Математический бой по теме "Основные формулы тригонометрии". 10-й класс
Цели этого урока:
- Повторить основные формулы тригонометрии и рассмотреть примеры их применения;
- Повышать интерес учащихся к предмету;
- Воспитывать и развивать активность мышления, внимание навыки контроля и самоконтроля, умение грамотно излагать свои мысли и рассуждения, слушать ответы товарищей и ориентироваться во времени.
Организационный момент:
Из класса выделяются два человека, которые будут помогать оценивать команды, следить за их работой, правильностью выполнения заданий, оказывать помощь учителю.
Для учета ответов команд и отдельных учащихся выдаются карточки трех цветов (красные - 5 баллов, синие - 4 балла, желтые - 3 балла).
Класс делится на три команды с учетом их рассадки по рядам в кабинете, в каждой команде выбирается (или назначается) старший или капитан, который руководит очередностью ответов учащихся (участвовать должны все), предоставляет право исправить ответ товарища тому или иному члену команды, следит за порядком в команде.
Содержание "математического боя"
I. РАЗМИНКА.
1. Вычислите:

2. Следующие тригонометрические функции выразите через функции вдвое меньшего аргумента:

3. Следующие тригонометрические функции выразите через косинус вдвое большего аргумента:

4. Укажите область определения и множество значений для функций:

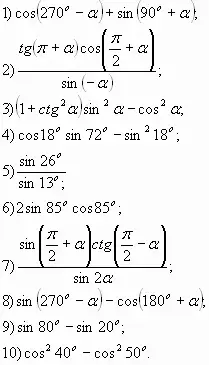
II. ЭСТАФЕТА КОМАНД.
На этом этапе каждой команде предлагается карточка с десятью упражнениями, которые они должны выполнить друг за другом у доски, причем строго соблюдая порядок следования в карточке.
Содержание карточек у всех команд одинаковое, только очередность изменена, поэтому соперники даже и не подозревают об этом и возможность списывания исключена, тем более что решения записываются на "крыльях" доски и проверенные задания сразу же стираются следующим участником эстафеты.

III. КОНКУРС "СИЛЬНЕЙШИХ".
Построить графики функций (по два графика для каждой команды):

IV. КОНКУРС "МУДРЕЙШИХ".
"Задача ал-Караджи":
Найти площадь прямоугольника, основание которого вдвое больше высоты, а площадь численно равна периметру.
V. ПОДВЕДЕНИЕ ИТОГОВ.
Ассистенты подводят итоги в личном зачете:
- Более трех красных карточек - "5";
- Более трех синих карточек - "4".
Затем подсчитываются карточки всех типов у каждой команды и выбирают команду-победительницу.