Урок алгебры в 8-м классе на тему "Иррациональные уравнения"
Цель:
- Обобщение и систематизация способов решения иррациональных уравнений.
- Решение более сложных типов иррациональных уравнений и уравнения с параметром.
Оборудование:
- компьютер,
- мультимедийный проектор,
- экран.
Ход урока
На предыдущем уроке вы рассмотрели решение некоторых иррациональных уравнений.
А сегодня мы научимся решать более сложные иррациональные уравнения.
Проведем устную работу. Приложение1.ppt
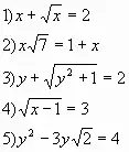
1) Какие из следующих уравнений являются иррациональными:

2) Является ли число корнем уравнения

3) Назовите корни уравнений:

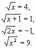
4) Возведите в квадрат выражение:

5) Решите приведенные квадратные уравнения методом подбора корней:

Вывод: Итак, мы повторили, какие уравнения являются иррациональными, научились проверять корни уравнений, устно решали простейшие иррациональные уравнения, повторили материал, который нам пригодится сегодня на уроке.
Какие из предложенных иррациональных уравнений вы умеете решать?

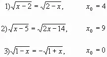
Задание по рядам. Трое разбирают уравнения на доске уравнения (1-3).
Ребята, а вы знаете, что возведение в квадрат не является равносильным преобразованием. Поэтому необходима проверка корней, что отсеивает посторонние корни.
Золотое правило решения иррациональных уравнений.
1) Возвести обе части в квадрат.
2) Решить полученное рациональное уравнение.
3) Обязательно сделать проверку, отсекая возможные посторонние корни.
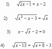
А сейчас рассмотрим 4 уравнение. Как его можно решать?
Воспользуемся золотым правилом.
На слайде вы видите иррациональные уравнения, которые предлагались на ЕГЭ по математике в разные годы. Умеете ли вы их решать? Объясните шаги решений этих уравнений.

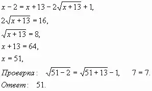
Разбор задания №1028(в) из учебника.
Как называется знак корня в математике?
Радикал от латинского слова. Радикс - корень. В математике означает извлечение корня.
Вы изучаете такие дисциплины, как обществознание, история, там встречаются словосочетания "радикальные изменения", что означает коренные изменения.
Перейдем к цветным заданиям. Приложение2.ppt
- Легкое задание - на зеленой дорожке.
- Средней сложности - на желтой дорожке.
- Более сложное задание - на красной дорожке.
Каждый может выбрать себе задание по свом способностям.
Они составлены в виде тестов ЕГЭ.
![]()
![]()
![]()
![]()
![]()
![]()
![]()
![]()
![]()
![]()
![]()
![]()
![]()
![]()
![]()
Решения задания зеленой дорожки.

Решения задания желтой дорожки.

Решения задания красной дорожки
![]()
![]()

Взаимопроверка по готовым ответам. Разбор заданий по готовым решениям.
Те, кто справился с заданием, выбрал правильную траекторию своей деятельности. У вас ребята была правильная самооценка. Молодцы!
У кого были затруднения, стоит еще поработать дома самостоятельно и у вас всё получится!
Домашнее задание: №1028(б, г), №1029(б ,г).
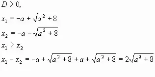
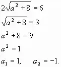
У нас осталось немного времени, и хочу вам предложить очень интересную задачу.
При каких
разность корней уравнения
равна 6?
Разбор решения:
![]()



Спасибо за урок! За совместную работу!