Преподавание математики. 8-й класс. Тема: "Решение дробно-рациональных уравнений" (методика взаимообмена заданиями)
Цели и задачи:
- учить распознавать дробно-рациональные уравнения;
- создать условия для закрепления учащимися основных этапов решения дробно-рациональных уравнений;
- развивать внимание (концентрацию);
- развивать личностные качества (целеустремленность, через потребности ставить перед собой цели и достигать их; настойчивость, через формирование способности к преодолению трудностей; чувства собственного достоинства, через формирование адекватной самооценки у учащихся);
- формировать мотивы учения через формирование мотивов самосовершенствования и формирование мотивов деятельности (создание ситуации успеха).
Организация работы
I. Подготовительный этап
Класс разбивается на 2 группы по 8 человек (1 группа - базовый уровень усвоения, 2 группа - повышенный уровень усвоения). Каждой группе дается по 2 комплекта карточек одного варианта (с различными цветовыми сигналами: красный, синий, желтый, зеленый). Каждая карточка имеет 2 задания.
Перед проведением урока учитель выбирает 4 сильных учеников, которые будут консультировать на уроке. Им предлагается решить каждому по 2 карточки (базового и повышенного уровня одного цвета). Затем им так же выдаются карточки повышенного уровня усвоения.
II. Основной этап
1. Организационный момент.
2. Учитель сообщает, чему будет посвящен урок, его цель и объясняет алгоритм работы.
Алгоритм работы
- Получив карточку, запишите в тетради ее цветовой сигнал и приступайте к выполнению задания 1.
- Если возникает вопрос, то подойдите к учителю или консультанту.
- Выполнив задание 1, подойдите к консультанту (первичный контроль).
- Приступайте к заданию 2.
- По окончании работы с карточкой отчитайтесь перед консультантом, который делает соответствующие пометки в листе учета.
- По маршруту ищите партнера для дальнейшей работы.
- Поменяйтесь сразу карточками, приступайте к выполнению задания по алгоритму, начиная с п.2. Обратите внимание: тот ученик, у которого берется карточка, является консультантом и проверяющим.
- Работа выполняется, пока каждый не выполнит все 4 карточки с различными цветовыми сигналами.
- Если перед обменом карточками партнер еще не готов меняться, то вы можете выполнить дополнительные задания.
- Выходной контроль:
а) Самостоятельная работа на 10 минут с аналогичными заданиями (на 2 варианта).
б) Сдаются тетради на проверку. - Подведение итогов.
Оценка складывается из:
- работы по карточкам (лист учета);
- самостоятельной работы;
- проверки тетрадей.
Оценка будет оглашена на следующем уроке.
- Задание на дом.
Листок учета
|
Кто проверил |
||||
| Отметка о выполнении |
1. |
1. |
1. |
1. |
|
2. |
2. |
2. |
2. |
Маршрут движения

СОДЕРЖАНИЕ
| 1 вариант | 2 вариант |
| базовый уровень усвоения | повышенный уровень |
Красная карточка
Найдите корни уравнения:

Цель: проконтролировать умения учащихся решать дробно-рациональные уравнения с одинаковыми знаменателями; с одинаковыми знаменателями, но с разными знаками; с разными знаменателями.
Зеленая карточка
Решите уравнения:

Цель: проконтролировать умение учащихся решать дробно-рациональные уравнения с разными знаменателями, не требующими разложения на множители.
Синяя карточка
Найдите корни уравнения:

Цель: проконтролировать умение учащихся решать дробно-рациональные уравнения с разными знаменателями, требующими разложения на множители.
Желтая карточка

Цель: учить составлять уравнение согласно условию задания; проконтролировать умения учащихся решать дробно-рациональные уравнения с разными знаменателями.
ДОПОЛНИТЕЛЬНЫЕ ЗАДАНИЯ
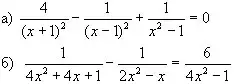
1. Решите уравнения:

б). ![]()
Цель: проконтролировать умения учащихся решать дробно-рациональные уравнения с разными знаменателями, требующими разложения на множители.
2. Найдите значения переменной у при которых сумма дробей
равна их частному.
3. Найдите координаты точек пересечения с осью Ох графика функции, заданной формулой
.
Цель: проконтролировать умения учащихся составлять дробно-рациональные уравнения согласно тексту задания и умение его решать.
САМОСТОЯТЕЛЬНАЯ РАБОТА
Цель: проверить умения учащихся решать дробно-рациональные уравнения
|
1 вариант |
2 вариант |
|
Решите уравнения: |
|
![]() |
![]() |
ДОМАШНЕЕ ЗАДАНИЕ
- № 595 (г)
- № 598 (г)
- № 679 (в)
Цель: закрепление умения решать дробно-рациональные уравнения.
Приложение: решения карточек и самостоятельной работы.

