Уравнения, содержащие переменную под знаком «антье»
Искушение научиться решать нестандартные задачи (и не только математические) всегда велико. А неумение их решать, прежде всего, связано с чувством неуверенности в собственных силах. На самом деле для решения нестандартных задач применяются стандартные методы и приемы. В данной работе рассмотрены уравнения, содержащие целую часть числа, для решения которых достаточно знаний в объеме школьной программы, составлен алгоритм их решения и сделана попытка систематизации по способам решения.
Целой частью действительного числа x (или функцией "антье") называется наибольшее целое число n, не превосходящее x.
Целая часть числа x обозначается символом [x] или (реже) символом Е(х). Читается так: "целая часть х" или "антье x".
Например,
=2,
=-3.
Из определения "антье x" следует, что
+1, или 0
<1,т.е. x=
+
, где 0![]()
<1.
Алгоритм решения уравнений, содержащих целую часть.
I. Рассмотреть уравнение, отметить его особенности, привести к виду
[f(x)] =g(х) или [f(х)] = [g(х)].
II. Для уравнения вида: [f(х)]= g(х).
| у1= f(х) и у2= g(х) - линейные функции | |
| да (см. пункт II.1) |
нет (см. пункт III) |
1. Применить замену: g(х) = t, где t
Z.
2. Найти зависимость х (t).
З. Подставить х(t) в исходное уравнение.
4. Решить неравенство 0f (t) - t < 1, учитывая, что t
Z.
5. Найти х (t).
6. Записать ответ.
III.
| Если из уравнения следует, что х |
|
|
да (см. пункт III.1) |
нет (см. пункт III.2) |
1. Замена [х] = х - {х} сводит уравнение к рациональному, решение которого является решением исходного уравнения.
2. Возможны следующие способы решения:
а) Замена [х] = х -{х}. Найти корни получившегося уравнения способом перебора.
б) Построить график уравнения у = g(х) для значений х, удовлетворяющих условию g(х)f(х) < g(х)+1
Найти по графику значения х (корни уравнения), удовлетворяющие неравенству.
в) Построить графики функций у1= [f(х)] и у2 = g(х).Найти уравнения (чаще количество корней) по графику.
IV. Для уравнения вида [f(х)]=[g(х)] возможны следующие способы решения:
а)
1.Применить замену [f(х)]= t, тогда [g(х)] = t, где t
Z.
2. Решить систему неравенств учитывая, что tZ
.
3. Найти х, подставив значение t в систему неравенств из пункта 2.
4. Записать ответб)
1. Построить графики уравнений у1=[f(х)] и у2=[g(х)].
2. Найти общие точки графиков.
3. Записать ответ.в)
1. Составить и решить неравенство -1< 1 (по свойству функции "антье").
2. Построить графики функций у1 = f(х), у2= g(х) для значений х, удовлетворяющих неравенству из пункта 1.
3. Определить границы значений х, при которых целые части функций
у1 = f(х), у2= g(х) равны.
4. Записать ответ.
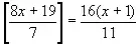
- Уравнения вида [f(х)]=g (х)
Пример:![]()
Пусть
, где t
Выразим x: 16x=11t-16, x =
.
Тогда уравнение принимает вид:
,
;
;
0
<1

2![]()
т.к. t
то t1=3, t2=4, t3=5, t4=6, t5=7. Найдем x, получим ответ.
Ответ: x1=1
, x2=1
,
x3=2
, x4=3
, x5=3![]()
II. Уравнения вида [f(x)] = [g(x)]
Пример:
. Пусть
t, тогда ![]()
t
, t
,
(1) ,
(2)
Решение отсутствует, если промежуток (2) "правее" промежутка (1)
; 2t
, t![]()
Решение отсутствует, если промежуток (2) "левее" промежутка (1)
; 2t
, t
,
Значит, решение существует при
. Т.к. t
, то t1=1,
t2=2, t3=3, t4 =4 и тогда из неравенства (1) и (2) получаем:
t1=1, 2
0
тогда 2
![]()
t2=2, 3,52,5
тогда 3,5
![]()
t3=3, 5, 5
, тогда 5
![]()
t4=4, 6,5, 7,5
тогда 7,5
Ответ: 2
, 3,5
7,5
.
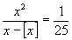
III. Уравнения, решаемые способом перебора.
Пример:
, x![]()
Т.к. x-
то получаем уравнение
или 25x2=
, но 0![]()
<1, значит,
0
x2<1
Т.к. x
, то 25x2>0 при любых x. Получаем 25x2<1, x2 <
, ![]()
-![]()
![]()
Выбираем решение перебором:
1) -![]()
, тогда исходное уравнение принимает вид:
, откуда
25x2 -x-1=0, Д=101
x1,2 =
; x=
не удовлетворяет условию -![]()
является корнем уравнения
0![]()
Получаем уравнение:
; 25x2=x, но т.к. x
, то x=
- корень данного уравнения
является корнем исходного уравнения
Ответ: 2 корня x=
; x=![]()
IV. Уравнения, сводящиеся к решению рациональных уравнений.
Пример: ![]()
Из уравнения следует, что (x+1)
Z, значит, x
Z.Тогда (3x2-x)-
целое, поэтому
.Поэтому
И уравнение принимает вид:
3x2-x=x+1, откуда 3x2-2x-1=0 и x1=1, x2=
.Но x
Z,значит, x=
не является решением уравнения.
Ответ: x=1
Пример:
=
Построим графики функций: y=
и y=
(рис. 1)
По графику (рис.3) видим общие точки графиков.
Пример:
= ![]()
-1<
, -1<
<1;
![]()
Построим графики функций при 1
, y=
y=![]()
Определим границы значений x
Подставим y=1 в y=
, тогда x=2,
верно
y=2 в y=
, тогда x=2,5;
неверно, значит 2
<2,5
2) y=2 в y=
, x=3,5;
верно
у=4 в y=
, x=6,5;
неверно, значит 3,5
<6,5
y=4 в y=
, x=7,5 y=5 в y=
, x=8 проверяем, получим 7,5
<8
Ответ: 2
<2,5, 3,5
<6,5, 7,5
x<8
V. Способ решения, объединяющий аналитические и графические приёмы.
Пример :
x2+3x
=x2+0,5
По определению функции "антье" данное уравнение равносильно двойному неравенству:
x2+
x2+3x2+
(1)
Решим неравенство:

1) 4x2-6x+1
, 4x2-6x+1=0, Д=36-16=20 x1,2=
; x1,2=![]()
2) 4x2-6x+3>0 , 4x2-6x+3=0 , Д=36-48=-12, Д<0 x- любое
Итак, решением неравенства (1) является: ![]()
Построим в этом промежутке параболу y=x2+
рис.6.
Пределы, в которых изменяются значения функции, определяются ординатами точек пересечения параболы с прямыми x=
. При x=
y=
тогда
В этих пределах два целых значения y: y1=1, y2=2.
Им соответствуют x1=
, x2=
.Это и есть решения
данного уравнения.
VI. Построение графиков элементарных функций и функций вида y = [f(x)].
Пример 8.x3-
, x3=
. Тогда x3=
, отсюда следует, что x3 ![]()
Построим графики функций y=x3 и y=![]()
По графику (рис.8) видим, что единственное решение при -2![]()
Ответ: x=![]()
Литература
1. А. Мерлин, Н. Мерлина Нестандартные задачи по математике в школьном курсе.- М: Математика №39, 2000.
2. Семёнов В.И. Некоторые методические и методологические аспекты углубленного изучения математики. 9-11 классы. - Кемерово: Обл. ИУУ, 1988
3. В.К. Смышляев Практикум по решению задач школьной математики.- М: " Просвещение", 1978
4. Д.О. Шклярский, Н.Н.Ченцов, И.М. Яглов Избранные задачи и теоремы элементарной математики. Арифметика и алгебра.- М: "Наука",1976





