Использование метода рационализации при решении логарифмических неравенств
Скачать презентацию (1.85 МБ)
Цель: рассмотреть способы решения логарифмических неравенств на основе использования метода рационализации; способствовать выработке навыков применения равносильных преобразований, быстро приводящих логарифмические неравенства к рациональным неравенствам.
1. Организационный момент. Постановка целей урока.
Использование логарифмов в жизни.
Астрономия. "Звездная величина" представляет собой логарифм её физической яркости по основанию 2,5.

Физика. Вредное влияние промышленных шумов на здоровье рабочих и на производительность труда побудило выработать приемы точной числовой оценки громкости шума. Громкость шума, равна десятичному логарифму его физической силы.

Психология. Психофизический закон Вебера-Фехнера: ощущения, воспринимаемые органами чувств человека, могут вызываться раздражениями, отличающимися друг от друга во много миллионов раз. Опыты показали, что организм как бы "логарифмирует" полученные им раздражения, т.е. величина ощущения пропорциональна натуральному логарифму величины раздражения.

Музыка. Нажимая на клавиши современного рояля, мы, можно сказать, играем на логарифмах. Номера клавишей рояля = log2(числа колебаний соответствующих звуков). Не случайно Ч. Дарвин говорил: "У людей, усвоивших великие принципы математики, одним органом чувств больше, чем у простых смертных".

А нам, ученикам 11 класса нужны логарифмы? Безусловно. Эта тема находит применение и в части В, и в части С.
Поэтому мы начнем урок с более простых заданий, а к концу занятия попытаемся решить задание №17 из демоверсии 2015 года:

2. Обобщение материала по теме.
А) Начнем с разминки, Для преобразований нам понадобятся формулы. Давайте их вспомним и восстановим пропуски:

Б) Вычислите

В) Следующее задание выполним в тетради. Решите уравнение и выберите наибольший корень уравнения:
![]()
Г) Математический софизм - это такое суждение, в котором неправильные ложные предпосылки (действия) выдаются за истинные, в результате чего мы приходим к нелепым выводам (умозаключениям). Здесь заведомо замаскировывается ошибка, которая приводит к абсурдному результату. Разобрать софизм - значит найти его ошибку.

Где допущена ошибка?
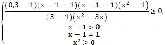
Д) Какой системе равносильно неравенство?

Е) Для выполнения следующего задания, давайте наметим план решения логарифмических неравенств:

![]()
![]()
(за обратной доской 3 человека показывают решение с последующей проверкой и обсуждением)
3. Объяснение нового материала.
При решении иррациональных, показательных и логарифмических неравенств в задании С3, в различных сборниках, тренировочных вариантах ЕГЭ используются, в основном, стандартные методы решения, которые, иногда, трудоемки и занимают много времени.
Метод рационализации позволяет упростить и сократить время решения данных неравенств. Этот метод заключается в замене сложного выражения на более простое, равносильное данному на области определения, выражение. Использование данного метода не только упрощает решение, но и сокращает количество ошибок при решении задания С3.
Теорема 1. Для чисел a, b, c таких, что
верно утверждение: неравенства
и
равносильны.
Теорема 2. Для всех допустимых значений a, b, c и d верно утверждение: неравенства
и
равносильны.
Теорема 3. Для всех допустимых значений a, b, c верно утверждение: неравенства
и
равносильны.
4. Решим следующие неравенства: ![]()
Решение:
С учетом ОДЗ и по теореме 3 имеем:

Ответ:
.
Решение:
Преобразуем знаменатель:
С учетом ОДЗ и с использованием теорем 2 и 1 имеем:

Ответ:![]()
Решим задание из демоверсии 2015 года №17:
![]()

Значит,
.
С учетом ОДЗ и по теореме 3 имеем:

Ответ:
.
5. Задания для самостоятельного решения.
Ответ:
Ответ:
Ответ:
Ответ:
Ответ:
6. Подведение итогов.
7. Дополнительно использованные ресурсы.
- А.Г. Мордкович, П.В. Семенов. Алгебра и начала анализа. 11 класс. Учебник профильного уровня. - М.: Мнемозина;
- А.Г. Мордкович, П.В. Семенов. Алгебра и начала анализа. 11 класс. Задачник профильного уровня. - М.: Мнемозина;
- Л.А. Александрова Алгебра и начала анализа. Самостоятельные работы 11 класс. - М.: Мнемозина;
- А.Г. Мордкович, Е.Е. Тульчинская. Алгебра и начала анализа, 10 - 11 класс. Контрольные работы. - М.: Мнемозина;
- Л.О. Денищева, Т.А. Корешкова. Алгебра и начала анализа, 10 - 11 класс. Тематические тесты и зачеты. - М.: Мнемозина;
- Математика . Подготовка к ЕГЭ - 2014. Решаем задание С3 методом рационализации: учебно-методическое пособие/ Под ред. Ф.Ф. Лысенко , С.Ю., Кулабухова - Ростов-на-Дону: Легион, 2013.
- КоряновА.Г., ПрокофьевА.А., Математика ЕГЭ - 2011. Типовые задания С3. Методы решения неравенств с одной переменной.
- http://math.reshuege.ru/









