Урок-фрейм по теме "Производная"
Обучаясь в одном классе, по одной программе и учебнику, дети могут усваивать материал на различных уровнях. Успех учебного процесса в значительной степени зависит от познавательной активности школьников, от того, насколько они заинтересованы в собственной работе.
Ясное знание конкретных целей при условии их посильности, возможность выполнять предъявляемые учителем требования активизируют познавательную деятельность учащихся, причем на разных уровнях. Если цели известны и посильны ученику, а их достижение поощряется, то для ученика нет ничего естественнее, как стремиться к их выполнению.
Открытость уровней подготовки способствует формированию положительных мотивов учения, сознательного отношения к учебе, повышению самооценки учащегося. Ученик получает возможность выбирать объем и глубину усвоения учебного материала: либо его усилия н6аправляются на овладение материалом на более высоких уровнях, либо продолжается работа по формированию важнейших опорных знаний и умений.
Данный тип урока позволяет учащимся оценить собственные силы и выбрать для себя уровень целей, соответствующий их потребностям и возможностям в данный момент, а со временем - перейти на более высокий уровень.
Фрейм (с английского рама) означает консолидацию разнородной информации, имеющей центром то или иное реальное явление, действие, событие, ситуацию, воспринятую психикой в ограниченных рамках пространства и времени.
Урок-фрейм охватывает все информационное окружение данного понятия, правила, теоремы. Примером удачного фрейма может служить шуточное представление, что позволяет ученикам вспомнить это через много лет.
Фреймовое представление знаний имеет ту особенность, что в нем поневоле участвуют как все процессоры мозга, так и наблюдения, опыты, эмоции, аналогии и гипотезы, доказанное и предполагаемое, готовое и составляемое.
Тип урока: обобщение и систематизация знаний.
Цели урока:
- обобщить, систематизировать материал темы по нахождению производной;
- закрепить правила дифференцирования;
- раскрыть для учащихся политехническое, прикладное значение темы;
- осуществить контроль усвоения знаний и умений;
- совершенствовать умения применять знания в измененной ситуации;
- развить познавательный процесс;
Оборудование: на доске или экране изображена рама, которая после каждого этапа урока расширяется; таблица производных; тесты; раздаточный материал.
Задания по теме учитель составляет в зависимости от профиля класса.
На данном уроке можно использовать слайды Урок-фрейм по теме Производная.ppt
I. Вступительное слово учителя
Урок-фрейм "Производная" - это урок, центром которого является понятие производная, воспринятое психикой в ограниченных рамках пространства и времени. Фрейм охватывает все информационное окружение данного понятия, правила, теоремы.
Каждый знает, что учить по данной теме, как и для чего
Слайд 6
У каждого ученика будет свой уровень ЗУН

Слайд 7
"Подобно тому, как рою бесчисленных пчел, поражающему наперебой своими жалами, не удается отогнать упивающегося медведя, если он хоть немного вкусил приятность скрытого в дереве меда, так нет, разумеется никого, кто, хоть краем губ постигнув сладость математических доказательств, не стремился бы всеми силами освоить их вполне, до полного насыщения".
Реклама.
Вкусите "Производную" - это гарантия полного насыщения"
II. Актуализация знаний

Слайд 10
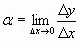
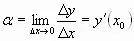
1.Определение производной.
2. Правила дифференцирования:
- производная суммы;
- производная произведения;
- производная частного;
- производная сложной функции;
в это время устно по таблице производных нахождение производных (можно проверить таблицу)
Реклама. Приложение 3.ppt
Знания таблицы и правил - это надежный шаг к решению многих задач. Знайте производную.
Найти производные:
- у = х + 5,
- у =
х + 2, - у =
, - у =

- у = 5 sin x,
- y = 7cos x -1,
- у =
, - у = 2x tg x ,
- у =
; - у = 3
-2х + 3
у =
.
Реклама. Выполнение тестов - надежный путь в сдаче ЕГЭ
III. Тестирование (определить время работы)
1. Найдите производную функции у = 3
- 12х.
1)
= 3 (7
- 4х);
2)
= 12 - 21
;
3)
= 3 (7
- 4);
4)
= 21
+ 4.
2. Найдите значение производной функции
в точке х0 = 3.
1) 3;
2) 0;
3) - 2;
4) - 3.
3. Решите уравнение f / (x) = 0 , если f (x) = (x2 - 2)(x2 + 2).
1) 1;
2) -1;
3) 2;
4) 0.
4. Найдите значение производной функции у = 3
в точке х0 = 0.
1) 13;
2) 1;
3) 2;
4) 0.
5. Найти производную функции у = ![]()
1) 2sin 2x -3 cos3 x;
2)2 cos2x+3 sin3x;
3) 2 cos2x -3 sin3x;
4) 2 cosx - 3 sin x.
Ответы к тесту:
| № задания | 1 | 2 | 3 | 4 | 5 |
| № ответа | 1 | 1 | 4 | 2 | 2 |
Слайд 17 учащиеся выполняют задание уровня "В" и "С" в тетрадях..
В 1. Выяснить при каких значениях х производная функции принимает положительные значения.
f(x) = (x+2)2.![]()
В 2. Найти производную y = 2 ln x - 3
+ 5.
1)
;
2) 2x - 3x ln 7;
3)7x - 3;
4)
+ 8x.
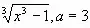
С 1. Найти все значения а, при которых f / (х)
0 для всех действительных значений х, если f
/ (х) = х3 + 3х2 + ах.
С 2.
Найдите производную функции f (х) =
в точке
=
.
| № задания | В 1 | В 2 | С 1 | С 2 |
| Ответы | х > 0 | 1 | а > 3 | 0 |
IV. Проверка усвоения теории
- геометрический смысл производной;
- уравнение касательной.
Геометрический смысл производной. Уравнение касательной.
Производная в точке х равна угловому коэффициенту касательной к графику функции у = f(x) в точке, абсцисса которой равна х
k= tg
=
(х);![]()
Опр. Касательная - это прямая, поэтому её уравнение У = kx + b
2. Найдем k = tg![]()
k=![]()
3. Найдем b: точка
принадлежит касательной, поэтому ![]()
b = ![]()
4. Уравнение касательной : у =
х + (
-
);
![]()
Задания из домашней работы (на доске)
1) Найти угловой коэффициент касательной к графику функции у = 2 tg x ,
=
.
2) Найти тангенс угла между касательной к графику функции у = - 4ctg x в точке с абсциссой
и осью х.
Самостоятельно (одно уравнение)
Напишите уравнение касательной к графику функции у = f(x) в точке с х = а
У =
;
У =
;
У=
.
У = ![]()
1.
= 2
2.
= -8
3.
= ![]()
4.
= - 4
5. у = - 4 (х - 2) - 8;
у = - 4 х - уравнение касательной.
Приложение 6.ppt Реклама
Беспрепятственно решать любые примеры, связанные с производной, Вам помогут выполнение домашних заданий и самостоятельных работ на уроке.
V . Самостоятельная работа
Вариант 1
1. Найдите производную: а) у = 2
б) у =
.
2. Напишите уравнение касательной к графику функции у = 5х - 3 +
в точке с абсциссой, равной 1.
Вариант 2
1. Найдите производную функции: а) у = 3
б) у =
.
2. Напишите уравнение касательной к графику функции у = 2х +5 -
в точке с абсциссой, равной -3. Приложение
7.doc
Вариант 1
Ответы:
1.а) 2
;
б) - 2
.
2. у = 6 х - 3.
Вариант 2
а) 3
;
б) 5
.
2. у = х + 1
Реклама. Обширные знания по "Производной" помогут Вам поступить в высшие учебные заведения.
VI. Сообщение ученика
К дифференцированию прибегают, когда встает вопрос о скорости изменения функции по мере изменения аргумента.
- Вы знаете Зося - убеждал Остап Бендер Зосю Синицкую, на каждого человека, даже партийного, давит атмосферный столб весом 214 кило.
Остап с незнанием точных наук слишком занизил цифру. Названная им величина была бы справедлива для большой высоты над уровнем моря. Ведь атмосферное давление спадает с подъемом вверх, притом со все убывающей скоростью. Если Вам захочется определить эту величину, зная зависимость давления от высоты, к Вашим услугам операция дифференцирования.
Примеры задач:
- отыскание угловой скорости вращающегося тела
; - нахождение теплоемкости тела при нагревании С =
; - определение скорости химической реакции в данный момент времени;
- быстрота роста населения в данном городе и т. д.
- ученик определяет физический смысл производной
Пусть материальная точка М движется неравномерно по некоторой прямой. Каждому значению времени t соответствует определенное расстояние ОМ = S до некоторой фиксированной точки О. Это расстояние зависит от истекшего времени t , т. е. S=S(t).
Требуется найти скорость движения точки. Если в некоторый момент времени t точка занимает положение М, то в момент времени t+
t точка занимает
положение
, где О
Таким образом, перемещение точки М за время
будет
.
Отношение
выражает среднюю скорость движения точки за время t:
.
Средняя скорость зависит от
: чем меньше оно, тем точнее средняя скорость выражает скорость движения точки в данный момент времени
t.
Предел средней скорости движения при стремлении к 0 промежутка времени
называется скоростью движения точки в данный момент времени (или мгновенной
скоростью).
. Мгновенная скорость определена для любой дифференцируемой функции s(t), при этом V(t) =
.
Производная от координаты по времени есть скорость.
Обобщая, можно сказать, что если функция описывает какой-либо физический процесс, то производная есть скорость протекания этого процесса. В этом состоит физический смысл.
Учащиеся решают одну из задач, проверка ответов
Задачи из различных областей наук.
№ 1. Тело движется по прямой согласно закону х(t). Запишите формулу для нахождения скорости и ускорения тела в момент времени t.
№ 2. При движении тела по прямой S от начальной точки меняется по закону S(t)=
(t - время движения в часах). Найдите
скорость через 1 час после начала движения.
1) 2;
2) 1,5;
3) 0,1;
4) 0,5.
№ 3. Материальная точка массой 5 кг движется прямолинейно по закону S(t) = 2t +
, где S - путь в метрах, t - время в
секундах. Найдите силу, действующую на точку в момент t = 4 с.
Ответ: -5/32Н.
Примерами применения производной также могут служить задачи на нахождение: удельной теплоемкости вещества данного тела, линейной плотности и кинетической энергии тела и т.д.
Приложение 9.ppt Реклама
Изучение производных поможет Вам быстро и правильно принимать решения в различных ситуациях, так как Вы уже учитесь думать, преодолевать трудности и рассуждать, а это всё ведет к приобретению мудрости. Слайд 26
VII. Подведение итогов. Оценивание учащихся
Слайд 27 (ориентировать на расширение рамки, так как на следующих уроках рассмотрим применение производной).
Приложения
- pril1.ppt (117.76 КБ)
- pril2.ppt (24.06 КБ)
- pril3.ppt (144.90 КБ)
- pril4.doc (33.28 КБ)
- pril5.doc (22.02 КБ)
- pril6.ppt (37.89 КБ)
- pril7.doc (19.46 КБ)
- pril8.doc (32.77 КБ)
- pril9.ppt (47.10 КБ)