Игровые технологии на уроках математики: математические лабиринты
Следуя К.Д. Ушинскому, “сделать учебную работу насколько возможно интересной для ребенка и не превратить этой работы в забаву - это одна из труднейших и важнейших задач дидактики”.
Увеличение умственной нагрузки на уроках математики заставляет задуматься над тем, как поддержать у учащихся интерес к изучаемому материалу, их активность на протяжении всего урока. Возникновение интереса к математике у значительного числа учащихся зависит в большей степени от методики ее преподавания, от того, насколько умело
построена учебная работа. Немаловажная роль здесь отводится игровым технологиям, представляющим собой систему применения различных дидактических игр в обучении, формирующим умение решать задачи на основе компетентного выбора альтернативных вариантов. Игровая технология обеспечивает достижение единства эмоционального и рационального в обучении. В процессе игровой технологии ученик сталкивается с ситуациями выбора, в которых он проявляет индивидуальность, свободу в выборе заданий, содержания и организационных форм деятельности. Включение в урок дидактических игр и игровых моментов делает процесс обучения интересным и занимательным, создает у детей бодрое рабочее настроение, облегчает преодоление трудностей в усвоении учебного материала. Дидактическая игра - не самоцель на уроке, а средство обучения и воспитания.
Мною разработаны математические лабиринты по различным темам школьного курса математики 5–11 классов.
Математические лабиринты.
“Лабиринт” - это несколько заданий, соединенных таким образом, что ответ одного задания служит номером другого. Выполнив одно задание, следует перейти к другому, и так до тех пор, пока ответ задания не совпадет с его номером.
Основная цель игры – проверить умения и навыки учащихся по данной теме. Поэтому игра начинается за 15–20 минут до конца урока. Лабиринт рассчитан на самостоятельное решение заданий. В результате решения получается цепочка чисел, по которой, как по ориентиру, ученик выходит из лабиринта. Перечень таких цепочек –чисел для каждого варианта должен быть записан у учителя. Это позволит следить за успешностью прохождения лабиринта отдельными учащимися или командой.
а) Математический лабиринт по теме: “Решение уравнений”, 5–6 класс.
Учащиеся получают бланк с заданием.
Вход в лабиринт: для I варианта с № 1, для II варианта с № 2.
Выход из лабиринта: полученный ответ совпадает с номером задания.
№ 1. Решите уравнение: 25 (у + 56) = 1625
№ 2. Решите уравнение: 28 - t + 35 = 53
№ 3. При каком значении переменной х 8х в 11 раз меньше, чем 264?
№ 4. При каком значении переменной а сумма а и 408 больше числа 312 на 104?
№ 5. При каком значении переменной m 360 в 12 раз больше 6 m?
№ 6. При каком значении переменной у число 661 меньше разности 800 и у на 132?
№ 7. Решите уравнение: 13х + 15х - 24 = 60
№ 8. Решите уравнение: (16х + 3х - х) : 15 = 6
№ 9. Решите уравнение: 528 : а - 24 = 64
№ 10. Решите уравнение: (3722 + р) : 54 = 69
Ключ к лабиринту:
I вариант: 1 —> 9 —> 6 —> 7 —> 3
II вариант: 2 —> 10 —> 4 —> 8 —> 5
б) Математический лабиринт по теме: “Решение уравнений”, 7 класс.
Учащиеся получают бланк с заданием:
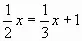
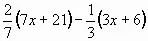
№ 1. 4 (1 – 0,5а) = -2 (2а – 3)
№ 2. 4 (3 - х) – 11 = 7 (2х – 5)
№ 3. –5 (0,8 а + 1,2) = -а – 18
№ 4. 4 (3х – 8) = 3 (5 – х) + 13
№.5 ![]()
№ 6 ![]()
№ 7 -3,2 в + 2,4 = -2 (1,2в + 2,4)
№ 8
= 9
№ 9. 1,2 (3х + 5) = 2 (2,4 х – 3,6)
№ 10. 0,3 (5х – 7) = 3 (0,2х + 3,2)
№ 11. 0,5у – 0,6 = 0,1у + 0,2
№ 12. –3 (2,1х – 4) – 4,2 = 1,2 (-5х + 0,5)
№ 13. ![]()
Класс делится на 3 команды (или 3 варианта). Номер первого уравнения, которое надо решить, указывает учитель.
Вход в лабиринт:
I команда начинает с уравнения № 8
II команда начинает с уравнения № 7
III команда начинает с уравнения № 10
Выход из лабиринта: полученный ответ совпадает с номером задания.
Ключ к лабиринту:
I команда: 8 —> 5 —> 3 —> 4
II команда: 7 —> 9 —> 11 —> 2
III команда: 10 —>13 —> 6 —>1
Побеждает та команда, которая первая пройдет лабиринт.
в) Математический лабиринт по теме: “Геометрическая прогрессия”, 9 класс.
Вход в лабиринт:
I вариант начинает с № 4
II вариант с № 10
Выход из лабиринта: полученный ответ совпадает с номером задания.
№ 1. (в
) – геометрическая прогрессия, все члены которой
положительны.
в
=
;
. Найдите в![]()
№ 2. (вп) - бесконечная геометрическая
прогрессия. q =
, S = ![]()
![]()
Найдите в1
№ 3. (хп) - геометрическая прогрессия: 64; 32; …
Найдите х7 .
№ 4. Найдите первый член геометрической прогрессии (вп), если в4 = - 56, q = - 2.
№ 5. (в
) – геометрическая прогрессия. в4
– в2 = 48, в5 –
в3 = 144.
Найдите q.
№ 6. При каком положительном значении х последовательность х - 3,5 ; х + 4 ; 6х + 4 является геометрической прогрессией?
№ 7. (хп) - геометрическая прогрессия
S4 = ![]()
, q =
. Найти х1 .
№ 8. (хп) - геометрическая прогрессия, первый член которой положителен. х2 = - 10; х4 = - 0,4. Найдите х3.
№ 9. Найдите четвертый член геометрической прогрессии -![]()
№ 10. (вп) - бесконечная геометрическая
прогрессия. q =
; в1 = 2. Найдите сумму S.
Ключ к лабиринту:
I вариант: 4 —> 7 —> 5 —> 3 —> 1
IIвариант: 10 —> 8 —> 2 —> 9 —> 6
г) Математический лабиринт по теме: “Свойства тригонометрических функций. Основные тригонометрические тождества”. 9–10 класс.
Вход в лабиринт:
I вариант: с № 9 (для слабых учащихся)
II вариант: с № 5
Выход из лабиринта: полученный ответ совпадает с номером задания.
№ 1. Найти значение выражения: 
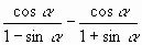
№ 2. Упростите и найдите значение выражения при a =П/ 4
![]()
№ 3. Упростите и найдите значение выражения при a = - 7П / 3
![]()
№ 4. Найдите наибольшее значение выражения ![]()
№ 5. Вычислите: 3 sin2,5П + 8 cos2П / 6 + 2sin(- 25П / 6)
№ 6. Найдите наибольшее значение выражения: cos2a tg2a + 7cos2a
№ 7. Зная, что tga + ctga = 3, найдите tg2a + ctg2a .
№ 8. Известно, что tga = -5 / 1 2 , П / 2 < a < П . Чему равно значение выражения 13sina - 2 ?
№ 9. Найдите значение выражения: ![]()
№ 10. Известно, что sina = 0,6, 900< a < 1800. Чему равно значение выражения -5cosa ?
Ключ к лабиринту:
I вариант: 9 —> 1 —> 10 —> 4 —> 2
II вариант: 5 —> 8 —> 3 —> 6 —> 7
д) Математический лабиринт по теме: “ Решение тригонометрических уравнений”. 10 класс.
Вход в лабиринт:
I вариант - с № 1
II вариант - с № 4
Правило: код полученного ответа указывает номер следующего задания.
Выход из лабиринта: код ответа совпадает с номером задания.
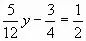
№ 1. Решите уравнение: sin( х -6П ) + cos(9 П / 2 - 5 x) = 0
№ 2. Решите уравнение: 5sin x/ 6 - cos x/ 3 + 3 = 0
№ 3. Решите уравнение: cos(2x + П / 3 ) + 4sin(x+П / 6 ) = 2,5
№ 4. Решите уравнение: (cos4x – sin4x)2 = sin22x
№ 5. Решите уравнение: sin6x + sin4x cos2x = sin3x cos3x + sinx cos5x
№ 6. Решите уравнение: sin2x -
sin2x =
![]()
№ 7. Найдите наименьший положительный корень уравнения:
cos22x + cos2x + cos23x + cos24x = 2
№ 8. Решите уравнение: ![]()
№ 9. Найдите наибольший отрицательный корень уравнения: sin2x + sin22x = sin23x
№ 10. Решите систему уравнений: ![]()
![]()

III вариант: начинать с № 3 (для слабых учащихся)
- Решите уравнение: 2cos2x/ 3 + 3sinx/ 3 = 0
- Решите уравнение: cos2x – 7sin2x = 3sin2x
- Решите уравнение: sin2x =
sinx - Решите уравнение: sin3x + sin5x = 0
- Решите уравнение: cos2x = 3 + 7cosx
| Код | Ответы | |
| А | Б | |
| 1 | Пn/ 4 ; П / 2 + Пk | (-1)k+1П / 2 + 3Пk |
| 2 | П / 8 + Пn/ 4 | ± 2П/ 3 + 2Пn |
| 3 | П n/ 3; П / 4 + П k/ 2 | - П/ 4 |
| 4 | П / 3 | - П / 4 + Пn; arctg1/ 7 + Пk |
| 5 | (-1)kП / 6 - П / 6 + Пk | ± П / 4 + 2Пk; Пn |
| 6 | (-1)k+1П + 6Пk | (П / 3 + 2Пn; П / 3 - 2Пn) |
| 7 | Пn; П / 4 + Пk | ± 3П / 4 + 2Пk |
| 8 | -П / 6 | П / 3 + 2П k |
| 9 | -П / 6 + Пn; П / 3 + Пk | П / 6 + Пn; Пn/ 3 |
| 10 | П / 10 | (П / 6 + 2Пn; П / 6 - 2Пn) |
Ключ к лабиринту:
I вариант: 1 —> 3 —> 5 —> 7 —> 10
II вариант: 4 —> 2 —> 6 —> 9 —> 8
III вариант: 3 —> 5 —> 2 —> 4 —> 1