Квадратные уравнения (способы решения)
Необходимость решать уравнения не только первой, но и второй степени ещё в древности была вызвана потребностью решать задачи, связанные с нахождением площадей земельных участков и с земляными работами военного характера, а также с развитием астрономии и самой математики.
Квадратные уравнения умели решать около 2000 лет до нашей эры в Вавилоне. Применяя современную алгебраическую запись, можно сказать, что в их книгописных текстах встречаются, кроме неполных, и такие, как полные квадратные уравнения.
Определение
Уравнение вида ax2 + bx + c = 0, где a, b, c - действительные числа, причем a ≠ 0, называют квадратным уравнением.
Если a = 1 , то квадратное уравнение называют приведенным; если a ≠ 1, то неприведенным .
Числа a, b, c носят следующие названия: a - первый коэффициент, b - второй коэффициент, c - свободный член.
| Корни уравнения ax2 + bx + c = 0 находят по формуле | ![]() |
Выражение D = b2- 4ac называют дискриминантом квадратного уравнения.
- если D < 0, то уравнение не имеет действительных корней;
- если D = 0, то уравнение имеет один действительный корень;
- если D > 0, то уравнение имеет два действительных корня.
В случае, когда D = 0, иногда говорят, что квадратное уравнение имеет два одинаковых корня.
Формулы

Полное квадратное уравнение

Неполные квадратные уравнения
Если в квадратном уравнении ax2 + bx + c = 0 второй коэффициент b или свободный член c равен нулю, то квадратное уравнение называется неполным.
Неполные уравнения выделяют потому, что для отыскания их корней можно не пользоваться формулой корней квадратного уравнения - проще решить уравнение методом разложения его левой части на множители.
Способы решения неполных квадратных уравнений:
- c = 0, то уравнение примет вид
ax2 + bx = 0.
x(ax + b) = 0 ,
x = 0 или ax + b = 0, x = -b : a. - b = 0, то уравнение примет вид
ax2 + c = 0,
x2 = -c / a,
x1, 2 = ±√(-c / a). - b = 0 и c = 0 , то уравнение примет вид
ax2 = 0,
x = 0
Решение неполного квадратного уравнения

Квадратные уравнения с комплексными переменными
Сначала рассмотрим простейшее квадратное уравнение z2 = a, где a-заданное число, а z-неизвестное. На множестве действительных чисел это уравнение:
- имеет один корень z = 0, если а = 0;
- имеет два действительных корня z1, 2 = ±√a
- Не имеет действительных корней, если a < 0

Решение квадратных уравнений с помощью графиков
Не используя формул квадратное уравнение можно решить графическим способом. Например x2 + x + 1 = 0.
Решим уравнение. Для этого построим два графика y = x2; y = x + 1.
y = x2, квадратичная функция, график парабола.
y = x + 1, линейная функция, график прямая.

Графики пересекаются в двух точках, уравнение имеет два корня.
Ответ: x ≈ -0,6; x ≈ 2,6.
Решение задач с помощью квадратных уравнений
| Процессы | Скорость км/ч | Время ч. | Расстояние км. |
|---|---|---|---|
| Вверх по реке | 10 - x | 35 / (10 - x) | 35 |
| Вверх по протоку | 10 - x + 1 | 18 / (10 - x + 1) | 18 |
| V течения | x | ||
| V притока | x + 1 |
Зная, что скорость в стоячей воде равна 10 км/ч, составим уравнение.
ОДЗ: ∀ x ≠ 9, 10.

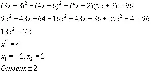
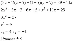
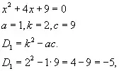
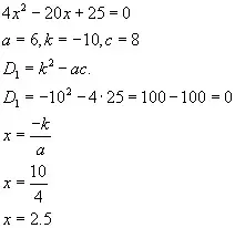
Практикум
т.к. D1 < 0, то корней нет.
Ответ: корней нет.
Ответ: x = 2,5.
Заключение
Ещё в древности люди пользовались ими не зная, что это - квадратные уравнения.
В наше время невозможно представить себе решение как простейших, так и сложных задач не только в математике, но и в других точных науках, без применения решения квадратных уравнений.
Надеюсь и вы открыли для себя что-нибудь новое
