Изучение элементов математического анализа в старших классах
Программа курса “Математический анализ”
Раздел “Введение в анализ”
1. Предел.
Числовые последовательности: определение, способы задания, свойства. Предел числовой последовательности: определение предела, свойства сходящихся последовательностей, вычисление пределов последовательностей, число е. Предел функции на бесконечности: понятие предела, свойства предела, вычисление предела. Предел функции в точке. Односторонние пределы. Бесконечные пределы. Замечательные пределы.
2. Непрерывность.
Непрерывность функции в точке. Непрерывность функции на промежутке. Арифметические действия над непрерывными функциями. Непрерывность элементарных функций. Свойства функций непрерывных в точке. Точки разрыва функции. Непрерывность сложной функции. Непрерывность обратной функции.
Раздел “Дифференциальное исчисление для функций одной переменной”
1. Производная.
Производная. Геометрический смысл производной, уравнение касательной. Механический смысл производной. Производные некоторых элементарных функций (показательной, степенной, логарифмической, тригонометрических). Правила вычисления производных. Производная суперпозиции. Производная обратной функции. Производные высших порядков.
2. Дифференциал.
Дифференциал. Дифференциалы высших порядков. Приближенные вычисления.
3. Основные теоремы дифференциального исчисления и их приложения.
Теорема Ферма. Теорема Лагранжа. Правило Лопиталя. Условие постоянства функции. Условие монотонности. Максимумы и минимумы. Необходимое условие экстремума. Достаточные условия экстремума. Нахождение наибольшего и наименьшего значений функции. Выпуклость. Точки перегиба. Асимптоты. Схема исследования функции.
Раздел “Интегральное исчисление для функций одной переменной”
1. Неопределенный интеграл.
Первообразная функция. Неопределенный интеграл. Свойства неопределенного интеграла.
Таблица интегралов. Замена переменной в неопределенном интеграле. Интегрирование по частям в неопределенном интеграле.
2. Определенный интеграл.
Определение определенного интеграла. Свойства определенного интеграла. Формула Ньютона – Лейбница. Замена переменной в определенном интеграле. Интегрирование по частям.
3. Приложения определенного интеграла.
Вычисление площади с помощью интеграла в декартовых координатах. Вычисление объема с помощью интеграла. Использование интеграла в физических задачах.
Рассмотрим возможные упражнения для самостоятельной работы учащихся при изучении раздела “Введение в анализ”.
Тема: Понятие числовой последовательности
№1. По формуле n-го члена каждой из последовательностей вычислите её 20-й член:
а)
; б)
; в)
. Какие из данных формул являются формулами
n–x членов арифметической (геометрической) прогрессии?
№2. Вычислить три первых члена
последовательности:
.
№3. Составьте одну из возможных формул n-го члена последовательности:
а) 3, 6, 9, 12, 15, ……; б) 5, 5/2, 5/4, 5/8,….; в)1, 1/3, 1/5, 1/7….; г) 3•2, 5•22, 7•23 , 9•24,….
№4. Вычислите пять первых членов
последовательности, если известно, что X1 = 1,
Xn+1 = (n+1) *
Xn, n
. Запишите формулу n-го
члена этой последовательности.
№5. Выпишите по пять первых членов каждой из
последовательностей и задайте ее формулой n-го члена: а)
Х1 = 4, Хn+1
= -Хn , n
; б)
Х1 = -10,
Хn+1 = Хn+5,
n
.
№6. Каждую из последовательностей задайте рекуррентным способом: а) 2,4,16,256,….;
б) 1,1,1,1,….; в) 1,2,3,4,5,…..; г) -2,0,2,4,6,8,…..; д) 1/3,1/9, 1/81, 1/6561,…..; е) 1,6,11,16,21,……; ж) 2, -6, 18, -54,……
№7. Доказать, что последовательность а)
возрастает; б)
убывает.
№8. Доказать, что следующие последовательности ограничены:
а)
; б)
; в)
.
№9. Постройте график каждой последовательности:
а)
; б) bn = n2;
в)
; г)
; д)
.
Тема: Вычисление пределов числовых последовательностей
№1. Укажите номер того члена последовательности
,
начиная с которого все члены последовательности удовлетворяют
условию |Xn-2,5| < 0,01. Дайте
геометрическое истолкование полученного результата.
№2. При каких значениях n точки,
соответствующие членам последовательности
, отстоят от точки 3 на
расстояние, меньше, чем 0,1?
№3. Используя определение предела
последовательности, докажите, что
.
№4. Известно, что
,
. Найдите: а)
б)
в)
.
№5. Вычислить пределы последовательностей:
неопределённость вида
: а)
б)
в)
г)
д)
е)
ж)
з) ![]()
неопределённость вида
: а)
б)
в)

неопределённость вида
: а)
б)
в)
г)
д) ![]()
пределы вида ![]()
- если
и
, то ![]()
- если
, |a| < 1 и
, то ![]()
- если
, |a| > 1 и
, то ![]()
а)
б)
в)
г) 
№6. Используя метод неопределенных
коэффициентов, вычислить предел последовательности ![]()
Тема: Предел функции в точке, на бесконечности
№1. Пользуясь определением предела функции в
точке на языке “
-
”,
доказать, что
а)
б)
в)
г)
д) ![]()
(Как подобрать соответствующее
, если
= 0,1;0,01;1,001?);
е)
(Каково должно быть М> 0, чтобы для любого
x > M выполнялось неравенство
|f(x)-1|< 0.001?); ж)
(Каково должно быть
, чтобы f(x)> 10000?)
№2. Записать следующие утверждения в предельной форме:
а) ![]()
б) ![]()
в) ![]()
г) ![]()
д) ![]()
е) ![]()
№3. Записать следующие утверждения в предельной форме:
а) " M > 0 $ k > 0 " хI D( f) и e x e > к выполнялось e f(x) e > М ;
б) " e > 0 $ М > 0 " хI D( f) и e x e > М выполнялось e f(x) e < e ;
в) " e > 0 $ М > 0 " хI D( f) и e x e > М выполнялось e f(x)-2 e < e ;
г) " e > 0 $ М > 0 " хI D( f) и x > М выполнялось e f(x)-0,2 e < e ;
д) " e > 0 $ М > 0 " хI D( f) и x < - М выполнялось e
f(x)-
e < e ;
Тема: Вычисление пределов функций
1. неопределённость вида
: 1)
2)
3)
4) 
2. неопределённость вида
:
1)
2) ![]()
3. неопределённость вида
: 1)
2) ![]()
4. неопределённость вида
1)
2)
3) ![]()
4)
5)
6)
7)
8) ![]()
9)
10)
11)
12)
13)
14)
15)
16)
17)
18) 
5. неопределённость вида 0 ?
: 1)
2) ![]()
Тема: Непрерывность функции
№1. Исходя из определения, докажите
непрерывность функции
на промежутке
.
№2. Пользуясь определением непрерывности
функции, докажите, что функция
непрерывна в точке х
= 5.
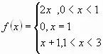
№3. Исследовать на непрерывность данные функции, установить характер точек разрыва, определить скачки функции в случае точек разрыва первого рода:
а)
; б) у = sgn x =
; в)
у = |sgn x|; г)
; д) у =
; е)
у =
; ж)
.
№4. Доопределить функцию
в точке
х = 0 так, чтобы она стала непрерывной в этой точке.
№5. Можно ли устранить разрывы следующих
функций: а)
в точке х = а; б)
в точке
х = 1.
Тема: Дифференциал и его применение
№1. Найдите приращение и дифференциал функции
в
точке
при
и при
. Найдите абсолютную и относительную
погрешности, которые мы допускали при замене приращения функции её
дифференциалом.
№2. Найдите приближённое значение следующих
выражений: а)
; б)
; в)
; г)
; д)
; е)
; ж)
;
з)
.
№3. Медный кубик, ребро которого 5 см, подвергся равномерной шлифовке со всех сторон. Зная, что масса его уменьшилась на 0,96 г, и считая плотность меди равной 8 г/см3, определите, на сколько уменьшились размеры куба, то есть насколько укоротилось его ребро.
Тема: Применение производной к исследованию функций
№1. Определите интервалы возрастания и убывания функции. Постройте эскиз графика.
а)
; б)
.
№2. Определите экстремум функции
и найдите
её наименьшее и наибольшее значение на отрезке [2; 5].
№3. Исследовать на экстремум по второй
производной функцию ![]()
№4. Доказать, что из всех прямоугольников, имеющих данный периметр 2p, наибольшую площадь имеет квадрат.
№5. Требуется изготовить коническую воронку с образующей l = 20 cм. Какой должна быть высота воронки, чтобы её объём был наибольшим?
№6. Дан квадратный лист жести со стороной
В
углах квадрата вырезают одинаковые квадраты и, загибая лист по
пунктирным линиям, делают коробку. При каких размерах квадратов
объём коробки будет наибольшим?
№7. Докажите, что
при
( с
использованием производной и без применения производной).
№8. Докажите тождество
при ![]()
№9. Найдите наклонные асимптоты графика функции
![]()
№10. Определите интервалы выпуклости,
вогнутости и точки перегиба графика функции ![]()
№11. Исследуйте функцию и постройте её график:
а)
б)
в)
г) ![]()
Литература
- Бохан К.А., Егорова И.А., Лащенов К.В. Курс математического анализа. Т.1, 2. - М.: “Просвещение”, 1972.
- Виленкин Н.Я., Ивашев-Мусатов О.С., Шварцбурд С.И. Алгебра и математический анализ для 10 класса. - М.: “Просвещение”, 1997.
- Давыдов Н.А., Коровкин П.П., Никольский В.Н. Сборник задач по математическому анализу. - М.: “Просвещение”, 1973.
- Демидович Б.П. Сборник задач и упражнений по математическому анализу. – М.: “Наука”, 1972.
- Колмогоров А.Н., Абрамов А.М. и др. Алгебра и начала анализа для 10-11 классов. - М.: “Просвещение”, 1999.
- Мордкович А.Г., Мухин А.Е. Сборник задач по введению в анализ и дифференциальному исчислению функций одной переменной. - М.: “Просвещение”, 1985.
- Фихтенгольц Г.М. Основы математического анализа. Т. 1, 2. – М.: “Наука”, 1968.