Решение задач по теме "Основы специальной теории относительности"
Тип урока: комплексного применения знаний и способов деятельности.
Цели урока:
- организовать деятельность учащихся по комплексному применению знаний (сущности СТО, постулатов и следствий из СТО, формул релятивистской длины, массы, времени, импульса, энергии, релятивистского закона сложения скоростей) и способов деятельности (вычисления значений величин по формулам, преобразования формул, объяснения физических явлений на основе знаний постулатов и следствий СТО);
- совершенствовать вычислительные навыки, навык перевода единиц физических величин в СИ, навык преобразования формул, навык решения задач в общем виде;
- создать условия для развития мышления, коммуникативных навыков, навыков самостоятельной работы (умение работать во времени, анализировать условие, самоконтроль),
- применить дифференцированный подход в обучении,
- воспитывать культуру умственного труда.
Оборудование: карточки для рефлексии, ребусы, устный счет, задачи для работы на уроке, тест (на каждого ученика), электронный документ для интерактивной доски (Приложение 10).
Ход урока
1. Организационный этап.
Эпиграф:
Счастье не в том, чтобы делать всегда, что хочешь, а в том, чтобы всегда хотеть того, что делаешь. Л. Толстой
Учитель предлагает учащимся расшифровать ребус, чтобы определиться с темой урока (Приложение 1).


Практически все справились с заданием. Один из учащихся озвучивает тему урока вслух.
Учитель знакомит учащихся с планом работы на уроке.
План работы
1. Устный счет.
2. Проверка домашнего задания.
3. Повторение теоретического материала по теме.
4. Решение задач.
5. Тестирование
6. Домашнее задание, подведение итогов урока.
Организация работы на уроке
| Элементы работы | Учитель | Учащиеся | Время |
| Орг. момент |
Предлагает расшифровать ребус для определения темы урока.
Знакомит с планом работы на уроке |
Отгадывают ребус | 3 мин. |
| Устный счет | Организует проверку заданий с помощью интерактивного документа | Выполняют действия со степенями | 3 мин. |
| Проверка домашнего задания | Организует проверку заданий с помощью карточек с правильными решениями домашних задач, а так же с помощью интерактивного документа | Проверяют правильность выполнения домашних задач, если необходимо записывают правильное решение, комментируют правильное решение | 3 мин. |
| Актуализация опорных знаний | Организует беседу по теме | Отвечают на поставленные вопросы, записывают формулы на доске | 5 мин. |
| Музыкальная пауза. Минута релаксации. | Предлагает учащимся прослушать музыкальную композицию, ответить на вопрос: "Как связана данная композиция с темой урока?" | Слушают, отвечают. | 2 мин. |
| Фронтальное решение задач | Организует деятельность учащихся (1 учащийся у доски), остальные в рабочих тетрадях | Решают задачи | 10 мин. |
| Решение задач по уровням | Организует решение задач по уровням, предлагает сверить правильность решения с помощью интерактивного документа | Выбирают уровень, решают задачу, проверяют правильность решения | 5 мин. |
| Этап контроля и самоконтроля | Организует выполнение и проверку тестовых заданий | Выполняют тест, сверяют ответы | 12 мин. |
| Домашнее задание | Знакомит с домашним заданием | Записывают в дневники | 1 мин. |
| Подведение итогов урока. Рефлексия | Организует рефлексию учебной деятельности на уроке и по всей теме | Заполняют карточки "Рефлексия настроения", клонируют объект на дереве Познания | 1 мин. |
Учитель. Давайте оценим наше настроение, ощущения на начало урока по шкале, которая представлена на карточках, лежащих перед Вами. (Приложение 2).
1. Устный счет.
Учащимся предлагаются задания для вычислений выражений со степенями, так как данная тема напрямую связана с этой, зачастую сложной для учащихся, работой (Приложение 3). Учащиеся на заранее заготовленных карточках выполняют действия со степенями и сообщают свои результаты всему классу (принцип поднятой руки).
Устный счет
1. Какая степень у десятки?
![]()
2. Какая степень у шестерки?
![]()
3. Какая степень у двойки?
![]()
4. Какая степень у пятерки?
![]()
5. Какая степень у тройки?

2. Проверка домашнего задания.
Учащимся предлагаются карточки с подробными решениями заданий упражнения 18. Проводится беседа о возникших трудностях при выполнении домашнего задания. Учащиеся дают рекомендации одноклассникам, которые помогут в дальнейшем успешно выполнять домашние упражнения.
3. Этап актуализации опорных знаний.
Беседа по вопросам.
- Какой раздел физики мы с Вами изучили? (специальную теорию относительности, СТО)
- В чем сущность СТО?
- Сформулируйте постулаты СТО.
- Какие следствия из постулатов СТО вы знаете?
- Запишите формулы релятивистской массы, длины, времени, импульса.
(Один учащийся пишет на крыле доске, остальные в тетради)
- Запишите релятивистский закон сложения скоростей. Когда он применим? В чем его особенность?
- Что такое энергия покоя? Как найти энергию покоя? Насколько велика энергия покоя?
4. Музыкальная пауза. Минута релаксации.
Учащимся предлагается прослушать музыкальную композицию "Трава у дома" группы "Земляне". Как связана эта композиция с нашим уроком?
5. Этап комплексного применения знаний на практике.
Справочные материалы - приложение 7.
1) Фронтальное решение задачи.
Чему равна длина космического корабля, движущегося со скоростью 0,8 с. Длина покоящегося корабля 100 м.
Внимание: При решении задач на релятивистские эффекты принято скорости записывать не в км/с или км/ч, а в долях скорости света.
Например: 0,8с - 0,8 от скорости света. Чему равна эта скорость? (2,4·108 м/с)
Как вы думаете, зачем это сделано? (Для удобства расчета по формулам)
;
; l=0,6·100 м = 60м
Заметят ли сами космонавты уменьшение длины корабля?
Какие еще изменения произойдут с космическим кораблем? (Увеличится масса, произойдет замедление времени)
Как ни парадоксально, но факт!
2) Фронтальное решение задачи.
С какой скоростью должна двигаться частица (тело), чтобы его масса увеличилась в 3 раза?
Решение:
m = 3 m0;m=
;
;
; v2 = c2 (1-
)
;
= 0,94 c.
3) Решение задач по вариантам.
Задача на "6"
Чему равна будет масса космонавта, движущегося в космическом корабле со скоростью 0,8 с? Масса покоящегося космонавта 90 кг.
Решение:
m=
; m =
; m=![]()
Задача на "8"
С космического корабля, удаляющегося от Земли со скоростью 0,7 с, стартует ракета в направлении движения корабля. Скорость ракеты относительно Земли 0,96 с. Чему равна скорость ракеты относительно Земли?
Решение. Обозначим v - скорость движения корабля относительно Земли, v1 - скорость ракеты относительно космического корабля, v2 - скорость ракеты относительно Земли. Тогда v=0,7 с, v2 = 0,96 с.
На основании релятивистского закона сложения скоростей имеем:

Задача на "10"
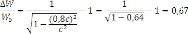
На сколько процентов полная энергия протона, вылетающего из ускорителя со скоростью, модуль которой
, больше его энергии
покоя?
Решение. Используя формулы для энергии покоя
и полной релятивистской энергии W, можно найти
, где
.
![]()
![]()



![]()
6. Этап контроля и самоконтроля.
Тестовая работа по вариантам (Приложение 4).
Взаимопроверка. Учащиеся обмениваются ответами и оценивают работы товарищей.
| №1 | №2 | №3 | №4 | №5 | №6 | №7 | №8 | №9 | №10 | №11 | №12 | №13 | |
| 1 вариант | с | а | д | б | б | с | а | с | с | а | а | д | с |
| 2 вариант | б | с | а | с | а | б | б | а | с | б | а | а | б |
6. Этап информации о домашнем задании.
Повторить параграфы 22-25, составить опорный конспект по теме.
* Составить кроссворд по теме.
7. Этап подведения итогов урока. Выставление оценок.
Найдите Вашу энергию покоя. (Е=m0c2)
8. Этап рефлексии
Оцените свое самочувствие на конец урока по шкале справа. (Приложение 2)
С помощью дерева успеха оцените свои знания и навыки по теме "Основы специальной теории относительности".

- цветы растут на траве под деревом - это уровень знакомства с темой.
- листья дуба - научился решать задачи.
- отличный результат, возможность научить другого - это плоды (в данном случае желуди).
Список использованной литературы
- Физика: учебн. Пособие для 11-го кл. общеобразоват. Учреждений с русск. язобуч. / В.В. Жилко, Л.Г. Маркович. - Минск: Нар. асвета, 2009. - 255 с.: ил.
- Физика. 11 класс: учимся решать домашние задания / С.Н. Капельян, Л.А. Аксенович. - Минск: Аверсэв, 2011. - 286 с.: ил. - (Школьникам, абитуриентам, учащимся).
- Рымкевич А. П. Сборник задач по физике: для 9-11кл. сред. шк. - 15 изд. - М.: Просвещение, 1994. - 224 с.: ил.
- Физика: 3800 задач для школьников и поступающих в вузы / авт.-сост. Н.В. Турчина, Л.И. Рудакова, О. И. Суров и др. - М.: Дрофа, 2000. - 672 с.: ил. - (Большая библиотека "Дрофы").
- https://www.google.by/url?sa=t…
1&cad=rja&ved=0CC0QFjAA&url=http%3A%2F%2Fpedgazeta.ru%
2Fdownload.php%3Fid%3D15157&ei=OQmQUdKNOqfP4QSzq4C4Ag&usg=
AFQjCNGXRpUfGfXiAyMnnFhWkx5mnEZaug&bvm=bv.46340616,d.bGE
Приложения 1-9. Методические материалы к уроку
Приложение 10. Интерактивная презентация для интерактивной доски.