Эффективное решение квадратных уравнений
С квадратными уравнениями и их решениями мы встречаемся, начиная с 8-го класса, и работаем с ними на протяжении всего школьного курса математики 8-11 классов. Очень много времени тратится на решения квадратных уравнений, а ведь очень часто они являются лишь промежуточным этапом в решении более серьезного задания. Потребность в быстром решении также обусловлена применением тестовой системы вступительных экзаменов.
Для экономии времени при решении квадратных уравнений используем несколько способов: теорема Виета, "метод коэффициентов" и другие. Я хочу предложить вашему вниманию четыре группы квадратных уравнений и методы их эффективного решения, которые не входят в школьный курс математики. Они представлены во фрагменте урока "Устные методы решения квадратных уравнений".
Цель: научить учащихся, используя устные методы, эффективно решать квадратные уравнения.
Ход урока
Учитель предлагает учащимся с помощью формул корней квадратного уравнения решить уравнения (учащиеся самостоятельно в тетрадях решают уравнения, а учитель, спрашивая ответы учащихся, записывает их на доске).
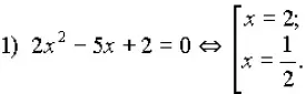
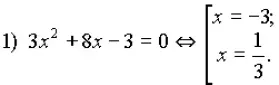
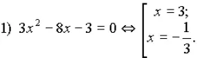
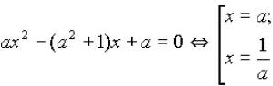
Группа А
Из этой серии квадратных уравнений нетрудно заметить и доказать (решая уравнение с помощью дискриминанта), что
.
Аналогично группе А, решаем уравнения и выводим формулы для групп В, С, D.
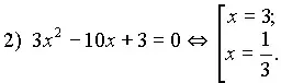
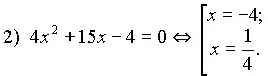
Группа В
Решите уравнения:
Из этой серии квадратных уравнений нетрудно заметить и доказать, что
.
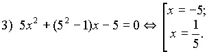
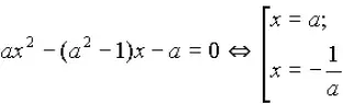
Группа С
Решите уравнения:
Из этой серии квадратных уравнений нетрудно заметить и доказать (решая уравнение с помощью дискриминанта), что
.
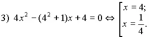
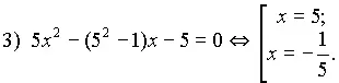
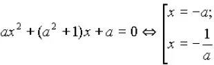
Группа D
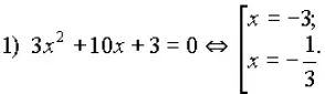
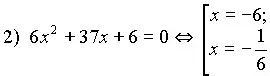
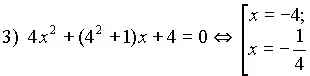
Решите уравнения:
Из этой серии квадратных уравнений нетрудно заметить и доказать (решая уравнение с помощью дискриминанта), что
.
После вывода этих формул для закрепления полученных знаний полезно на этом же уроке (можно устно) решить уравнения:
На заключительном этапе урока, для проверки усвоения методов решения квадратных уравнений можно использовать тесты.
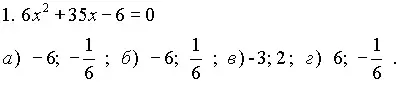
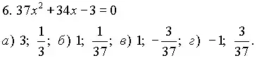
Вариант 1
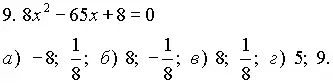
Решите уравнения:









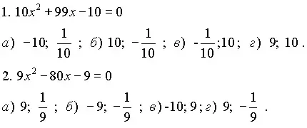
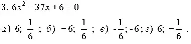
Вариант - 2
Решите уравнения:









Ответы на тест
| Номер задания | Вариант 1 | Вариант 2 |
| 1 | б | а |
| 2 | а | г |
| 3 | в | а |
| 4 | в | б |
| 5 | б | в |
| 6 | г | г |
| 7 | г | б |
| 8 | а | а |
| 9 | б | в |
| 10 | в | а |
Критерий выставления оценки:
- "5" - 10 верно выполненных заданий;
- "4" - 8-9 верно выполненных заданий;
- "3" - 6-7 верно выполненных заданий;
- "2" - 5 и менее 5 выполненных заданий.












