Урок по теме "Преобразование тригонометрических выражений"

15.02.2005

Тип урока: игра - лабиринт.

Цели и задачи.

  1. Воспитывать у учащихся сознательную дисциплину, умение работать в группе, умение отстаивать своё мнение, воспитывать чувство сопереживания и формировать у учащихся “здоровое ”соперничество, формировать интерес к математике.
  2. Развивать аналитическое мышление, произвольное внимание, память через постоянное обращение заданий к имеющимся знаниям учащихся, настойчивость, умение доводить начатое дело до конца.
  3. Проверить уровень сформированности вычислительных навыков учащихся, их умение применять свои знания при преобразовании тригонометрических выражений различного уровня сложности.

В процессе игры у детей вырабатывается привычка сосредотачиваться, мыслить самостоятельно, развивается внимание, стремление к знаниям.

Увлекшись, дети не замечают, что учатся. Они познают, запоминают новое, ориентируются в необычных ситуациях, пополняют запас представлений, понятий, развивают фантазию. Даже самые пассивные из детей включаются в игру с огромным желанием, прилагая все усилия, чтобы не подвести товарищей по игре.

Лабиринт даёт возможность каждому учащемуся получить консультацию от любого игрока своей команды, причём данная консультация не меняет счёт.

Составление лабиринта не представляет особых трудностей. Наиболее простой способ построения системы заданий состоит в том, что на отдельных карточках выписываются задания по данной теме. Для каждой команды свой комплект. Задачи команд мало отличаются друг от друга. Количество участвующих команд не ограничено. Трудность заключается лишь в одном: необходимо подобрать задания командам для каждого этапа так, чтобы у них у всех были разные ответы.

Игра состоит в следующем: представитель каждой команды берёт карточку, код которой указал ведущий (ведущим может быть или преподаватель, работающий в данном классе, или кто-нибудь другой). Код второй карточки соответствует ответу первого задания. Поэтому вторую карточку можно выбрать только после решения первого задания. Код первой карточки - это ответ к задаче на последней карточке, т.е. правильность решения последней задачи проверяется по коду первой карточки. Таким образом, получается цепочка чисел, по которой, как по ориентиру, команда выходит из лабиринта.

Класс делится команды. Их количество может быть любым. Это зависит от числа составленных лабиринтов. Желательно, чтобы в командах было равное число участников.

В течение одного урока командам предстоит решить по десять заданий на преобразования тригонометрических выражений. Выигравшей становится та команда, которая быстрее всех справится со всеми заданиями и не запутается в лабиринте.

Карточки каждого этапа, начиная со второго, должны быть разложены в разных местах, у которых обязательно должен находиться указатель с номером этапа.

Карточки, выданные в начале урока, команды сохраняют у себя до конца игры, а остальные, сразу же после выполнения задания, относят обратно. Тем самым, для любой команды создаётся ситуация выбора карточки из имеющихся, а не их взятие по остаточному принципу.

Ход урока

1. Организационный момент

  1. Объяснение правил игры.
  2. Разделение всего класса на команды. Это может быть жеребьёвка или объединение учащихся двух рядом стоящих парт.
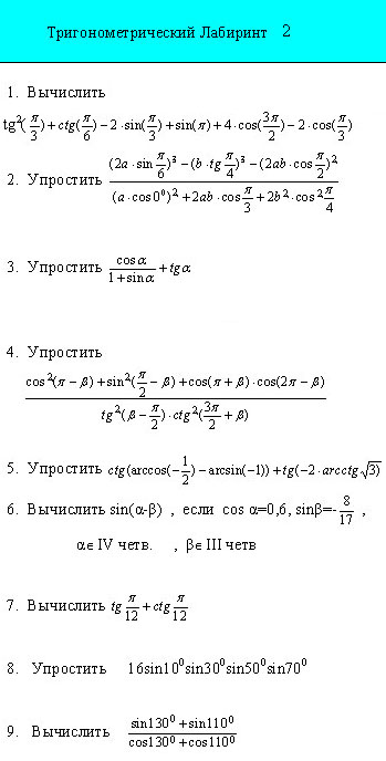
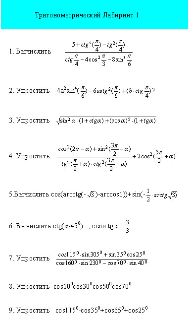
  3. Выдача заданий первого этапа. Данные задания можно посмотреть в файле “Рисунок1”. Напоминание учащимся, что данные карточки они должны оставить у себя до конца игры.

2. Основной этап урока

Выполнение заданий каждого этапа. Напоминание учащимся, что карточки второго и всех последующих этапов они должны вернуть на тот этап, где взяли, сразу же по окончании решения.

Ниже приводятся задания для шести команд по этапам, начиная со второго.

  • Задание второго этапа можно посмотреть в файле “Рисунок2”.
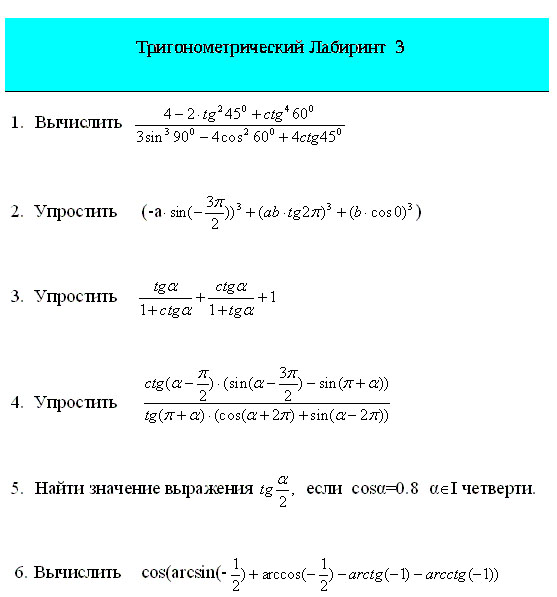
  • Задание третьего этапа можно посмотреть в файле “Рисунок3”.
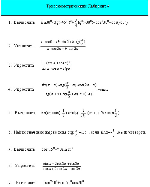
  • Задание четвёртого этапа можно посмотреть в файле “Рисунок4”.
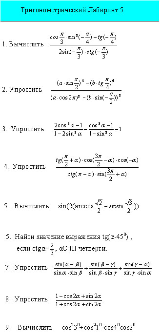
  • Задание пятого этапа можно посмотреть в файле “Рисунок5”.
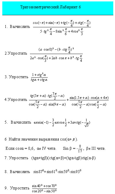
  • Задание шестого этапа можно посмотреть в файле “Рисунок6”.
  • Задание седьмого этапа можно посмотреть в файле “Рисунок7”.
  • Задание восьмого этапа можно посмотреть в файле “Рисунок8”.
  • Задание девятого этапа можно посмотреть в файле “Рисунок9”.
  • Заключительную карточку, которую учащиеся берут на последнем, десятом этапе, можно посмотреть в файле “Рисунок10” .
  • Чтобы преподавателю было легче ориентироваться в лабиринте, задания для шести команд помещены в файлах “Рисунок11”, “Рисунок12”, “Рисунок13”, “Рисунок14”, “Рисунок15”, “Рисунок16” .

a_id: 212535