Урок по теме "Комбинаторные задачи"
13.01.2010
Цели:
- сравнить различные виды комбинаций в комбинаторике: размещения, перестановки, сочетания;
- повторить формулы для нахождения числа различных видов комбинаций: размещений, перестановок, сочетаний;
- научиться распознавать задачи на нахождение размещений, перестановок, сочетаний;
- решить простейшие комбинаторные задачи с помощью формул для нахождения числа размещений, перестановок, сочетаний.
Ход урока
1. Решим задачу:
“У вас есть 9 разных книг из серии “Занимательная математика”. Сколькими способами можно:
1) расставить их на полке;
2) подарить три из них победителям школьной олимпиады, занявшим
первые три призовых места;
3) выбрать три из них для подарка своему племяннику”
Для ответа на первый вопрос задачи вспомним:
| Вопросы учителя | Ответы учеников |
| 1. Как называются различные комбинации выстраивания нескольких предметов друг за другом? | – Перестановками |
| 2. Что называется перестановками из n элементов? | – Перестановками из n элементов называются комбинации из n элементов, отличающиеся друг от друга только порядком следования элементов |
| 3. Чем отличаются друг от друга две различные перестановки? | – Порядком следования элементов |
| 4. По какой формуле можно вычислить число всевозможных перестановок из n элементов? | – |
| 5. Рассчитаем число всевозможных перестановок из 9 книг на полке |
|
Для ответа на второй вопрос задачи вспомним:
| Вопросы учителя | Ответы учеников |
| 1. Как можно выбрать три книги из девяти для трех победителей? | – Произвольно, наборы из трех книг могут отличаться либо книгами, либо порядком их дарения |
| 2. Как можно назвать наборы из 9 книг по 3 в каждом? | – Размещениями из 9 книг по 3 |
| 3. Что называется размещениями из n элементов по k элементов? | – Размещениями из n элементов по k элементов – называются комбинации из n элементов по k каждой, отличающиеся друг от друга либо составом, либо порядком расположения элементов |
| 4. Чем отличаются друг от друга две различные комбинации-размещения? | – Порядком следования элементов
– Составом элементов |
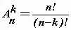
| 5. По какой формуле можно вычислить число всевозможных размещений из n элементов по k элементов? | – |
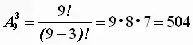
| 6. Рассчитаем число всевозможных размещений из 9 книг по 3 для победителей |
Для ответа на третий вопрос задачи подумаем:
| Вопросы учителя | Ответы учеников |
| 1. Важно ли для племянника в каком порядке располагаются книги в его подарочном наборе? | – Нет |
| 2. Как можно назвать комбинации из 9 книг по 3 в каждой? | -Сочетаниями из 9 книг по 3 |
| 3. Что называется сочетаниями из n элементов по k элементов? | – Сочетаниями из n элементов по k элементов – называются комбинации из n элементов по k каждой, отличающиеся друг от друга составом |
| 4. Чем отличаются друг от друга две различные комбинации-сочетания? | – Составом элементов |
| 5. По какой формуле можно вычислить число всевозможных сочетаний из n элементов по k элементов? | – |
| 6. Рассчитаем число всевозможных сочетаний из 9 книг на полке 3 для победителей |
2. Сделаем некоторые выводы из решения задачи:
| Вопросы учителя | Ответы учеников | ||||||||||||
| 1. В науке и практике часто встречаются задачи, решая которые приходится составлять различные комбинации из конечного числа элементов и подсчитывать число комбинаций. Такие задачи называются комбинаторными. Для нахождения комбинаций – размещений, перестановок и сочетаний и их числа существуют специальные способы. Назовите признаки, по которым можно отличить друг от друга эти комбинации? | – Порядок следования элементов
– Состав элементов |
||||||||||||
| 2. Зафиксируем наличие перечисленных признаков в обобщающую таблицу: |
|
Среди перечисленных ниже задач выделить те, в которых требуется найти
а) размещения;
б) перестановки;
в) сочетания.
Номера выбранных задач и способ нахождения числа комбинаций записать в таблицу:
| Вопросы | |||
| Формула | |||
| № задач |
Задачи:
- Сколько разных двузначных чисел можно составить из цифр 1, 2, 3, 4, 5, 6, 7, 8, если цифры в записи числа используются только один раз?
- Сколько существует четырёхзначных чисел, в записи которых участвуют лишь цифры 1, 2, 3, 4, 5, причём цифры в записи числа не повторяются?
- Сколькими способами можно составить четырёхцветный флаг из горизонтальных полос одинаковой ширины, имея четыре различных цвета?
- Сколькими способами можно выбрать шесть делегатов на конференцию из 150 человек?
- В полуфинале по шахматам участвуют 20 шахматистов, а в финал попадут только трое. Сколькими способами может образоваться финальная тройка?
- Сколькими способами можно разместить на полке 5 книг?
- Сколькими способами можно обозначить вершины треугольника, используя буквы A, B, C, D, E ?
- На тренировке 12 баскетболистов. Сколько разных пятёрок может составить тренер?
- Сколько разных шестерок может составить тренер из 10 волейболистов?
- Сколькими способами можно расставить на шахматной доске 8 ладей так, чтобы они не “били” друг друга?
- Сколькими способами можно премировать одинаковыми призами троих человек из семи участников?
- Сколькими способами можно составить флаг из четырёх горизонтальных полос различных цветов, если имеется материал различных цветов?
- В отряде 12 человек. Надо выбрать старосту и двух заместителей. Сколькими способами это можно сделать?
- Сколькими способами можно разместить шесть человек за столом, на котором поставлено шесть приборов?
- Сколько аккордов, содержащих три звука, можно взять на 12 клавишах одной октавы?
- Курьер должен разнести пакеты в семь различных учреждений. Сколько маршрутов он может выбрать?
- Сколько шестизначных чисел (без повторения цифр) можно составить из цифр: а) 1, 2, 5, 6, 7, 8? б) 0, 2, 5, 6, 7, 8?
- Сколькими способами может разместиться семья из трех человек в четырехместном купе, если других пассажиров в купе нет?
4. Решить предложенные выше задачи, используя соответствующие формулы
5. Домашнее задание
Решить №№ 12–18.
Литература:
- Бунимович Е.А., Булычев В.А. Вероятность и статистика а курсе математики общеобразовательной школы. Лекции 1-4. М., “Педагогический университет “Первое сентября”, 2006, 128 с.
- Бунимович Е.А., Булычев В.А. Вероятность и статистика а курсе математики общеобразовательной школы. Лекции 5-81-4. М., “Педагогический университет “Первое сентября”, 2006, 116 с.
- Макарычев Ю.Ш., Миндюк Н.Г. Алгебра. Элементы статистики и теории вероятностей. 7-9 классы. Учебное пособие для общеобразовательных учреждений. М.: “Просвещение”, 2008, 78с.
- Смыкалова Е.В. Дополнительные главы по математике для учащихся 7 класса. Санкт-Петербург, СМИО Пресс, 2008, 64с.
поделиться
aid: 561196