Урок алгебры по теме "Системы неравенств с двумя переменными". 9-й класс
Любому учителю известно, что уроки, посвященные изучению графиков функций, требуют построения большого количества графиков. Чем больше будет построено графиков, тем лучше учащиеся освоят данный материал. Но возникает проблема - ограниченное время урока. Перед учителем встает вопрос о выборе средств и методов обучения с целью обеспечения максимальной эффективности изучения математики. В этом случае приходят на помощь компьютерные технологии. В настоящее время существует много программ, с помощью которых можно рисовать графики функций. Они дают возможность проиллюстрировать свойства функций быстро и наглядно, что повышает и активизирует познавательную деятельность учащихся. На представленном уроке используется программа Advanced Grapher.
Класс: 9.
Технологии: Информационно-коммуникативные технологии.
Оборудование: Компьютер; проектор, интерактивная доска; программа «Advanced Grapher», классная доска; учебник «Алгебра 9 класс». (Ю.Н. Макарычев, Н.Г. Миндюк, К.И. Нешков, С.Б. Суворова. Москва «Просвещение», 2011г.), рабочая тетрадь, карточки-тесты.
Цели:
- Образовательные - ввести понятие решения системы неравенств с двумя переменными; формировать умение решать системы неравенств с двумя переменными, отработать навыки построения множества решений систем неравенств на координатной плоскости;
- Развивающие - формирование графической и функциональной культуры учащихся;
- Воспитательные - воспитание интереса к математике и повышение мотивации учебной деятельности через внедрение компьютерных технологий в процесс обучения, побуждать учеников к самоконтролю, взаимоконтролю, самоанализу своей учебной деятельности.
Ход урока
Актуализация знаний.
Учитель. На доске вы видите два неравенства
х2+3ху -у2<20 и (х-3)2+(у-4)2<2
- Как они называются? [Неравенства с двумя переменными]
- Что является решением такого неравенства? [Пара чисел, которые удовлетворяют неравенству]
- Определите, является ли пара чисел (-2;3) решением какого либо из этих неравенств? [Являются решением только первого неравенства]
- Найдите свою пару чисел которая являлась бы решением второго неравенства [Например 3 и 4, 4 и 4, 3 и 5 и т.д.]
Проверка домашнего задания.
Учитель Давайте вспомним , как решаются такие неравенства.
На примере неравенств х2+2 > у и (x-1)^2+(y+2)^2<4 рассказать о решении неравенств с двумя переменными.
Двое учащихся рассказывают и показывают решение неравенств на доске.
- Чем отличается решение строгого неравенства от нестрогого? [линия функии штриховая]
- Как можно проверить правильно ли вы выбрали множество? [Правило пробной точки]
Проверим решение №484б и г с помощью программы «Advanced Grapher» на интерактивной доске. (Учитель открывает готовый файл Приложение 1.agr. В окне слева выбирает первую и вторую функцию

Чтобы проверить решение второго неравенства отмените построение предыдущих двух и выберите следующие две)

[Учащиеся сравнивают решение в тетрадях с изображением на интерактивной доске.]
Тестовая работа.
на готовых карточках- координатных плоскостях (Приложение 2) показать решения неравенств а) х>2, б) у<-2; в) -3<у<3; г)│х│<у ; д)│ х-2│>у с последующей проверкой на интерактивной доске с помощью программы «Advanced Grapher». (Приложение 1. agr)
Новая тема.
Учитель. Тема сегодняшнего урока «Системы неравенств с двумя переменными»
- Как вы думаете, каковы цели сегодняшнего урока?
- Чему вы должны научиться к концу сегодняшнего урока?
Рассмотрим систему неравенств с двумя переменными.
№496
- Как вы думаете, что же может, является решением такой системы? [Пара чисел]
- Какие из пар (4;2), (-5;1), (-2;-1) являются решением этой системы? [Первая]
- Как по-вашему, сколько решений может иметь такая система? [Множество]
- Что значит решить систему?c[Найти все решения, или доказать, что таких решений нет]
Учитель. Давайте выясним, какое множество точек задает на координатной плоскости система. Как это сделать? [Решить по отдельности каждое неравенство и найти их пересечение решений.]
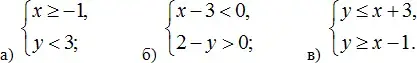
Пример 1
Ребята в тетрадях рисуют графики функций, а учитель поэтапно показывает графики на интерактивной доске (Приложение 1.agr)

Как можно проверить правильно ли показано множество решений? [Правило пробной точки]
Пример 2. Выполнение в тетради, затем поэтапная проверка на интерактивной доске (Приложение 1.agr)

Пример 3 Выполнение в тетради, затем поэтапная проверка на интерактивной доске (Приложение 1.agr)

Закрепление.
№497 а, в на обычной доске [Одновременное решение на доске и в тетрадях]
Итоги урока.
- Что называется решением системы неравенств с двумя переменными?
- Как решаются системы линейных неравенств с двумя переменными?
- Как проверить верно ли выбрано решение?
Домашнее задание.
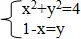
№ 497 (б, г), Доп.задание: Изобразите на координатной плоскости множество решений системы неравенств:
