Логарифмы. Логарифмические уравнения. 11-й класс
Цели урока:
- Образовательные: отработка умений систематизировать, обобщать свойства логарифмов, логарифмической функции; применять их при решении логарифмических уравнений; уметь применять различные методы решения логарифмических уравнений.
- Развивающие: развитие сознательного восприятия учебного материала, развитие зрительной памяти, развитие математической речи учащихся. Формировать навыки самообучения, самоорганизации и самооценки, способствовать развитию исследовательской и творческой деятельности учащихся.
- Воспитательные: формирование познавательной активности; воспитать у учащихся любовь и уважение к предмету, научить видеть в математике не только строгость, сложность, но и логичность, простоту и красоту. (Слайд 2).
ХОД УРОКА
1. Организационный момент
а) Дорогие ребята! Я надеюсь, что этот урок пройдет интересно, с большой пользой для всех. Очень хочу, чтобы те, кто еще равнодушен к царице всех наук, с нашего урока ушел с глубоким убеждением: Математика - интересный и очень нужный предмет. Для того, чтобы выполнить все задания, вы должны уметь применять все приобретенные знания по логарифму, поэтому эпиграфом нашего урока будут слова:«Усердие все превозмогает».
б) Объявление темы урока, его цели:
Сегодня на уроке мы будем повторять.
Все свойства логарифмов подробно вспоминать.
Логарифмические уравнения с О.Д.З. решать.
Задания ЕГЭ С части разбирать.
(Презентация. Слайд 3).
На столе у каждого ученика лежит лист самооценки. После каждого этапа урока я рекомендую вам его заполнять.
Лист самооценки
Фамилия, имя ____________________________________________________
|
№ п/п |
Этапы работы |
Достижения |
Количество баллов |
| 1 | Устная работа (1 балл) | Воспроизведение опорных знаний | |
| 2 | Исследовательская работа (6 баллов) | Исследование влияния преобразований логарифмических выражений на их О.Д.З. | |
| 3 | Диктант (по 1 баллу за верное выполнение каждого задания, max17 баллов) | Знание свойств логарифмической функции | |
| 4 | Самостоятельная работа (1-4 балла) | Умения учащихся применять разные методы при решении логарифмических уравнений | |
| 5 | Логарифмический софизм 2>3 (2 балла) | Умения учащихся применять свойства логарифмов | |
| 6 | Дополнительное задание (2-9 баллов) | Работа поискового характера. Умение решать нестандартные уравнения. |
Итоговое колличество баллов ____ Оценка ____
Критерии оценивания:
- «3» 10-15 баллов,
- «4» 16-30 баллов,
- «5» более 30 баллов. (Слайд 4).
2. Актуализация знаний
![]()
Логарифмом b по основанию a называется показатель степени, в которую надо возвести основание a, чтобы получить число b.
Значение основания a должно быть a > 0 и a =/= 1.
Число b принимает положительные значения.
Логарифм по основанию 10 называется десятичным.
Логарифм по основанию e называется натуральным. (Слайды5, 6).
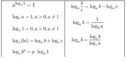
Своиства логарифмов

(Слайд 7)
График логарифмической функции

(Слайд 8)
3. Устная работа
Ребята, вам даются задания, которые вы должны выполнить. Получив ответы к каждому заданию, внизу таблицы выберите свои ответы и рядом с заданием, в пустые клеточки впишите соответствующие значения букв.

(Слайд 9).
| Н | Ю | Б | Е | П | Г | Т | И | В | Р |
| 3 | 0 | 1 | 4 | 0,6 | 0,5 | 5 | 49 | -3 | 2 |
4. Историческая справка
ДЖОН НЕПЕР
Джону Неперу принадлежит сам термин «логарифм», который он перевел как «искусственное число». Джон Непер - шотландец. В 16 лет отправился на континент, где в течение пяти лет в различных университетах Европы изучал математику и другие науки. Затем он серьезно занимался астрономией и математикой. К идее логарифмических вычислений Непер пришел еще в 80-х годах XVI века, однако опубликовал свои таблицы только в 1614 году, после 25-летних вычислений. Они вышли под названием «Описание чудесных логарифмических таблиц». (Слайд 10)
5. Исследовательская работа
«Исследование влияния преобразований логарифмических выражений на их область допустимых значений»
- Найдите ОДЗ уравнения log5(3x - 2) + log5(x - 7) = 2 + log52.
- Преобразуйте уравнение, используя свойства логарифмов.
- Найдите ОДЗ полученного уравнения и сравните её с исходной. Как изменилась ОДЗ (расширилась или сузилась)?
- Решите уравнение.
- Выполните проверку. Дайте ответ.
- Появились ли в ходе решения посторонние корни? Объясните причину их появления. (Слайды11, 12).
Вопросы:
1) Что происходит с ОДЗ при замене log2(x(x + 3))наlog2x + log2(x + 3 )?
2) Что происходит с ОДЗ при обратной замене?
3) В каком случае могут потеряться корни?
4) В каком случае могут образоваться посторонние корни?
Учащиеся высказывают свою гипотезу.
Решение

Ответы:
1) ОДЗ сужается.
2) ОДЗ расширяется.
3) при сужении ОДЗ.
4) при расширении ОДЗ. (Слайды 13, 14).
Коллективное обсуждение полученных результатов. Формулировка выводов.
Вывод: Некоторые формулы действий с логарифмами обладают тем свойством, что при их использовании О.Д.З. уравнения либо расширяется, либо - сужается. И если первую ситуацию легко исправить проверкой истинности равенства для найденных решений, то вторая ситуация совершенно недопустима, так как может привести к потере решений. (Слайд 15).
6. Диктант по свойствам логарифмической функции (Слайды 16-18).
| 1 | Логарифмическая функция у = logax определена при любом х | - |
| 2 | Функция у = logax определена при а > 0, а =/=1, х > 0 | + |
| 3 | Областью определения логарифмической функции является множество действительных чисел | - |
| 4 | Областью значений логарифмической функции является множество действительных чисел | + |
| 5 | Логарифмическая функция - четная | - |
| 6 | Логарифмическая функция - нечетная | - |
| 7 | Функция у = logax - возрастающая при а >1 | + |
| 8 | Функция у = logax при положительном, но меньшем единицы основании, - возрастающая | - |
| 9 | Логарифмическая функция имеет экстремум в точке (1; 0) | - |
| 10 | График функции у = log аx пересекается с осью ОХ | + |
| 11 | График логарифмической функции находится лишь в верхней полуплоскости | - |
| 12 | График логарифмической функции симметричен относительно ОХ | - |
| 13 | График логарифмической функции пересекает ОХ в точке (1; 0) | + |
| 14 | График логарифмической функции находится в 1 и 4 четвертях | + |
| 15 | Существует логарифм отрицательного числа | - |
| 16 | Существует логарифм дробного положительного числа | + |
| 17 | График логарифмической функции проходит через точку (0; 0) | - |
Виды логарифмических уравнени и способы их решения(Слайд 19).
1. Простейшие логарифмические уравнения: logax = b.
Решение данного вида уравнений следует из определения логарифма, т.е. х = аb и х > 0.
2. Уравнения вида logax = logaу.
Т.к. основания одинаковые, то приравниваем выражения под логарифмами х = у , x > 0, y > 0 .
3. Уравнения квадратного вида log2ax + logax + c = 0.
Уравнения решаются способом введения новой переменной и переходом к обычному квадратному уравнению.
4. Уравнения вида ax = b
Решаются логарифмированием обеих частей по основанию а.
5. Уравнения, которые можно привести к простейшим, используя свойства логарифмов.
6. Графический способ logax = f(x).
Строятся графики функций, расположенных в левой и правой частях уравнения и указывается корень уравнения.
7. Метод оценки границ.
Определяются границы значений всех функций, указанных в уравнении.
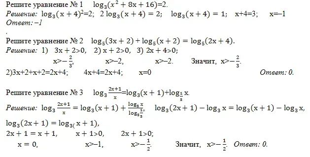
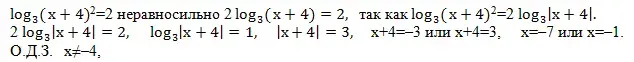
7. Самостоятельная работа (Слайд 20).
а) Решите уравнение log3(sinx - sin2x + 27) = 3
б) Найдите корни этого уравнения, принадлежащие отрезку ![]()
Решение (Слайд 21).

8. Логарифмический софизм 2>3 (Слайд 22).
Рассмотрим верное неравенство: 1/4 >1/8. Преобразуем его к виду: (1/2)2>(1/2)3, большему значению соответствует больший логарифм, значит: lg
(1/2)2>lg(1/2)3.
По свойству логарифма: 2 lg(1/2)>3 lg(1/2). После сокращения на lg(1/2) имеем:2>3.
В чем состоит ошибка этого доказательства?
Решение:(Слайд 23).
Ошибка в том, что при сокращении на lg1/2 не был изменен знак неравенства (> на <); между тем необходимо было это сделать, так как lg1/2 есть число отрицательное.
9. Домашнее задание: Найдите ошибки! Раздать карточки(Слайд 24).

Решите эти уравнения правильно.
Ответы домашней работы: (Слайд 25).
Ошибки в уравнении №1

Ответ:- 7; - 1.
Ошибки в уравнении №2

Ответ: 0
Ошибки в уравнении №3

Ответ:нет решений.
10. Рефлексия
Лист успеха обучаемого (Слайд 29)
Фамилия, имя_______________
| Вид работы | Устная работа | Исследователь
ская работа |
Диктант | Самостоятель
ная работа |
Логарифмический софизм | Дополнительное задание | Итог |
| Мнение ученика | Можешь ли воспроизвести опорные знания? | Владеешь ли элементами исследования? | Можешь ли рассказать другим? | Все ли понятно? | Было ли интересно? | Было ли трудно? | Итоговое мнение |
- С какими трудностями вы встретились? (Слайд 30).
- Что помогло? (Опорные конспекты …)
- Что было сегодня необычного?
- Что понравилось?
- Что взяли с урока?
- Кому и в чем помог разобраться сегодняшний урок?
11. Итоги урока
1. Вычисление итогового количества баллов.
2. Самооценка своей работы на уроке.
3. Сдача листов самооценки. (Слайд 28)
заключение урока, я хочу вам прочитать высказывание: (Слайд 27).
Музыка может возвышать или умиротворять душу,
Живопись - радовать глаз,
Поэзия - пробуждать чувства,
Философия - удовлетворять потребности разума,
Инженерное дело - совершенствовать материальную сторону жизни людей,
А математика способна достичь всех этих целей».
Американский математик Морис Клайн.
Ода логарифму(Слайд 26)
| Сегодня тема: логарифмы.
И это вам совсем не рифмы, Не повесть это, не рассказ, То - математика! Весь сказ! Что логарифмом называем? Так-так, так-так… Опять не знаем?! Кто "показатель" там сказал? Ну, молодец! Ты угадал! Чего, скажите, коль не трудно? Кто там шепнул: «О, как занудно»?! |
Конечно, степени, друзья.
Что возвести должна всё ж я? О, нет: не икс, не бэ, конечно. Перебирать что ль бесконечно? Так и урок пройдёт опять. Так кто же хочет всё же пять? «Я знаю! Это - основанье!», - Вдруг слышу гордое признанье. Внезапно зазвенел звонок… Ура! Закончился урок! |
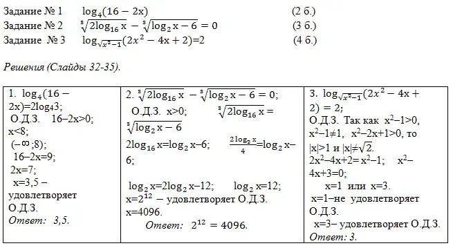
12. Дополнительное задание
Сильные учащиеся, которые выполняют самостоятельную работу быстрее других, решают задания по карточкам. (Слайд 31).

Решения (Слайды 32-35).