Конспект урока по теме: "Логарифмическая функция"
Цели урока:
- Обобщить основные теоретические сведения и приемы решения упражнений по данной теме. Учиться применять полученные знания для решения комплексных упражнений, уметь использовать ранее пройденный материал.
- Применять различные методы рассуждений: индукцию и дедукцию, анализ и синтез, конкретизацию и обобщение, развивать числовую зоркость, внимание, различные виды памяти.
- Приучать к четкости и аккуратности, умению выполнять задания в строго ограниченное время.
Оборудование: настенные таблицы, компьютер, мультимедийный проектор, раздаточный материал.
ХОД УРОКА
1. Введение в урок, сообщение целей и задач, знакомство с планом работы.
2. Выполнение устных упражнений и повторение основных теоретических фактов:
- Определение логарифма числа.
- Простейшие свойства логарифмов (Слайды 1, 3).
- Логарифмическая функция, ее свойства и график. График показательной функции (Таблица).
3. Проверка домашнего задания (№ 1485) (Слайды 5, 7).
4. Устные упражнения (запись ответов на пластиковых досках). Слайды 9-19. Анализ выполнения задания.
5. Выполнение теста
Тест
Укажите промежуток, которому принадлежит корень уравнения
.
1) 2) 3) 4) Укажите, какая из данных функций не является ни четной, ни нечетной
1) 2) 3) 4) Найдите значение выражения
1)26 2)-13 3)-3,7 4)5 Укажите, какое из следующих неравенств является верным
1) 2) 3) 4) Найдите область определения функции
1) 2) 3) 4)
6. Проверка выполнения теста. Слайд 20.Анализ выполнения теста.
7. Выполнение заданий части В и выполнение индивидуальных заданий (по части А)
Индивидуальные задания
- Найдите область определения функции

- Укажите наименьшее целое число, для которого функция
определена. - Пользуясь определением логарифма, решите уравнение

- Вычислите

Решение упражнений группы В
- Укажите наибольшее целое число из области определения функции
. Самостоятельное решение с последующей проверкой и комментированием
(Слайд 22-23).
- Найдите сумму целых чисел из отрезка
, принадлежащих области определения функции
.Выполнение задания на доске. - Найдите наименьшее значение функции
. Анализ решения по слайду 27.
Учащиеся, успешно справившиеся с выполнением задания части В, приступают к выполнению задания части С.
Учащиеся, выполнявшие индивидуальные задания, получают лист самоконтроля.
![]()

![]()
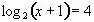
1. 
Наименьшее целое число из области определения 7.
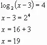
2. 
Ответ: 19
3. ![]()
8. Проверка выполнения заданий части С теми учащимися, которые приступили к его выполнению.
- Найдите множество значений функции
. Анализ решения по слайду 29.
- *Найдите область определения функции
. Ученик излагает план своего решения на доске.
9. Домашнее задание
- Составить свой вариант зачетной работы по модели ЕГЭ по теме "Логарифмическая функция" и решить его ( части А и В)
- *Из области определения функции
взяли все целые положительные числа и сложили их. Найдите все положительные значения
a, при которых такая сумма будет больше 9, но меньше 13. - *Решите уравнение

10. Софизм "2 больше 3" (Слайд 31).
11. Итог урока