Решение иррациональных уравнений с помощью понятия равносильности. 11-й класс
Скачать презентацию (1.15 МБ)
Цели урока:
- Закрепить навыки решения иррациональных уравнений;
- Научить выполнять переход от иррационального уравнения к равносильной системе или совокупности;
- Проверить в тестовой форме умения решать простейшие иррациональные уравнения.
Иррациональные уравнения мы будем повторять,
Метод равносильности, решая, применять,
Различные задания с их помощью решать,
Успехов на уроке хочу вам пожелать! (Слайды 2, 3)
Наш девиз: Математика уступает
Свои крепости
лишь сильным и смелым! (Слайд 4)
Ход урока
I. Организационный момент
Французский писатель Анатоль Франс (1844-1924) заметил: «Учиться надо только весело. …Чтобы переваривать знания, надо поглощать их с аппетитом».
Последуем совету писателя: будем на уроке активны, внимательны, будем «поглощать» знания с большим желанием, ведь они скоро вам пригодятся.
Перед нами стоит задача: повторить особенности решения иррациональных уравнений, научиться применять понятие равносильности уравнений для решения уравнений данного типа, осуществлять равносильный переход в процессе решения иррациональных уравнений, выполнить тестовую работу по решению простейших иррациональных уравнений. (Слайд 5)
Оценочный лист Ф. И. обучающегося________________________
|
Вид работы |
Устная работа |
Индивидуальная работа |
Самостоятельная работа |
Тестовая работа |
Дополнительное задание |
Всего баллов |
Оценка |
|
Число баллов |
|
|
|
|
|
|
|
(Слайд 6)
II. Равносильные переходы (повторение)
Два уравнения называются равносильными, если каждое решение первого уравнения является решением второго, и наоборот - каждое решение второго уравнения является решением первого.
Если оба уравнения не имеют решений на данном числовом множестве, то они тоже считаются равносильными на этом множестве. (Слайд 7)
1. Уравнение вида
= g(x)
Решение: Решением уравнения
= g(x) будет решение равносильной системы ![]()
2. Уравнение вида
· g(x) = 0.
Решение: Решением уравнения
· g(x) =0 будет решение равносильной совокупности систем ![]()
Замечание.Произведение равно нулю тогда и только тогда, когда один из множителей равен нулю, а остальные при этом имеют смысл.
3. Уравнение вида
= ![]()
Решение:Решением уравнения
=
будет решение одной из равносильных систем ![]()
Замечание.Выбирается одна из равносильных систем, а именно, та в которой неравенство более простое.
4. Уравнение вида
·
= 0.
Решение:Решением уравнения
·
= 0 будет решение равносильной совокупности
систем ![]()
5. Уравнение вида ![]()
Решение: Решением уравнения
будет решение равносильной совокупности систем
или
(Слайд 8)
III. Устная работа. Ученики получают карточки для устной работы, в которые записывают ответы; проверяют с помощью слайда правильность выполнения заданий и выставляют общее количество баллов в оценочный лист. (Слайд 9)
|
Задания |
Ответы |
|
1. Решите уравнения методом «пристального взгляда»: |
а) б) |
|
2. Равносильны ли уравнения |
|
|
3. Верно ли решено уравнение ![]() Ответ: 3. |
|
|
4. Ученику надо найти модуль разности корней уравнения ![]() |
|
|
За каждое верно выполненное задание по 1 баллу |
|
Ответы: 1. а) нет корней, б) х = 2; 2. Нет; 3. Да; 4. Ученик прав. (Слайд 10)
IV. Решение уравнений (Слайд 11)
Индивидуальная работа учащихся по вариантам. По одному ученику от каждого варианта выполняют это задание за крыльями доски, остальные - решают в тетрадях. Через 5 мин. проводится проверка и разбор затруднений учащихся по слайду. Учащиеся выставляют баллы в оценочный лист.
|
Выполните задание, применяя равносильный переход |
|
|
Вариант 1 Найдите наибольший корень уравнения |
Вариант 2 Найдите значение переменной х, при котором значение выражения |
|
Верно выполненное задание - 3 балла |
|
Решения (Слайд 12)
|
Вариант 1 ![]() Ответ: 3. Вариант 2 ![]() Ответ: -5. |
V. Самостоятельная работа обучающего характера (Слайд 13)
Ученики получают карточки с текстом работы, которая выполняется в тетрадях.
Цель самостоятельной работы: отработка умения осуществлять равносильный переход в процессе решения иррационального уравнения. Через 10 минут на слайде показаны решения всех заданий самостоятельной работы. Ученики осуществляют самопроверку. Для тех, у кого были затруднения, осуществляется разбор допущенных ошибок и предлагается дома выполнить работу над ошибками. Учащиеся выставляют баллы в оценочный лист.
|
Вариант 1 |
Вариант 2 |
|
1.Найдите сумму абсцисс всех точек пересечения графика функции 2.Найдите больший корень уравнения |
1.Найдите абсциссу точки пересечения графика функции 2.Найдите меньший корень уравнения |
|
За каждое верно выполненное задание по 3 балла |
|
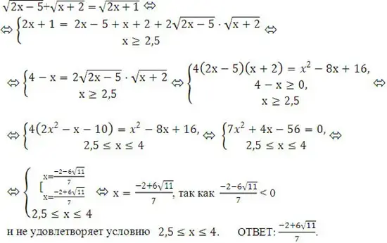
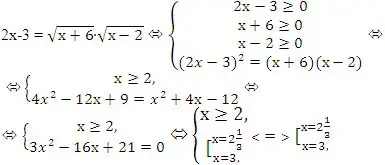
Решения самостоятельной работы:
Вариант 1 (Слайд 14)

Вариант 2 (Слайд 15)

VI. Тестовая работа контролирующего характера
Цели работы:
- Отработка навыков выполнения тестов;
- Проверка умения решать простейшие иррациональные уравнения.
Учащиеся получают карточку с заданиями и бланк для записи ответов. (Слайд 17)
|
Фамилия учащегося |
Номер задания |
Всего баллов |
Оценка |
||||
|
1 |
2 |
3 |
4 |
5 |
|||
|
|
|
|
|
|
|
|
|
Критерии оценивания тестовой работы:
|
|
Номер задания |
||||
|
1 |
2 |
3 |
4 |
5 |
|
|
Количество баллов |
2 б. |
2 б. |
3 б. |
3 б. |
3 б. |
Оценки: «5» - 13 баллов; «4» - 10-12 баллов; «3» - 7-9 баллов; «2» - менее 7 баллов.
|
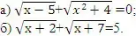
Вариант 1 |
Вариант 2 |
![]() |
![]() |
(Слайд 16)
Ответы тестовой работы:
|
Вариант 1
|
Вариант 2
|
(Слайд 18)
Тем учащимся, которые выполняют тест менее, чем за 15 минут, предлагается дополнительное задание: решите уравнение
(Слайд
19)
Решение дополнительного задания
Функция
возрастает на своей области определения, как сумма двух возрастающих функций
Значит, уравнение g(х)=2 имеет не более одного корня. Непосредственной проверкой убеждаемся, что g(1)=2, х=1. Найден корень х=1 и доказано, что других корней нет.
Ответ: 1.
Верное решение данного уравнения оценивается 3 баллами. (Слайд 20)
VII. Домашнее задание
Учащиеся получают карточки с домашним заданием: (Слайд 21)
- Найдите наибольшее значение переменной х, при котором равны значения выражений:

- Найдите произведение абсцисс всех точек пересечения графика функции

- Решите уравнение

- Найдите значение переменной х, при котором равны значения выражений

- Определите число корней уравнения

- Решите уравнение

VIII. Итоги урока
Учащиеся заполняют оценочный лист, подсчитывая общее количество баллов и выставляют себе оценку за урок в соответствии с критериями: (Слайд 22)
«5» - 27-30 баллов; «4» - 22-26 баллов; «3» - 15-21 балл; «2» - менее 15 баллов.
Учитель отмечает, что на уроке повторили решение простейших иррациональных уравнений, рассмотрели примеры применения равносильного перехода при их решении, выполнили тестовую работу. Причем, большую часть времени урока учащиеся работали самостоятельно.
По собранным оценочным листам учитель объявляет оценки за тест, а также за работу на уроке. Благодарит обучающихся за стремление «поглощать» знания с большим желанием.
IX. Карточки с дополнительным заданием
Успешно справляющимся учащимся с заданиями на различных этапах урока, учитель предлагал следующее дополнительное задание:
1. Сколько корней имеет уравнение ![]()
1) четыре; 2) два; 3) один; 4) нет корней.
2. Решите уравнение
(Слайд 24)
Решения и ответы:
1. 2.
2.

(Слайд 25)
Анализ качества усвоения материала
Проанализировав данные оценочных листов обучающихся на уроке «Решение иррациональных уравнений с помощью понятия равносильности», можно сделать определенные выводы о качестве усвоения учебного материала:
- Умение решать простейшие иррациональные уравнения показали все учащиеся класса, среди них по итогам тестовой работы «5» - 14% учащихся, «4» - 72%, «3» - 14%.
- Выполнение равносильного перехода при решении иррациональных уравнений вызывает затруднения у 14% учащихся, что свидетельствует о необходимости продолжения отработки данной темы.
- В целом же, оценки за работу на уроке следующие: «5» - 28%, «4» - 44%, «3» - 28%.





