Урок-зачет по теме "Производная"
В целях повышения ответственности учащихся за результаты своего труда, для развития самостоятельности в овладении знаниями можно использовать зачетную форму организации контроля знаний учащихся.
Согласно планированию темы целесообразно использовать лекционно-семинарскую систему, предусматривающую проведение следующих типов уроков: уроки-лекции, уроки-практикумы, уроки-семинары, уроки-зачеты, уроки коррекции знаний и умений и контрольные работы.
Подготовка к зачету является для учащихся одновременно подготовкой к контрольной работе. На зачет выносятся основные теоретические вопросы (без доказательства) и типовые упражнения, имеющие сравнительно большую образовательную ценность.
Зачет требует большой предварительной подготовки. После анализа требований программы выявляются вопросы и упражнения, с которыми должны уметь справиться все учащиеся.
На первых уроках изучения темы учащиеся узнают о предстоящем зачете, На информационном стенде в кабинете вывешиваются вопросы и упражнения, аналогичные которым будут предъявлены на зачете. С первого урока изучения темы устная работа построена так, чтобы учащиеся достигли обязательного уровня знаний по теме.
Класс делится на две группы: 1 - высоко мотивированная, 2 - низко мотивированная. Учащиеся первой группы оказывают помощь при подготовке к зачету учащимся второй группы. С той же целью готовится консультационная группа из 2-3 человек.
На зачете учащиеся первой группы садятся справа, второй - слева. Консультанты опрашиваются учителем перед зачетом.
Работа организуется следующим образом: 1-я группа сразу приступает к письменным заданиям, рассчитанным на 15-20 минут, 2-я группа в это время отвечает на устную часть зачета. Консультанты помогают вести ведомость учета ответов учащихся. Каждый учащийся опрашивается не менее пяти раз. Затем группы меняются видами работы. В итоге урока-зачета каждый ученик получает по две оценки.
Цели урока:
образовательные:
- выявить состояние знаний учащихся, умение применять их для решения стандартных и нестандартных заданий;
- обобщить и систематизировать ЗУН учащихся по теме "Вычисление производных" курса алгебры и математического анализа 10 класса;
воспитательные:
- формирование нравственных отношений в процессе совместной деятельности (учитель-ученик);
- воспитание сознательной дисциплины;
- умение точно, однозначно и лаконично формулировать свои ответы;
- воспитание у учащихся чувства упорядоченно и систематически трудиться;
развивающие:
- развивать у учащихся активное мышление, быстроту реакции, умение обобщать изученные факты, логически излагать вои мысли;
коррекционные:
- коррекция направленности и устойчивости внимания.
Тип урока: урок обобщения и систематизации знаний.
Структура урока
|
I. Организация начала урока |
||
|
II. Подготовка учащихся к активной учебно-познавательной деятельности |
III. Проверка усвоения обязательного уровня знаний |
IV. Контроль |
|
V. Итог урока |
||
Теоретические вопросы для зачета
- Что называется приращением аргумента?
- Что называется приращением функции в точке хо?
- Какая функция называется непрерывной в точке?
- В каком случае в данной точке функция терпит разрыв?
- Дайте определение производной функции в точке.
- Какие существуют обозначения для производной функции y=f(x)?
- Сформулируйте необходимое условие существования производной функции в точке?
- Какую функцию называют дифференцируемой в точке?
- Что называется дифференцированием?
- Назовите по порядку все операции, которые следует произвести при вычислении производной по определению.
- Выучить таблицу производных:
|
|
|
|
|
|
|
|
|
|
|
|
|||
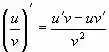
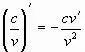
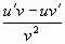
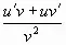
- Выучить правила дифференцирования:
-







- Как находится производная сложной функции h(x) = g (f(x))?
- Что характеризует производная функции в точке?
Устные вопросы (практические)
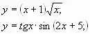
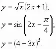
для второй группы (низко мотивированной):
- Найдите производные функций
|
|
|
|
|
|
|
|
|
|
|
|
|
|
|
|
|
|
|
|
|
|
|
|
|
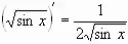
- Найдите значение производной функции:
при ![]()
при ![]()
при ![]()
- Какое из выражений соответствует значению производной суммы, разности, произведения и частного









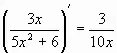
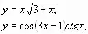
для первой группы (высоко мотивированной):
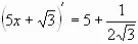
- Найдите производные функций
|
|
|
|
|
|
|
|
|
|
|
|
|
|
|
|
|
|
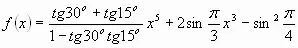
5. Сравните:
и
, если
;
и
, если
и
, если
и
- Найдите значение переменной
, при котором верно равенство 
- Найдите ошибку в вычислении производной:
|
|
|
|
|
|
|
|
|
|
|
|
|
|
|
|
|
|
|
|
|
Письменные задания
для первой группы (высоко мотивированной):
|
ВАРИАНТ 1
.Решить неравенство
|
ВАРИАНТ 2
.Решить неравенство |
для второй группы (низко мотивированной):
|
ВАРИАНТ 3
|
ВАРИАНТ 4
|









