Степень с рациональным показателем
Цели урока:
- Повторение и систематизация сведений о степени числа; знакомство с понятием степени с рациональным показателем и ее свойствами.
- Развитие практических навыков вычисления значения степени с рациональным показателем с использованием ее свойств.
- Продолжение работы по развитию умений анализировать, сравнивать,
- выделять главное, определять и объяснять понятия.
- Формировать коммуникативные компетентности, умения аргументировать свои действия, воспитывать самостоятельность, настойчивость.
Тип урока: урок изучения и первичного закрепления новых знаний.
Ход урока
1. Математическая разминка «Синхронное письмо»
Возьмите 2 карандаша (или 2 ручки). Одновременно рисуйте различные фигуры. Можно писать слова, но чтобы они были одинаковы по количеству символов.
Польза упражнения: Помогает справляться с решением сразу нескольких задач, стимулирует одновременную работу правого и левого полушария (слайд 3)
2. Актуализация опорных знаний
а) Повторение темы «Корень n-й степени», «Свойства степени с целым показателем».
* Задание: Восстановить пропуски (устно)
1. Корень n-й степени из числа а - это такое число, n-я степень которого равна .......

* Задание: Найдите ошибку (устно)

Ответы:
Ошибки в равенствах 2, 3, 5, 7

3. Физкультурная пауза (слайд 10)
4. Знакомство с новым материалом

Из данного примера можно сделать вывод: Если n - натуральное число, n ≥ 2, m - целое число, то при а > 0 справедливо равенство:
![]()
Отметим, что все свойства степени с целым показателем, которые мы с вами повторили, верны для степени с любым рациональным показателем
Примеры:

5. Первичное закрепление изучаемого материала
Работа с учебником: №191, №192, №193
6. Проверь себя: Математический диктант (слайд 16)
Вариант 1
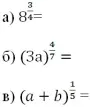
№1. Представьте выражение в виде степени с рациональным показателем

№2.Представить выражение в виде корня

№3. Вычислите

Вариант 2
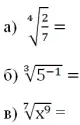
№1. Представьте выражение в виде степени с рациональным показателем

№2. Представить выражение в виде корня

№3. Вычислите

7. Подведение итогов урока
Информация о домашнем задании: теория, №195, №248.