Показательные уравнения. Способы решения показательных уравнений
Тип урока: Ознакомления с новым материалом
Цель урока: Познакомить учащихся с различными способами решения показательных уравнений.
Задачи:
- Формировать умения и навыки решения различных способов показательных уравнений. И научить применять полученные знания на практике, работать по аналогии.
- Формировать научное мировоззрение и познавательный интерес к предмету алгебры и начала анализа. Воспитывать трудолюбие, ответственность, добросовестное отношение к труду.
- Развивать логическое мышление, тренировать умение анализировать, сравнивать, обобщать
Структура урока:
- Организационный момент.
- Актуализация знаний.
- Объяснение нового материала.
- Закрепление изученного материала.
- Применение показательных уравнений в жизни.
- Домашнее задание.
- Подведение итога урока.
Формы работы: фронтальная, групповая, в парах.
Оборудование к уроку: проектор, компьютер, доска.
На доске: дата, тема ...
| Деятельность преподавателя. | Деятельность учащегося. |
| - Здравствуйте, ребята! | Приветствуют. Садятся на свои места. |
|
- Начать наш урок я хочу с притчи о действии:
"Однажды молодой человек пришел к мудрецу. - Каждый день по пять раз я произношу фразу: "Я принимаю радость в мою жизнь", но радости в моей жизни нет. Мудрец попросил выбрать один из выложенных на столе предметов, который бы доставил радость юноше. - Назови предмет, который ты выбрал. Юноша назвал. - Повтори несколько раз. Юноша повторил. - Стал ли он твоим? - Нет,- ответил молодой человек. - Вот видишь,- сказал мудрец, - повторяй хоть миллион раз в день, он не станет твоим. Надо...". - Как вы думаете, что надо сделать юноше? - Вот и вам сегодня надо "взять" свои знания и применить их на практике |
- Протянуть руку и взять выбранный предмет. |
|
- Обратите внимание: на ваших столах лежат:
Инструкция № 1. Определение цели урока. (демонстрирует) (Приложение 1); Инструкция №2. Подведение итогов (демонстрирует) (Приложение 1); Лист самооценки. (демонстрирует) (Приложение 2). - Подпишите, пожалуйста, этот лист самооценки. С помощью данных инструкций вы сами будете оценивать свои знания на каждом этапе , в конце урока мы переведем эти баллы в привычную для вас пятибалльную шкалу оценивания. |
Находят Инструкцию №1.
Находят Инструкцию №2.
Находят Лист самооценки. |
| (слайд 1). | |
|
Тема урока: " Показательные уравнения. Способы решения показательных уравнений".
(показывает на доску). А эпиграфом к нашему уроку станут слова: "Уравнения - это золотой ключ, открывающий все математические сезамы". Польский математик Станислав Коваль Ребята, тема нашего занятия "Показательные уравнения". Подумайте и задайте вопросы, на которые бы вы хотели получить ответ на уроке - Используйте Инструкцию №1. - Сегодня на уроке я хочу ... Познавательные цели. Учебные цели. |
- Сегодня на уроке я хочу ... Раскрыть понятия; Понять, как решаются показательные уравнения; Уточнить способы решения показательных уравнений; Выяснить, где применяются показательные уравнения; И т.д. - Сегодня на уроке я хочу ... Научиться решать показательные уравнения; Находить способы решения показательных уравнений; И другие. |
| (слайд 2). | |
|
2. - Итак, давайте вспомним
- Что называют уравнением? - Что означает решить уравнение? - Что называют корнем уравнения? - Какие виды уравнений вы знаете? |
- Равенство, содержащее неизвестную переменную, называют уравнением.
- Решить уравнение означает найти все корни или установить, что их нет. - Корнем уравнения называют значение переменной при подстановке в уравнение, которой получают верное равенство. - линейные, квадратные, кубические, тригонометрические, иррациональные, дробно-рациональные и т. д. |
| (слайд 3), и на доске | |
|
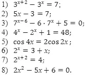
3. - Какие из данных уравнений вы знаете?
|
- Уравнение 1) - линейное
- Уравнение 2) - квадратное - Уравнение 4) - кубическое - Уравнение 6) - биквадратное |
| - Где стоит неизвестная переменная в уравнениях 2),4), 6), а 3), 5), 7)? | - Неизвестная переменная в уравнениях 2),4), 6) стоит в основании степени, а 3), 5), 7) - в показателе степени. |
| - Отсюда, сделаем вывод, что 3), 5), 7) относятся к группе... | - показательных уравнений. |
| - Откройте тетради. Запишите, пожалуйста, число и тему урока. | Записывают число и тему урока. |
| - Кто попытается дать определение показательного уравнения? | - Уравнение, показатель степени которого стоит неизвестная переменная, называют показательным. |
| (слайд 4). | |
| Показательное уравнение - это уравнение, которое содержит неизвестное в показателе степени. | Записывают определение в тетрадь |
| (слайд 5) | |
|
Простейшее показательное уравнение имеет вид
|
|
| - имеет ли решение уравнение ax = b если b < 0? почему? | - Я думаю, что уравнение не имеет решения, так как положительное число a при возведении в любую степень будет числом положительным. |
| (слайд 6) | |
|
- Среди уравнений выбрать показательные.
- Почему? - (имена), ребята на Листах самооценки в графе № 1 |
- Это уравнения под номерами 1), 3), 4), 6), 7).
- Потому что эти уравнения вида
|
| (слайд 6. 1) | |
| - Рассмотрим основные способы решения показательных уравнений. | |
|
- Вначале вспомним способы решения уравнений.
- Каким способом можно решить кубическое уравнение - Каким способом решили биквадратное уравнение |
- сгруппировать первое и второе слагаемое и вынести общий множитель за скобки; - заменой переменной. |
| Возьмите со стола карточки с решениями показательных уравнений (Приложение 3).Посмотрите и определите, каким способом решили эти уравнения. | |
| (слайд 7) | |
|
Определить способ решения уравнения
2x+2 = 26,
Проверка 24+2 = 26 64=64
|
- Приведение обеих частей уравнения к одному и тому же основанию. |
|
Приведение обеих частей уравнений к одному и тому же основанию.
(слайд 7.1) |
|
| (слайд 8) | |
|
Определить способ решения уравнения
|
- замена переменной, в результате чего мы получаем квадратное уравнение. |
|
Замена переменной (приведение к квадратному уравнению)
(слайд 8.1) |
|
| (слайд 9) | |
|
- вынесение общего множителя за скобки. |
|
Вынесение общего множителя за скобки.
(слайд 9.1) |
|
| - И так перечислите, пожалуйста, способы решения показательных уравнений. | Студенты отвечают. |
| (слайд 10). | |
| - Какой вывод можно сделать? | - Рассмотренные показательные уравнения решаются известными нами способами. |
| - (имена), на Листах самооценки в графе № 2 поставьте один балл. | |
| - Древнегреческий поэт Нивей утверждал, что математику нельзя изучать, наблюдая, как это делает другой человек. | |
| (слайд 11). | |
|
- Сгруппировать показательные уравнения по способам решения. На выполнение работы у вас 5-7минут.
|
Выполняют задание. |
| - Обменяйтесь тетрадями и выполните взаимопроверку. | |
| - Посмотрите ответы на слайде. | |
| (слайд 11.1) | ![]() |
| Вновь обменяйтесь тетрадями. | |
| Поднимите руки те кто, верно сгруппировал все 5 уравнений по способам решения, четыре, три, два, одно, а кто не справился с заданием. | |
| - на Листах самооценки в графе №3 за правильный ответ поставьте по 2 балла. | Выставляют баллы. |
|
- Для закрепления полученных знаний я предлагаю вам выполнить следующую работу.
- Работаем в группах по 4 человека. |
Организовали группу. |
|
- У вас на столах, для каждой группы лежат карточки с уравнениями. Решите эти уравнения, определяя способ их решения. Распределите уравнения между участниками команды, помогайте друг
другу.
У вас 8-10 минут на выполнения задания. (Приложение 4). |
Обсуждают, решают в тетрадях. |
|
- Ваше время истекло, давайте проверим.
1 группа, 3 группа и 5 группа - 1 уравнение 2 группа, 3 группа - 2 уравнение 1 группа и 4 группа - 3 уравнение 5 группа, 4 группа и 2 группа - 4 уравнение - Корни уравнений являются числа 11,9,3 и 7. - На Листах самооценки в графе № 4 за правильный ответ поставьте 2 балла. |
Решают у доски. |
|
- Математика помогает, и усталость снимать и приносит радость в жизни. С точки зрения физиологии человека
(слайд 12). |
|
|
11 часов утра - время наивысшей трудоспособности;
3 часа дня - время наибольшего утомления; 7 часов вечера - вечерний подъем трудоспособности; 9 часов вечера - время прекращения всякой трудоспособности. -Я рекомендую вам использовать полученные знания о биологических ритмах при составлении режима дня. Чтобы быть счастливыми и активными. -Если бы молодой человек, из рассказанной притчи, знал это, ему не пришлось бы обращаться к мудрецу. |
|
| (слайд 13). | |
|
- В жизни нередко приходится встречаться с такими фактами, когда скорость изменения какой-либо величины пропорциональна самой величине.
Все эти процессы можно выразить формулой: На прошлом занятии студентам, Алене, Тоне и Петру, было задано дополнительно, найти сведения, где в жизни применяется показательная функция. Ребята представляют свои презентации. |
|
| (слайды 14 - 16). | |
| - Молодцы, поставьте себе по 3 балла за выполненное дополнительное домашнее задание. | |
| (слайд 17) | |
|
Домашнее задание. (Приложение 5)
- Решить уравнения. Способы решения этих уравнений мы с вами на уроке определили .При необходимости можно воспользоваться Приложением 3 (Способы решения показательных уравнений) - Илье, Полине и Саше найти дополнительно, где в жизни применяются показательные уравнения, и представить в виде презентации. |
|
| (слайд 18) | |
|
Критерии перевода баллов в отметку.
- Передайте Листы самооценки мне, для выставления отметок в журнал. |
Переводят баллы в отметку по пяти балльной шкале оценивания. |
|
Воспользовавшись Инструкцией №2, подведите итоги урока.
Соотнесите результаты вашей работы с поставленными целями |
- Я узнал, уравнения, какого вида называют показательными;
- Я смог найти способ решения показательных уравнений; И другие. - Я достиг поставленной цели, так как я умею применять теоретические знания к решению уравнений; - Мне было интересно работать в группе; - Мне не удалось достичь поставленной цели, потому что слабая теоретическая база знаний; - Страдают вычислительные навыки и т.д. |
| Все молодцы, я думаю, что вы получили ответы на вопросы, которые ставили в начале урока. На этом этапе урока, каждый достиг цели, который ставил перед собой. | |
| (слайд 19) | |
| - Давайте вернемся к эпиграфу нашего урока | |
| -Мне хотелось вам пожелать, чтобы каждый из вас нашел в жизни свой золотой ключик, с помощью которого вы открывали бы любые двери. | |
| Спасибо за урок. |




