«Решение логарифмических неравенств». 11-й класс
Скачать презентацию (837.12 КБ)
Цели урока:
Образовательные:
- Повторить методы решения логарифмических неравенств.
- Привести знания по теме в целостную систему.
- Повторить традиционный способ решения логарифмических неравенств, содержащих переменную в основании.
- Открыть и освоить новые способы решения логарифмических неравенств (метод рационализации).
- Формировать практические навыков решения логарифмических неравенств на основе изученного теоретического материала.
- Закрепить навыки решения логарифмических неравенств из заданий ЕГЭ: С3.
Деятельностные:
- Знакомятся с новым общелогическим методом рассуждений.
- Становятся субъектами деятельности.
- Учатся критически оценивать свои знания.
- Формируют эмоционально-ценностное отношение к своей учебной деятельности, что ведёт к развитию качеств личности: нравственным, эстетическим, познавательным, трудовым.
Задачи урока:
- Научить оперировать имеющимся потенциалом знаний по теме "Логарифмические неравенства" в конкретной ситуации.
- Закрепить основные методы решения логарифмических неравенств, предупредить появление типичных ошибок.
- Предоставить каждому учащемуся возможность проверить свои знания и повысить их уровень.
- Вовлечь учащихся в активную практическую деятельность.
- Воспитывать у учащихся чувство ответственности, уверенности в себе.
Технические средства обучения: мультимедийное оборудование
Раздаточный материал: карточки, работы в парах (группах); листы самооценки, критерии самооценки.
| Этапы работы | Содержание этапа | |
| 1 |
Организационный момент:
Цель, которую хочет достичь учитель на данном этапе: Способствовать подготовке учащихся к эффективной работе, вызвать интерес учащихся к учению, желание узнавать новое, ранее неизвестное. Цель, которая должна быть достигнута учащимися: Подготовиться к эффектив-ной работе на уроке. Задачи: Создать положительный эмоциональный настрой для работы, мотивацию самоопределения к учебной деятельности. |
- Здравствуйте, ребята! Посмотрите друг на друга, улыбнитесь и с хорошим настроением начнем урок.
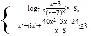
- Проверим готовность к уроку. Слайд № 2. Эпиграф к уроку. "Если Вы хотите научиться плавать, то смело входите в воду, а если хотите научиться решать задачи - решайте их". Д.Пойа. Учитель: В открытом банке ЕГЭ 2014 года в части С3 предложено задание: Решите систему неравенств
Однако, его решение вызывает затруднение у учащихся. По статистике за 2013 год только10% приступали к его решению. Наша задача попасть в эти 10%. За одно правильно решенное неравенство дается один балл. И это неравенство - логарифмическое. Мы должны уметь его решать. Итак, как Вы , наверно уже догадались, тема сегодняшнего урока... Учащиеся: Логарифмические неравенства. Учитель: Мы продолжаем решать логарифмические неравенства, осваивая различные способы. Ваша работа будет происходить в несколько этапов, каждый из которых будет оцениваться либо с помощью взаимопроверки, самопроверки или мною лично. |
| 2. |
Опрос учащихся по заданному на дом материалу.
Цель, которую хочет достичь учитель на данном этапе урока: создать условия для актуализации знаний учащимися по теме "Логарифмические неравенства" ; формировать умение на основе анализа объектов делать выводы; сформировать мотивацион-ную основу деятельности учащихся, понимание ими актуальности темы, умение осуществлять познавательную и личностную рефлексию. Цель, которая должна быть достигнута учащимися:
развивать мыслительные логические операции; формировать устную монологическую научную речь, оперируя математическими терминами. Задачи: воспроизвести опорные знания, корректировать допущенные ошибки. Методы: беседа, фронталь-ный, анализ объектов, нагляд-ный, повторение и закрепле-ние знаний, создание ситуа-ции успеха, дифференцирован-ный (групповой). Метод контроля (дифференцирован-ный): три типа заданий различной сложности. Взаимопроверка. Самопроверка. Использование элементов ИКТ. |
Учитель: Какие преобразования используют при решении неравенств?
(Учащиеся: Возведение в чётную или нечётную степень, логарифмирование, потенцирование, применение формул, позволяющие привести неравенство к более простому виду.) Учитель: Продолжите фразы:
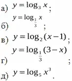
Слайд № 3. 1.Вычислите: а) logv39; б) log162; в) log2 32 2. Упростите: а) log 3 8 + log 32; б) в) 2log 3 4 - log 3 8 3. Известно, что Учитель: Что может произойти с множеством решений неравенства в процессе преобразований? (Учащиеся: Множество решений либо не меняется, либо расширяется (можно получить посторонние решения), либо сужается (можно потерять решения). Учитель: Поэтому важно знать какие преобразования неравенств, являются равносильными и при каких условиях. Какие свойства логарифмической функции применяются при решении неравенств? (Учащиеся: При решении необходимо учитывать область определения и монотонность логарифмической функции. Если а >1, функция возрастает, а если 0<а<1, то функция y = log ax убывает.) Слайд № 4. Найдите область определения функций:
Слайд № 5. Какой системе равносильно неравенство:
Слайд № 6. Учащимся предлагается проанализировать готовое решения логарифмического неравенства, в котором присутствуют скрытые ошибки. Найдите ошибку в решении неравенства: log8 (5х-10) < log8(14-х), 5x-10 < 14-x, 6x < 24, x < 4. Ответ: х Ошибка: не учтена область определения неравенства. Верное решение: log8 (5х-10)< log8(14-х)
Ответ: х Слайды № 7-9. Проверка домашней работы (взаимопроверка с помощью презентации, где демонстрируются правильные ответы. Учащиеся находят и исправляют ошибки, фиксируя результаты проверки в лист оценивания). Учитель: Вы неплохо справились с домашним заданием. Для открытия новых приёмов и способов действий нужно повторить изученный материал. Учитель: Какие основные методы решения неравенств вы применяли в домашней работе? (Учащиеся: - Определение логарифма; - потенцирование; - введение новой переменной.) Учитель: Дома вы должны были подобрать неравенства своей группы (для своего метода решения), решить их. Решение одного из них предложить классу, сделать презентацию. Оценивание будет в течение урока. Лист оценивания находится у старшего группы. Сейчас мы послушаем отчет каждой группы. (Один представитель от каждой группы выходит к доске и объясняет ход решения, оперируя известным материалом.) Защита презентаций. Слайд № 11. 1 группа. По определения логарифма. Слайд № 12. 2 группа. Метод потенцирования. Слайд № 13. 3 группа. Метод подстановки. Самостоятельная работа (7 мин, три уровня сложности). Каждый учащийся выбирает сам, какие неравенства решать. Слайд № 14.
Слайд № 15. Ответы. Учащиеся проверяют ответы (самопроверка), оценивают и результаты заносят в лист оценивания. |
| 3. |
Изучение нового учебного материала.
Цель, которую хочет достичь учитель на данном этапе урока:формировать умение применять знания в новой ситуации; систематизировать знания о некоторых нестандартных способах решения; развивать умение распознавать рациональ-ность применения того или иного способа; прививать интерес к математике; воспитывать математичес-кую грамотность ученика. Цель, которая должна быть достигнута учащимися: открыть новые приёмы, алгоритмы, изучить способы решения логарифмических неравенств, содержащих переменную в основании; осмыслить применение способов и приёмов; выработать умение и соответствующий навык. Задачи: формировать и поддержи-вать мотивационную основу учебной деятельности, кото-рая направлена на решение неравенств повышенного уровня сложности, положи-тельное отношение к процес-су познания; воспитывать у учащихся чувство ответст-венности, уверенности в себе; вовлечь учащихся в активную практическую деятельность. Методы и приёмы: иллюстративно-репродук-тивный, частично поисковый; использование элементов ИКТ; использование имеющихся знаний в изменённых условиях; решение проблемных задач. |
Слайд № 16. Учитель: Мы рассматривали решение логарифмических неравенств, содержащих в основании число. А теперь рассмотрим решение логарифмического
неравенства, содержащего переменную в основании.
Основания одинаковые, однако, будет ли смена знака?! Учащиеся приходят к необходимости рассмотрения двух случаев: 0<x<1 ; x>1. Слайд № 17. К доске приглашаются представители 4 группы и идет обсуждение решения логарифмических неравенств, содержащих переменную в основании. (Учащиеся: записывают решение в тетрадь, при этом указывают опорные знания. В обсуждении этапов решения участвуют ребята разных уровней. Акцентируют внимание на необходимых свойствах логарифмов. Отрабатывается метод решения логарифмических неравенств, содержащих неизвестное в основании (рассмотрение двух случаев). Создаётся атмосфера сотрудничества "ученик - ученик", что способствует развитию коммуникативных навыков). Учитель: Существует другой способ решения таких неравенств? (Учащиеся: Да. Для решения сложных логарифмических неравенств существует способ рационализации). Учитель: Это способ нам сейчас покажет представители 5 группы. У каждого из Вас на парте лежит таблица. Вот ей мы сейчас и воспользуемся. Слайд № 18. К доске приглашаются представители 5 группы и идет обсуждение решения логарифмических неравенств, содержащих переменную в основании, методом рационализации. (Учащиеся: записывают решение в тетрадь, при этом указывают опорные знания. В обсуждении этапов решения участвуют ребята разных уровней. Школьники учатся самостоятельно и оптимально организовывать свой труд, оценивать свои действия. Происходит осмысление проведённой учащимися математической деятельности, связанной с получением новых знаний. Учитель: Старшие в группах оценивают вклад каждого учащегося при работе над своей группой неравенств дома и в классе. Поставьте в своих листах оценки. Наша задача теперь все эти решения объединить в одну презентацию. |
| 4. |
Закрепление учебного материала.
Цель, которую хочет достичь учитель на данном этапе урока: создать условия для закрепления навыков решения логарифмических неравенств из заданий ЕГЭ: С3. Цель, которая должна быть достигнута учащимися: проанализировать значимость собственного вклада в совместно полученные результаты; свой уровень усвоения новых знаний и способов работы, собственное эмоциональное состояние. Задачи: обратить внимание учащихся на оформление; подвести итог, акцентировать внимание учащихся на главном; мобилизовать учащихся на осмысление собственной деятельности на уроке. Методы и приёмы:
|
Учитель: А теперь вернемся к нашей системе из ЕГЭ, К доске выходит заранее подготовленный ученик и решает первое неравенство, затем выходит другой и доводит решение до конца. (Учащиеся: записывают решение в тетрадь).
Учитель: Сегодня на уроке мы освоили различные приёмы и методы: использование свойств логарифмов для введения новой переменной, решения логарифмических неравенств, содержащих неизвестное в основании (рассмотрение двух случаев); применение ранее изученных неравенств и их комбинированное использование; при этом каждый раз учитывали логарифмическую специфику. Эти умения помогут нам при выборе более рационального пути в решении задач. Все эти решения мы объедим в одну презентацию, которая поможет вам при решении заданий Рефлексия. Учитель: Дайте характеристику вашей сегодняшней деятельности в соответствии с темой урока. - В каких новых ситуациях вы использовали свои знания? - Какой целый опыт приобрели? - Проанализируйте свою работу в группах. (Учащиеся совместно с учителем обсуждают уровень достижения поставленных целей) Учитель: Перед вами лежат карточки с пословицами. Ответьте на вопрос. Слайд № 18. Какая из пословиц выражает состояние вашей души? Почему?
|
| 5. |
Задание на дом.
Цель, которую хочет достичь учитель на данном этапе урока: продолжать форми-ровать умение самостоя-тельно добывать знания из предложенных источников. Цель, которая должна быть достигнута учащимися: применять знания, полученные на уроке, для выполнения до-машнего задания в изменён-ных условиях. |
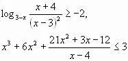
Учитель: В заключении домашнее задание. Опираясь на полученные знания решить неравенства.
Слайд № 19. Домашняя работа.
Слайд № 20. Учитель: На этом наш урок закончен, до скорой встречи! |






