Метод неопределенных коэффициентов и его универсальность
Применение метода неопределённых коэффициентов основано на следующих двух теоремах.
Теорема №1 (о многочлене, тождественно равном нулю).
Если при произвольных значениях аргумента x значение многочлена f(x) = а0+ а1х + а2х2 +...+ а nxn, заданного в стандартном виде, равно нулю, то все его коэффициенты а0, а1, а2, ..., аn равны нулю.
Теорема №2 (следствие теоремы № 1).
Пусть и f(x) = а0+а1х +...+ а nxn, и g (x)= b 0+ b
1х + b 2х2 +...+ bnxn.
Для того чтобы f(x)= g(x)необходимо и достаточно, что бы а0= b0, а1 = b1, а2 = b
2 , ..., а n= bn
Рассмотрим примеры, иллюстрирующие использование метода неопределенных коэффициентов.
Деление многочлена на многочлен.
Пример 1. Выполнить деление многочлена х5 - 6х3 + 2х2 -4 на многочлен х2 - х + 1.
Решение: Надо найти такие многочлены Q(x) и R(x), что х5 - 6х3 + 2х2 -4 = (х2 - х + 1) Q(x) + R(x), причём степень многочлена R(x) меньше степени многочлена (х2 - х + 1). Из того, что степень произведения многочленов равна сумме их степеней, следует, что степень многочлена Q(x) равна 5 - 2 = 3.
Многочлены Q(x) и R(x) имеют вид:
Q(x) = q 3x3 + q 2x2 + q 1x + q0,
R(x) = r 1x + r0.
Подставим Q(x) и R(x): х5 - 6х3 + 2х2 -4 = (х2 - х + 1)( q 3x3 + q 2x2 + q 1x + q0) + r
1x + r0.
Раскроем скобки в правой части равенства:
х5 - 6х3 + 2х2 -4 =
= q 3x 5 + q 2x4 + q 1x3 + q 0x2 - q 3x4 - q 2x3 - q
1x2 -q 0 x + q 3x3 + q 2x2 + q 1x + q 0 + r 1x + r0 =
= q 3x 5 + (q2 - q3) x4 + (q1 - q 2 + q3) x3 + (q0 - q 1 + q2)
x2 + (q1 - q0 +r1) x + q0 +r0.
Для отыскания неизвестных коэффициентов получаем систему уравнений:

q0 +r0. = - 4, решая которую, получаем q3 =1, q2 =1, q1 =-6, q0 =-5, r1 = 1, r0 = 1.
Ответ: Q(x) = x3 + x2 - 6x - 5, R(x) = x + 1.
Пример 2. Выполнить деление многочлена х7 -1 на многочлен х3 + х + 1.
Решение: Надо найти такие многочлены Q(x) и R(x), что х7 -1 = (х3 + х + 1) Q(x) + R(x), причём степень многочлена R(x) меньше степени многочлена (х3 + х + 1).
Из того, что степень произведения многочленов равна сумме их степеней, следует, что степень многочлена Q(x) равна 7- 3 = 4.
Многочлены Q(x) и R(x) имеют вид: Q(x) = q 4x4 + q 3x3 + q 2x2 + q 1x + q0,
R(x) = r 2x2 + r 1x + r0.
Подставим Q(x) и R(x):
х7 -1 = (х3 + х + 1) (q 4x4 + q 3x3 + q 2x2 + q 1x + q0 ) + ( r 2x2 + r 1x + r0 ).
Раскроем скобки в правой части равенства:
х7 -1= q 4x 7 + q 3x6 + q 2x5 + q 1x4 + q 0x 3 + q
4x5 + q 3x4 + q 2x3 + q 1x2 + q 0 x + q 4x4 + q 3x3 + q
2x2 +q 1x + q 0 + r 2x2 +r 1x + r0.
х7 -1= q 4x 7 + q 3x6+(q2 + q4) x5+(q1+ q3) x4+(q0 + q 2
+ q3) x3+(q1 + q2 +r2) x2 +(q0 +r1) x+( q0 +r0).
Получаем систему уравнений:

их которой получаем: q4=1, q3 = 0, q2= -1, q1 = -1, q0 =1, r2 = 2, r1 =0 , r0 = -2.
Ответ: Q(x) = x4 - x2 - x + 1, R(x) = 2x2 - 2.
Расположение многочлена по степеням.
Возьмем функцию
Поставим перед собой задачу «расположить многочлен по степеням f(x) по степеням
(х-х0).
![]()
Задача сводится к нахождению неизвестных коэффициентов а0, а1, ..., аn. В каждом конкретном случае эти числа найти легко. Действительно, расположим многочлены, находящиеся в левой и правой частях равенства, по степеням x. Так как мы имеем тождество, то (по теореме № 2) коэффициенты при одинаковых степенях x должны быть равны между собой. Приравняв коэффициенты правой части соответствующим заданным коэффициентам левой, мы придем к системе n+1 уравнений с n+1 неизвестными а0, а1, ..., аn , которую нужно решить.
Пример 3. Расположим многочлен
по степеням.
Решение. Полагаем:

Приравниваем коэффициенты при одинаковых степенях и получаем систему:

Решая систему, находим: ![]()
Ответ:
.
Пример 4. Расположим f(x) = х4 - 8х3 + 24х2 - 50х + 90 по степеням (х-2).
Решение: Полагаем х4 - 8х3 + 24х2 - 50х + 90
Ответ: f(x) = ![]()
Представление произведения в виде многочлена стандартного вида.
Пример 5. Не выполняя действий, представим в виде многочлена стандартного вида произведение (х - 1)(х + 3)(х + 5).Решение: Произведение есть многочлен третьей степени, коэффициент при старшем члене равен 1, а свободный член равен (- 15), тогда запишем:
(х - 1)(х + 3)(х + 5) = х3 + ах2 + вх - 15, где а и в - неизвестные коэффициенты.
Для вычисления их положим х = 1 и х = - 3, тогда получим:
откуда а =7, в = 7.
Ответ: х3 +7х2 + 7х - 15.
Разложение многочлена на множителиПример 6. Дан многочлен ![]()
Разложим его на множители, если известно, сто все его корни - целые числа.
Решение: Будем искать разложение в виде:![]()
полагая числа a, b, c и d его корнями. Раскроем скобки в правой части и сгруппируем по одинаковым степеням.


Проведя испытания, установим, что корни нашего многочлена -2, -5, 1 и 3. Следовательно х4+ 3х3 - 15х2 - 19х + 30 = (х - 1)(х - 3)(х + 2)(х + 5)
Ответ: (х - 1)(х - 3)(х + 2)(х + 5)
Пример 7. Дан многочленРазложим его на множители, если известно, сто все его корни - целые числа.
Решение: Будем искать разложение в виде:
полагая числа a, b, c и d его корнями. Раскроем скобки в правой части и сгруппируем по одинаковым степеням.
Приравниваем коэффициенты при одинаковых степенях.
Так как корни нашего многочлена - целые, то из последнего уравнения системы заключаем, что они должны быть делителями числа 84. Следовательно, их следует искать среди чисел
![]()
Проведя испытания, установим, что корни нашего многочлена -7,-2,2,3. Следовательно х4+ 4х3 - 25х2 - 16х + 84 = (х - 2)(х - 3)(х + 2)(х + 7)
Ответ: (х - 2)(х - 3)(х +2)(х + 7)
Упрощение выражений
Пример 8. РазностьРешение: Так как, ![]()
Тогда ![]()
Тогда 
Значит
так как ![]()
Следовательно ![]()
Ответ: -10
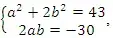
Пример 9. Является ли разностьРешение: Т.к. ![]()
тогда -
Положим
где a и b - неизвестные коэффициенты.
Тогда
откуда ![]()

b2 = 12,5 - - не удовлетворяет условию задачи, или b2 = 9, откуда b = -3 или b = 3 - не удовлетворяет числу
Значит, а = 5.
![]()
![]()
Аналогично, ![]()
Окончательно получаем:
- иррациональное число.
Ответ: нет.
Уничтожение иррациональности в знаменателе
Пример 10. Избавимся от иррациональности в знаменателе:Решение: ![]()
отсюда ![]()


с = 4;
b - 4 = 1;
-а + 15 - 8 = 0;
b = 5;
а = 7
Ответ: ![]()
Решение:
,
Раскроем скобки, сгруппируем ![]()
Итак ![]()
Следовательно ![]()
Ответ: ![]()
Применение метода неопределенных коэффициентов при решении уравнений
Пример 12. Решим уравнение х4 + х3 - 4х2 - 9х - 3 = 0.Решение: Предположим, что корни уравнения - целые числа, тогда их надо искать среди чисел ![]()
если х = -1, то
если х = 3, то
если х = -3, то
Отсюда делаем вывод, что рациональных корней наше уравнение не имеет.
Попробуем разложить многочлен
на множители в следующем виде:
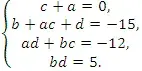
, где a, b, c и d - целые. Раскроем скобки:




а = -2, с =3

Решение: Разложим многочлен f(х) = х4 - 15х2 + 12х + 5 на множители в следующем виде:
, где a, b, c и d -целые. Раскроем скобки: 


Итак, ![]()
D =13
D = 29

Ответ: ![]()
Пусть дано кубическое уравнение: а 1 х3 + b 1х2 +с 1х +d1 = 0, где а ≠ 0.
Приведём его к виду х3 + ах2 +bх + с = 0 (1), где а =
, в =
, с =
Положим в уравнении (1) х = у + m. Тогда получим уравнение:
Раскроем скобки, сгруппируем: y3+3у2m + 3ym2 + m3 + ay2+ 2aym +am2 + by +bm + с = 0,
y3 + y2(a +3m) +y(3m2 +2am +b) + m3 +am2 +bm + с = 0.

Решения этой системы: m = -
; a2 = 3b. Таким образом, при произвольном с и при
a2 = 3b уравнение подстановкой х = у -
можно привести к двучленному уравнению третьей
степени.
Решение: В данном уравнении а = 3, в =3, тогда условие a2 = 3b выполняется, а m = -
= -1. Выполним подстановку х = у -1.
Уравнение принимает вид: (у -1)3 +3(у -1)2 +3(у -1) - 9 = 0.
y3 -3y2 +3у -1 +3у2 - 6у +3 +3у -3 - 9 = 0.
y3 - 10 = 0, откуда у =
, а х =
-
1.
Ответ:
- 1.
Решение: а = 6, в =12, тогда условие a2 = 3b (62 = 3×12) выполняется, а m = -
= -2.
у3 - 6у2 + 12у - 8 + 6у2 -24у + 24 + 12у - 24 + 5 = 0.
у3 - 3 = 0, у =
, а х =
- 2.
Ответ:
- 2.