Методические рекомендации к занятию элективного курса "Физика в окружающей природе" по теме "Закон Солнца, миражи, радуга"
Действующие лица для ролевой игры: поэт, специалист по фольклору, художник, наблюдатель (обыватель), экспериментатор, историк, физик.
Перед занятием учащиеся получают роли, задания и список литературы. Они должны подготовить доклады, представить их на отдельных листах, чтобы после занятия оформить газету, презентации.
Радуга
Специалист по фольклору: Тему нашего разговора мы узнаем, разгадав загадки:
- Через поля, через луга встала нарядная дуга (Радуга)
- За минуту в землю врос : разноцветный чудо-мост. (Радуга)
- Чудо-мастер смастерил: мост высокий, без перил (Радуга)
Радуга - это великолепное красочное явление природы (демонстрация радуги с помощью пульверизатора). О ней слагались легенды, ей приписывали удивительные свойства:
| Древние народы | Удивительные свойства |
| греки | Ирида - богиня радуги - передает людям волю богов, соединяет небо и землю. |
| индейцы | Радуга - это цветы, которые завяли на земле и вновь расцвели на небе. |
| эсты | Вода по радуге поднимается из озера (реки) в небо и наполняет облака. |
| эстонцы | "Блещет солнышко на кровле, радуга отводит бурю" (эстонский эпос). Бог Яхве повесил радугу на небе после всемирного потопа, в знак того, что он больше не будет так жестоко карать людей. |
| индийцы | Радуга ("семицветный лук") является луком Громовника - царя богов Индра (эпос "Рамаяна") |
| арабы | Радуга является луком бога света Кузаха. После победы над силами тьмы, не пускавшими солнце на небо, Кузах вешал радугу-лук на облака. |
| славяне | Радуга олицетворяла победу бога-громовержца Перуна, поразившего молниями духа зла. |
Поэт: С радугой всегда связывают ощущения радости и освобождения. Она добрая предвестница. Поэты неоднократно обращались к радуге. Например, хорошо передал ощущение радости, вызываемое радугой, Гёте:
К тебе я, солнце, обращусь спиною;
На водопад сверкающий, могучий
Теперь смотрю я с радостью живою,-
Стремится он, дробящийся, гремучий,
На тысячи потоков разливаясь,
Бросая к небу брызги светлой тучей.
И между брызг, так дивно изгибаясь,
Блистает пышной радуга дугою,
То вся видна, то вновь во мгле теряясь,
И всюду брызжет свежею росою!
Всю нашу жизнь она воспроизводит:
Всмотрись в нее - и ты поймешь душою,
Что жизнь на отблеск красочный походит.
Существовало поверье, будто в том месте, где радуга одним из своих концов как бы уходит в землю, можно откопать горшок с золотом. А чтобы всю жизнь быть удачливым во всех делах, нужно хотя бы раз пройти под радугой босиком.
Радуга дарит ощущение радости, но оно мимолетно, дарит мечту о счастье, но оно недостижимо. Удивительное в своей красоте "мимолетное видение" тает на наших глазах, оставляя нам чувство светлой грусти. Об этом хорошо написал Ф.И. Тютчев:
Как неожиданно и ярко
На влажной неба синеве
Воздушная воздвиглась арка
В своем минутном торжестве!Один конец в леса вонзила,
Другим за облака ушла -
Она полнеба обхватила
И в высоте изнемогла.О, в этом радужном виденье
Какая нега для очей!
Оно дано нам на мгновенье,
Лови его - лови скорей!Смотри - оно уж побледнело, -
Ещё минута, две - и что ж?
Ушло, как то уйдет всецело,
Чем ты и дышишь и живешь.
Художник: Это красивое природное явление не оставило равнодушными многих художников мира. Например, А.К. Саврасов, который известен как автор картины "Грачи прилетели". В 1875 году он написал картину "Радуга", которая заслуживает нашего внимания. Художник света - так называют Архипа Ивановича Куинджи, одного из необычайных мастеров пейзажной живописи XIX века. "Иллюзия света, - писал Репин, - была его богом, и не было художника, равного ему в достижении этого чуда живописи". Картину "Радуга" Куинджи писал 5 лет: с 1900 по 1905 гг.
Обыватель: Особенности наблюдения радуги
Радуга возникает в стороне, противоположной солнцу после летней грозы, когда выглянуло из-за туч солнце, когда солнце освещает завесу дождя, или на фоне струй водопада.
Радуга разноцветна. Сколько цветов в радуге? Аристотель считал всего 3 цвета: красный, зеленый, фиолетовый. Ньютон - вначале 5 цветов, затем - 10, в конечном счете, остановился на 7. Выбор этого числа, скорее всего, объясняется тем, что число 7 издавна считается "магическим" (семь чудес света, семь дней недели, семь цветов радуги и т.д.) Порядок чередования цветов можно запомнить по выражению: "Каждый охотник желает знать, где сидит фазан". Красный цвет - внешний край радуги, фиолетовый - внутренний край, обращенный к земной поверхности. Число цветов является условным понятием.
Может возникать двойная радуга. Дополнительная радуга возникает над основной радугой. Она более широкая и размытая, цвета в ней чередуются в обратном порядке. Между красными краями основной и дополнительной радуг существует темная полоса называемая Александровой полосой - по имени греческого философа Александра, жившего во II веке.
Если наблюдатель находится на относительно ровной земной поверхности, то радуга появляется, если угловая высота солнца над горизонтом не превышает 420 . Чем ниже солнце, тем больше наблюдаемый участок радуги. Дополнительная радуга может наблюдаться, если высота солнца над горизонтом не превышает 530.
Радуга имеет форму дуги.
Верхняя часть радуги всегда красного цвета, нижняя - фиолетового.
Историк: Развитие представлений о физике возникновения радуги.
| Фамилия ученого | Примерная дата | Вариант объяснения |
| Флетчер из Бреслау | 1571 г. | Наблюдатель видит радугу в результате попадания в его глаз световых лучей, каждый из которых испытал двукратное преломление в одной капле дождя и последующее отражение от другой капли (рис. 1 а) |
| Антонио Доминико (итальянский архиепископ) | Начало XVII века (1611г.) | Достаточно рассмотреть одну каплю дождя. Световой луч испытывает в капле двукратное преломление и одно отражение (рис. 1 б) |
| Рене Декарт (фр. философ, математик, физик и физиолог) | 1637 г. | Создал теорию радуги. Продолжил учение Доминико и правильно показал, почему угол |
| Исаак Ньютон (англ.) | 1729 г. "Лекции по оптике" | Полностью объяснил физический механизм образования радуги. |

Физика возникновения радуги
Физик 1: Ход луча в капле дождя.
Пусть на дождевую каплю в форме шара радиусом R падает пучок параллельных световых лучей.
![]()
прицельный параметр луча, изменяется от 0 до 1.
- расстояние от данного луча до параллельной ему прямой, проходящей через центр капли.
Допустим, длина волны всех световых лучей одинакова (не учитываем дисперсию). Значит, лучи с одинаковым прицельным параметром будут описывать аналогичные траектории внутри капли и будут выходить из неё под одинаковым углом к первоначальному направлению (из-за сферической симметрии капли).
Изобразим ход луча (рис. 2 ), причем не будем учитывать отраженные лучи в точках А и С и преломленный в точке В.
из
;
- угол падения луча на каплю
и
равнобедренные: ОВ=ОА=ОС=R
Значит ![]()
По закону отражения
, значит ![]()
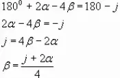
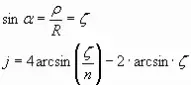
3) В точке В световой луч поворачивается на (1800 - 2
),
в точках А и С - (
)
4) Значит, выходящий из точки С луч повернулся относительно первоначального луча на угол:
![]()
5) j - угол между падающим и выходящим лучами


6) Закон преломления в точке А:
, n - показатель преломления воды
![]()


т.к.
Выводы:

Из выражения
видно, что для определения j , необходимо знать угол падения луча на каплю и показатель преломления.
Из выражения видно, что j изменяется от 0 до jmax , т.к.
изменяется от 0 до 1.
Расчеты показали: jmax = 420


На дождевую каплю падают лучи со всевозможными (от 0 до 1) прицельными параметрами, а значит выходят из капли под разными углами j . Наблюдатель видит более яркими лучи, у которых j= 420 т.к. они имеют меньшую расходимость (рис. 3). Все остальные лучи расходятся широким веером, рассеиваются, поэтому внутри радуги всегда ярче, чем снаружи.
Физик 2: Почему радуга имеет форму дуги? (рис. 4)
На самом деле радугу можно рассматривать, как гигантское "колесо", которое "надето" на воображаемую прямую линию
, проходящую через
солнце и наблюдателя. О - наблюдатель,
- противосолнечная точка, находящаяся ниже линии горизонта.
- угловая высота Солнца над горизонтом (если рост наблюдателя разделить на длину его тени, то получим
)
Из рисунка видно, что радуга - это окружность конуса, ось которого
, j - угол раствора конуса. Наблюдатель видит только
часть дуги находящуюся над горизонтом.
- угол, под которым видна вершина радуги.
![]()
Выводы:
Положение радуги по отношению к ландшафту зависит от положения наблюдателя по отношению к Солнцу.
Угловые размеры радуги определяются высотой Солнца над горизонтом.
Наблюдатель - вершина конуса.
Радуга - часть окружности основания конуса находящаяся над линией горизонта.
, где j= 420 (для желтого участка основной радуги) и j= 530 (для дополнительной радуги),
т.е. если высота Солнца над горизонтом превышает 420, то наблюдатель не увидит основную радугу, если 530 - то дополнительную. С вершины горы, из кабины летящего самолета удается
увидеть больше половины радуги, а иногда и весь её круг.
Физик 3: Почему иногда снаружи основной радуги мы видим дополнительную, менее яркую?
Причина дополнительной радуги, как и основной, заключается в преломлении и отражении света в капельке воды. Однако перед тем как превратиться в дополнительную радугу, лучи солнечного света успевают два раза, а не один, отразиться от внутренней поверхности каждой капельки (рис.5). В отличие от основной радуги, где капелька концентрирует пучок лучей под углом близким к 420, падающих на её верхнюю поверхность, дополнительная радуга образуется из-за концентрации лучей, падающих на нижнюю поверхность капельки да ещё после двух преломлений и двух внутренних отражений. Свет, падающий на другие части этих капель, либо просто проходит через них, либо, преломляясь и отражаясь, остается для наблюдателя незаметным. Яркость дополнительной радуги меньше основной из-за того, что оба внутренних отражения не являются полными и часть света выходит из капли.

Физик 4: Чередование цветов в основной и дополнительной радугах
Прохождение солнечных лучей через каплю сопровождается дисперсией, капли разлагают свет на цвета спектра (рис. 6). Наблюдатель будет видеть внешнюю дугу основной радуги красной, а внутреннюю фиолетовой. У дополнительной радуги наоборот. Следует подчеркнуть, что разные цвета радуги мы получаем от разных капель. Красную полосу - от тех, что висят выше, а фиолетовую - от капель, висящих ниже. На вид радуги оказывает влияние дифракция света, проявляющаяся сильнее, чем меньше диаметр капли. Дифракция влияет на яркость радуги и факт присутствия того или иного цвета в радуге приводит к появлению вторичных цветовых дуг.
Если диаметр капель
мм, то наблюдаются яркие фиолетовый и зеленый цвета.
Если
мм, то красный цвет слабеет, и исчезает при
мм
если
, то сохраняется ярким фиолетовый цвет, радуга выглядит бледной.
Если
, то наблюдается белая радуга.
Закат Солнца
Поэт:
"Ты сияешь прекрасно на склоне неба, диск
Живой, начало жизни. Ты взошел на восточном
склоне неба и всю землю напоил своей красотой.
Ты прекрасен, велик, светозарен!" -
так обращались к Солнцу древние египтяне тридцать пять веков тому назад. Уже в древнейшие времена люди понимали, что без солнечных лучей жизнь на Земле была бы невозможна. Они называли Солнце "началом жизни", обожествляли его, поклонялись ему. Закат Солнца вызывал у них печаль и страх. "Ты заходишь на западном склоне неба - и Земля во мраке, наподобие застигнутого смертью".
Или Я. Райнис пишет:
Багровый светится закат,
И тучи низкие лежат,
Как крепостные бастионы,
Грозя светило взять в полон;
А выше бледен небосклон,
И угасают лес, поля и склоны.
Приведем так же замечательные строки, принадлежащие перу И.С. Тургенева:
Садится солнце. Воздух дивно тих,
И вздрагивает ветер, словно сонные.
Окошки темных домиков на миг
Зарделись и погасли. Отягченный
Росой внезапной, стынет луг. Затих
Весь необъятный мир. И благовонный,
Прозрачный пар понесся в вышину:
И небо ждет холодную луну"
Наблюдатель: Удивительное в солнечных закатах (основные особенности).
Наблюдаемая картина заката солнца зависит всякий раз от состояния атмосферы и определяется типом и формой облаков, подсвечиваемых лучами заходящего солнца. Поэтому закаты так не похожи друг на друга и всегда необычайно красивы (рис. 7) (демонстрация закатов на экране).
Что удивительного может подметить в закате солнца внимательный наблюдатель? (Учащиеся рассказывают о своих наблюдениях)
Основные особенности заката
Красный цвет заходящего солнца и такой же цвет неба вблизи него. Согласно народным приметам, если заря на закате или восходе солнца золотистая, светло-розовая, то будет ясная погода. Красное заходящее солнце предвещает ветреную погоду. Если посмотреть на заходящее солнце через слегка закопченное стекло, то нетрудно заметить, что цвет солнечного диска имеет различные оттенки: у самой линии горизонта он краснее, а в верхней части диска переходит постепенно в цвет более светлых тонов.
Некоторая сплюснутость заходящего солнца по вертикали. В момент, когда нижний край солнца касается горизонта, поперечник солнечного диска в вертикальном направлении виден земному
наблюдателю под углом
, а в горизонтальном под углом
. (рис. 8)
Иногда при закате солнца наблюдается зеленый луч. Яркий зеленый луч вспыхивает на несколько секунд, когда почти уже весь солнечный диск скрылся за горизонтом. Советский астроном Г.А. Тихов, много лет изучавший это удивительное явление, писал: "Если солнце при закате красного цвета и на него легко смотреть, то можно с уверенностью утверждать - зеленого луча не будет. Напротив, если солнце не очень изменило свой бело-желтый цвет и садится ярким, то можно предполагать, что зеленый луч появится. Важно, чтобы горизонт имел отчетливую линию, без всяких неровностей: ближнего леса, строений и т.п. Этих условий легче всего достичь на море, вот почему зеленый луч хорошо известен "людям моря".
У горизонта солнечный диск кажется заметно более крупным, нежели в зените.

Физик 1: Объяснение особенностей заката солнца
Красный цвет заходящего солнца. Причина красного цвета заходящего солнца и голубого цвета неба одна: рассеяние солнечного света в земной атмосфере. В 1869 году Дж. Тиндаль выполнил свой знаменитый опыт, с помощью которого можно объяснить рассеяние света.
Экспериментатор: Демонстрация опыта Тиндаля. На стенку аквариума прямоугольной формы, наполненного водой, направим слабо расходящийся узкий пучок света от диапроектора или теневого осветителя. (Для создания узкого пучка нужно вставить в диапроектор на место слайда кусочек плотной черной бумаги с круглым отверстием в центре диаметром 2-3 мм). Опыт проводится в затемненном помещении. Для усиления рассеяния света добавим в воду немного молока и тщательно размешаем. Содержащиеся в молоке частички жира находятся в воде во взвешенном состоянии и способствуют рассеиванию света. Если смотреть на световой пучок в аквариуме сбоку, то он представляется голубым, а с выходного торца - красноватым.
Как это явление объяснить?
Если предположить, что синий цвет рассеивается сильнее, чем красный, то можно объяснить так: при прохождении белого пучка света через рассеивающую среду из него рассеивается в основном "синий" компонент, поэтому в выходящем из среды пучке преобладает "красный" компонент.
В 1871 году Дж. Стретт (Рэлей) именно так объяснил опыт Дж. Тиндаля на основе своей теории рассеяния световых волн на частицах, размеры которых много меньше длины световой волны. Закон Рэлея утверждает: интенсивность рассеянного света пропорциональна четвертой степени частоты света. Применяя закон Рэлея можно объяснить голубой цвет дневного неба и красный цвет солнца при восходе и закате.
Так как интенсивнее рассеиваются световые волны с более высокими частотами, то спектр рассеянного света будет сдвинут в сторону более высоких частот, т.е. белый свет становится голубым, а спектр света после того, как, испытав рассеяние, покинул пучок, будет сдвинут к более низким частотам, т. е становится красноватым.
Глядя на дневное небо, наблюдатель воспринимает свет, рассеянный в атмосфере, т.е. голубой цвет неба. Глядя на солнце, наблюдатель воспринимает свет, прошедший через атмосферу без рассеяния, спектр этого света сдвинут к низким частотам. Чем ближе солнце к горизонту, тем более длинный путь проходят в атмосфере световые лучи, прежде чем попадут к наблюдателю, тем в большей степени сдвигается их спектр. В результате, заходящее солнце мы видим в красных тонах, причем нижняя часть солнца выглядит более красной, чем верхняя.
Физик 2: Сплюснутость заходящего солнечного диска
Когда солнце находится высоко над горизонтом, его диск имеет форму круга. Наблюдатель с Земли видит этот круг под углом
. Когда солнце заходит, то
его диск сплюснут по вертикали, его вертикальный поперечник на
меньше горизонтального. Причиной этого явления является рефракция света в атмосфере.
Максимальный угол рефракции (при
)
.
Когда мы, любуясь на морском берегу солнечным закатом, видим, как нижний край светила коснулся линии горизонта, мы не осознаём, что нижний край находится на
ниже линии горизонта. Значит весь солнечный диск уже за горизонтом. Но верхний край солнечного диска приподнимается вследствие рефракции света меньше, чем нижний, т.е.
не на
, а только на
т.к. рефракция уменьшается по мере уменьшения
угла
(зенитное расстояние). Поэтому заходящее солнце кажется нам сплюснутым. Это можно пояснить рис. 9.
- направление от наблюдателя к линии горизонта. Стрелками показан ход лучей от краев солнечного диска к наблюдателю. Искривление
лучей в атмосфере приводит к тому, что наблюдатель видит солнечный диск под углом, образуемом на рисунке штриховыми прямыми, т.е. видит диск, слегка приплюснутый в вертикальном направлении.

Физик 3: Зеленый луч.
Известно, что показатель преломления изменяется с частотой света. Лучи с более высокой частотой преломляются сильнее. Значит, сине-зеленые лучи претерпевают более сильную рефракцию по сравнению с красными лучами. (рис. 10)
Пусть для простоты в спектре солнечного света имеются два цвета: зеленый и красный. Рефракция света в атмосфере приподнимает над горизонтом зеленый диск в большей степени, чем красный. Верхний край солнечного диска был бы зеленым, а нижний красным, в центральной же части диска наблюдалось бы смешение цветов. Но вследствие явления рассеяния света в атмосфере, зеленой каемки сверху диска мы не увидим т.к. из-за рассеяния выбывают более эффективно лучи с более высокой частотой. Весь диск будет выглядеть красноватым. Но, если почти весь солнечный диск ушел за горизонт, остался лишь самый верхний его краешек, и при этом стоит ясная и тихая погода, воздух чист (рассеяние света минимально), то мы можем увидеть ярко-зеленый край солнца вместе с россыпью ярких зеленых лучей.

Физик 4: Увеличение размеров заходящего солнца - это оптическая иллюзия. Измерения показывают, что углы, под какими виден диск солнца в зените и у горизонта, одни и те же (если не принимать во внимание сплюснутость солнца из-за рефракции света в земной атмосфере). Существуют разные объяснения данной иллюзии. Наиболее простое и естественное объяснение связано с психологией нашего восприятия размеров объектов, наблюдаемых в далекой перспективе. По мере удаления от нас различные объекты на поверхности земли делаются в наших глазах все меньше и меньше. По мере приближения к линии горизонта объектов, устремляется к нулю угол, под каким видны эти объекты. Но, в отличие от них приближающееся к линии горизонта солнце наблюдается нами под низменным углом и поэтому оно воспринимается нашим сознанием как преувеличенно большое.
Миражи
Писатель:
Пустыня мертвая пылает, но не дышит.
Блестит сухой песок, как желтая парча,
И даль небес желта и так же горяча,
Мираж струится в ней и сказки жизни пишет.
А.М. Федоров

В мире литературы хорошо описан так называемый "озерный" мираж (рис. 11). Представьте себе раскаленную пустыню: кругом, куда ни посмотришь - горячий песок. И вдруг, впереди, где-то у линии горизонта, возникает озеро. Это чудо представляется совершенно реальным. В воображении возникает даже плеск воды. Но вот вы проходите один, другой и третий километры, а озеро все так же где-то впереди, и вокруг по-прежнему одни пески.
"Озерный" мираж можно наблюдать, глядя на убегающую вдаль асфальтовую или бетонную дорогу, сильно нагретую летним солнцем. В жаркий день хорошо видны лужи воды впереди на дороге, хотя в действительности дорога сухая.
Миражи очень разнообразны. Они позволяют видеть даже объекты, например, города, которые на самом деле находятся далеко от наблюдателя, скрыты от него за горизонтом. Эти видения появляются вдруг у линии горизонта или повисают над ней в воздухе. Иногда они появляются в перевернутом виде, иногда оказываются сдвоенными.
Специалист по фольклору: В давние времена миражи считали проделками злых духов. Например, легенда о "летучем голландце" - корабле-призраке, встреча с которым предвещала несчастье. Легенда порождена страхом, охватывающим матросов, когда в тихую штильную погоду перед ними вдруг возникал бесшумно несущийся на всех парусах корабль.
Или, согласно одной легенде, коварная фея Моргана любила охотиться за человеческими душами, подстерегать в пустыне караваны, очаровывать караванщиков прекрасными призрачными видениями - сверкающими дворцами, пышными садами, роскошными фонтанами. Усталые путники устремлялись к этим садам и дворцам, сбивались с дороги и погибали в песках.
Наблюдатель: Миражи - это мнимое изображение в атмосфере наземных предметов.
Некоторые виды миражей
Нижние ("озерные")
сверхдальнего видения
Верхние
двойные
тройные
Нижние миражи - это миражи, кажущееся расположение которых находится под горизонтом.
Верхние миражи - это миражи, кажущееся расположение которых находится над горизонтом.
| Нижние миражи | Верхние миражи | |
| Где возникают? | Над сильно нагретой поверхностью. | Над сильно охлажденной поверхностью. Например, над холодной водой. |
| Где наблюдаются? | В пустынях и знойных степях | В северных широтах. Например, жители г. Ломоносова иногда отчетливо видят в воздухе здания и улицы С.-Петербурга. Расстояние между городами 40 км. |
Верхние миражи разнообразны. В одних случаях они дают прямое изображение объекта, в других случаях в воздухе появляется перевернутое изображение, а иногда наблюдаются два изображения сразу: и прямое, и перевернутое. Иногда возникает тройное изображение. Такие миражи с несколькими изображениями называются двойными и тройными. Особенно удивительны сверхдальние миражи.

Вот описание подобного миража, который видели очевидцы в июне 1815 года в Бельгии, в г. Вервье, из книги "Атмосфера" К. Фламмариона: "Однажды утром жители города увидели в небе войско, и так ясно, что можно было различить костюмы артеллиристов и даже, например, пушку со сломанным колесом, которое вот-вот отвалится: Это было утро сражения при Ватерлоо!" Описанный мираж был изображен в виде цветной акварели одним из очевидцев (рис. 12). Расстояние от г. Вервье до Ватерлоо по прямой линии 100 км! "Летучего голландца" следует отнести именно к таким миражам.
Физик: Физика миражей отмеченных видов.
Нижний ("озерный") мираж. Если воздух у поверхности земли сильно нагрет, то показатель преломления у поверхности будет меньше, чем в более высоких воздушных массах, т.е. показатель преломления увеличивается снизу вверх. Значит согласно правилу изгиба светового пучка, траектория световых лучей вблизи земной поверхности будет обращена выпуклостью вниз. (рис. 13 )



Простые верхние миражи. Если воздух у поверхности земли или воды охлажден, то показатель преломления у поверхности будет больше, чем в более высоких воздушных массах, т.е. показатель преломления уменьшается сверху вниз. Значит, световые лучи изгибаются так, что их траектория обращена выпуклостью вверх. В таких случаях наблюдатель будет видеть объекты, скрытые от него за горизонтом, причем он будет видеть их над линией горизонта.


Двойные и тройные миражи. Если показатель преломления воздуха изменяется с высотой быстро, а затем медленно, или наоборот, то искривление световых лучей в этих областях будет происходить по-разному: в одной области сильнее, в другой слабее. В результате могут возникнуть два или три изображения.


Миражи сверхдальнего видения. Природа этих миражей изучена менее всего.
Список используемой литературы
- Богданов К.И. Не все так просто./ Первое сентября 2006, №3. - с. 31-33.
- Булат В.Л. Оптические явления в природе. - М.: Наука, 1983
- Бурова С.А. Необычные природные явления./ Первое сентября 2003, №3.
- Варламов С.Д. Монохроматическая радуга./Первое сентября 2003, №41. - с. 16-19.
- Перельман Я.И. Знаете ли Вы физику? - М.: Наука, 1992
- Проклова В.Ю. Оптические явления в природе. / Первое сентября 2004, №2. - с. 16-19.
- Тарасов Л.В. Физика в природе. - М.: Просвещение, 1982
- Тульчинский М.Е. Качественные задачи по физике в средней школе. Пособие для учителей - М.: Просвещение. 1972
- Хрестоматия по физике (под ред. Проф. Б.И. Спасского) учебное пособие для учащихся. - М.: Просвещение, 1982
- Энциклопедический словарь юного физика. - М.: Педагогика, 2002.- с. 20-21, 41-42.