Урок геометрии на тему «Площадь прямоугольника». 9-й класс

04.05.2015

Скачать презентацию (695.30 КБ)

Форма урока: комплексное использование фронтальной, групповой, индивидуальной работы с учащимися.

Тип урока: Урок применения знаний, умений и способов деятельности.

Методическое обеспечение урока: на основе информационно-коммуникативных, личностно-ориентированных, технологии развивающего обучения, создаются условия для формирования познавательных, регулятивных, коммуникативных УУД; на основе овладения учащимися понятий “площадь простой фигуры” формируются умения находить площадь прямоугольного треугольника, на основе знаний площади квадрата и прямоугольника. Развитие исследовательской компетентности учащихся при решении нестандартных задач; личностных УУД через пробуждение интереса к процессу моделирования путем использования посильных задач, учебных программных средств, позволяющих ученику работать в соответствии с его индивидуальными способностями. Способствовать обогащению внутреннего мира учащихся, воспитание культуры поведения и математической грамотности.

Средства обучения: ножницы; геометрические фигуры из бумаги: два равных прямоугольника, одна сторона у которых больше другой в два раза; чертежные инструменты; мультимедийный проектор, презентация в Powerpoint.

Приемы для формирования общеучебных умений и навыков: фронтальная беседа, самостоятельная индивидуальная работа, самоконтроль, групповая работа, рефлексия.

ХОД УРОКА

Этапы урока. Цели Деятельность учителя Деятельность ученика Планируемые результаты
I. Организационный

Цель: Формирование навыка научной организации труда

1. Учитель проверяет готовность класса к уроку.
2. Настраивает класс на продуктивную деятельность

СЛАЙД 1

3. Повторяет с учащимися правила техники безопасности работы с ножницами.

Готовятся к работе: проверяют организацию рабочего места.

 

 

 

Обсуждают с учителем правила техники безопасности

Регулятивные УУД (универсальные учебные действия) на основе умения организовать рабочее место

Коммуникативные УУД на основе инициативного сотрудничества в поиске информации, умения выражать свои мысли

II. Актуализация прежних знаний:

Цель: 1) первичная проверка усвоения пройденного материала, необходимого и достаточного для усвоения нового;

2) Выделить главные аспекты ранее изученных знаний для изучения на их основе новых знаний и способов деятельности;

3) Мотивация учащихся на предстоящую деятельность.

СЛАЙД 2

Организует фронтальный опрос учащихся

Какие фигуры построены? Как они называются?

Как найти площадь данного многоугольника?

СЛАЙД 3

Отвечают на вопросы, воспроизводят изученный материал прошлого урока, устанавливают причинно-следственные связи между объектами.

(Многоугольники, равной площади, равновеликие)

(Разделить его на треугольники)

Познавательные УУД на основе умения извлекать необходимую информацию из прослушанной и увиденной информации, умения определять основное и второстепенное, устанавливать причинно-следственные связи

Коммуникативные УУД на основе самооценки и самоанализа собственных учебных достижений.

Чему равна площадь квадрата?

Назовите единицы измерения площади, те, в которых не используется слово “квадратные”? Какова площадь данного квадрата?

(S=a2)

(ар, гектар)

(9 см2)

 

СЛАЙД 9

Тест (с использованием компьютерной презентации)

СЛАЙДЫ 4–8

Предлагает сформулировать тему и цель урока

Формулируют тему урока, ставят цели, пытаются сформулировать способы деятельности
Решение задач с комментированием

СЛАЙД 10

1. S квадрата со стороной 9 м.

2. S прямоугольника a=2 см, b=14 мм.

3. S прямоугольника a=? см, b=1,2 дм.

4. Длину прямоугольника, если его S=30 дм2, а ширина 12 см.

5. Периметр квадрата, если S =49 м2.

6. Как изменится S прямоугольника, если сторону увеличить в 3 раза?

7. Как изменится S прямоугольника, если каждую сторону увеличить в 2 раза?

 

1) a=9 см, S=a2, S=92=81(м2)

2) a=2 см, b=14 мм=1,4 см, S=ab, S=2*1,4 =2,8(см2)

3) a= 3/4 см, b=1,2 дм =12 см, S=ab, S= 3/4 *12 =9(см2)

4) a=12 см, S=30 дм2, S=ab, b= S/a =30/1,2 = 25(дм)

5) a=? см, S=49 м2, S=a2, a=7(м), P=4a, P=28м

6) Площадь увеличится в 3 раза

7) Площадь увеличится в 4 раза

III. Первичное восприятие и усвоение теоретического материала Сравнить площади заштрихованных и не заштрихованных частей квадрата и прямоугольника, изображенных на рисунке (учесть, что точки M, N, P, O – середины сторон).

СЛАЙДЫ 11–14

Разбивка класса на пары. Работают с цветными заготовками и отвечают на вопросы.

Эмпирическим путем выводят формулу площади прямоугольного треугольника

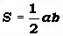
Площадь прямоугольника вычисляется по формуле S=ab, т.к. треугольники прямоугольные и равные между собой, то площадь прямоугольного треугольника вычисляется по формуле:

Познавательные УУД на основе умения извлекать необходимую информацию из различных источников. Коммуникативные УУД на основе инициативного сотрудничества совершенствуют владение диалогической формой речи
Задачи на развитие пространственного воображения:

СЛАЙД 15

1) Разделите прямоугольник на две части так, чтобы из них можно было сложить равнобедренный прямоугольный треугольник

СЛАЙД 16

2) Разделите прямоугольник на три части так, чтобы из них можно было сложить квадрат

Продолжают работу в группах. Решают задачи на бумажных заготовках.
IV. Применение теоретических положений

Цель: первичное применение технологии решения задач на составление табличных моделей, усвоение работы по алгоритму

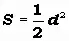
Пример. Найдите площадь квадрата, диагональ которого d=8см.

СЛАЙДЫ 17–19

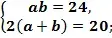
Если d=8см, , то (см2)

Решение:

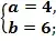
1) Рассмотрим треугольник TMN, он прямоугольный и равнобедренный, т.к. NT – биссектриса прямого угла. Значит, NM=MT=6 см.

2) Итак, стороны прямоугольника равны 6 см и 14 см, т.к. LM=LT+TM.

S=ab=6 * 14=84 (см2)

Ответ: 84 см2

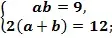
Решение:

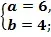
1) Р=2(a+b), а и b – стороны прямоугольника, т.к. а=2b, то Р=2(a+b)=2(2b+b)=6b.

6b=18, b=3(см). Значит, a=6 см.

2) Т.к. диагональ равновеликого квадрата равна большей стороне прямоугольника, то d=a=6 см.

Ответ: 6 см

Правильное воспроизведение образцов выполнения заданий, безошибочное применение алгоритмов и правил при решении учебных задач

Регулятивные УУД через усвоение алгоритмов решения, познавательные УУД на основе понимания сущности решения задач, коммуникативные – общение с учителем на основе умения задавать “умные вопросы”

V. Закрепление знаний и способов деятельности

Цель: самооценка, самоанализ и коррекция результатов деятельности

СЛАЙД 20 Ответы к самостоятельной работе

Вариант 1

1)

2) 360 штук.

3) 12 м

Вариант 2

1)

или

2) 450 штук.

3) 12 м

Познавательные УУД – формирование прочных знаний и умений применять изученные формулы площади на практике. Личностные УУД на основе самооценки и самоанализа собственный учебных достижений
VI. Подведение итогов, рефлексия, домашнее задание

Цель: подведение итогов и самооценка способов деятельности по овладению новых знаний

Домашнее задание:

СЛАЙД 21

Проводит рефлексию.

Записывают домашнее задание, комментируют, фиксируют рекомендации.

Анализируют собственные достижения по теме урока.

Регулятивные УУД – на основе самоанализа выявить пробелы в знаниях и планирование деятельности по устранению этих пробелов

Использованные материалы:

  • https://urok.1sept.ru/articles/419529/

a_id: 656883