае, как из этих комбинаций выбрать наилучшую.
Не нужно нам владеть клинком,
Не ищем славы громкой.
Тот побеждает, кто знаком
С искусством мыслить, тонким.Уордсворт (англ.поэт)
II. Проверка домашнего задания
Работа по группам: “Презентация задач” (с использованием компьютера).
III. Работа в парах
Выданы два конверта и 20 задач. Нужно распознать задачи и разложить по конвертам:
- Выбор важен
- Выбор не важен
Выборочно решить задачи и показать ход решения.
Карточки:
- По списку в классе16 девочек и 6 мальчиков. Нужно выделить
группу из трёх человек для организации классного часа “Успешные
люди”. Сколькими способами это можно сделать, если:
а) все члены группы должны быть девочками;
б) все члены группы должны быть мальчиками. - “Вороне где-то Бог послал кусочек сыра”, брынзы, колбасы, сухарика и шоколада. “На ель Ворона взгромоздясь, позавтракать совсем уж было собралась, да призадумалась” – если есть кусочки по-очереди, то из скольких вариантов придется выбирать.
- Сколькими способами можно из 25 учащихся выбрать 5 учеников для участия в школьном марафоне.
- Сколькими способами могут быть распределены золотая и серебряная медали по итогам первенства по футболу, если число команд 12?
- В классе 7 человек успешно занимаются математикой. Сколькими способами можно выбрать из них двоих для участия в математической олимпиаде?
- Из 12 солдат нужно в разведку выбрать 5. Сколькими способами это можно сделать?
- Учащимся дали список из 10 книг, которые рекомендуется прочитать во время каникул. Сколькими способами ученик может выбрать из них 6 книг?
- Назовем симпатичными числа в записи которых используют только нечётные числа. Сколько существует четырёхзначных симпатичных чисел.
- Сколько пятизначных чисел можно составить используя только цифры 3 и 5.
- “Проказница Мартышка, Осёл, Козёл и косолапый Мишка затеяли сыграть квартет”. Сколькими способами они могут по одному сесть за выбранные четыре.
- “Проказница Мартышка, Осёл, Козёл и косолапый Мишка затеяли сыграть квартет”. Мишке поручили принести со склада 8 каких-нибудь попавшихся под лапы музыкальных инструментов из имеющихся 12 инструментов. Сколько способов выбора есть у Мишки?
- Сколькими способами можно поставить черную и белую ладью так чтобы они не били друг друга.
- Гера, Афина и Афродита попросили Париса не только назвать самую красивую из них, но и указать, кто на “втором и третьем местах”. Сколько есть вариантов ответа?
- Из 15 членов туристической группы надо выбрать трёх дежурных. Сколькими способами можно сделать этот выбор?
- В магазине “Филателия ” продается 8 различных наборов марок, посвящённых “Дню Братска”. Сколькими способами можно выбрать из них 3 набора?
- Сколько способов составить расписание для 8 класса на 1 день из 6 предметов.
- Алфавит племени Мумба-Юмба состоит из букв А, У, С. Словом является любая последовательность из 4-х букв. Сколько слов в этом племени.
- Сколькими способами можно выложить в ряд красный, белый, зелёный, чёрный, синий шарики.
- Из колоды в 36 карт вынимают 5 карт. Найдите число всех возможных вариантов выбора.
- В классе 27 учеников, из которых нужно выбрать троих. Сколькими способами это можносделать, если первый ученик должен решить задачу, второй – сходить за мелом, третий – пойти дежурить в столовую.
IV. Устный анализ предложенных вариантов ответов (дискуссия)
Ответы:
- выбор важен: 2, 4, 10, 13, 16, 18, 20;
- выбор не важен:1, 3, 5, 6, 7, 11, 14, 15, 19;
- не вложены в конверт: 8, 9, 12, 17.
V. Придумайте задачу (индивидуально)
- в которой порядок важен.
- в которой порядок не важен.
(Решение и обоснование)
VI. Презентация-слайд
Подведём краткие итоги изученного.
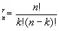
Основной объект числа С
.
Главный результат состоит в том, что эти числа можно определять
и считать и как количество всех выборок k элементов из n данных без
учета порядка, как С![]()
Для чисел С
имеется
очень красивый и удобный способ записи – в виде треугольной
таблицы, её называют треугольником Паскаля (философ, математик,
физик, изобрел первую счётную машину ).
Основная закономерность образования строк в этом треугольнике состоит в следующем: каждое число в треугольнике Паскаля равно сумме двух чисел, стоящих над ним в предыдущей строке.
Такую закономерность мы уже встречали при изучении логики в 7-м классе “Биномиальные коэффициенты”, формул сокращённого умножения на уроках алгебры.
(а + в)4 = а4 + 4а3в + 6а2в2 + 4ав3 + в4
(а + в)5 = а5 + 5а4в + 10а3в2 + 10а2в3 + 5ав4 + в5
(а + в)6 = а6 + 6а5в + 15а4в2 + 20а3в3 + 15а2в4 + 6ав5 + в6
VII. Домашнее задание
Человек, который может анализировать, сравнивать, синтезировать, классифицировать и составлять различные комбинации, обладает творческим мышлением. Дела многих фирм во многом зависят от рекламы, вернее от людей, которые разрабатывают рекламу продукции, а если точнее, то от того, насколько развито их творческое мышление. Поэтому домашнее задание позволит увидеть и услышать, как развито ваше творческое мышление.
Придумать рекламу:
- треугольника Паскаля;
- “Комбинаторика”.
