Сравнение различных подходов при решении задачи С5 (ЕГЭ-2013)
Предлагаемые при итоговой аттестации учащихся задания группы С5 интересны для учителей и выпускников не только с точки зрения достижения результата на экзамене, но и как средство сравнения возможностей реализуемой учителем образовательной программы для разных групп учащихся. Рассмотрим задание С5, предлагавшееся в 2013 для выпускников 11 класса, решение одним способом аналога которого приведено в книге С.А. Шестакова «ЕГЭ 2014. Математика Задача С5 Задачи с параметром» издательства МЦНМО на стр. 156 -157 .
С5. Найдите все значения а, при каждом из которых уравнение
имеет единственный корень.
Данное задание можно решать с помощью приемов, доступных выпускникам 9 классов.

Рисунок 1
Способ 1. Использование графической интерпретации. Перепишем уравнение в виде
. Пусть
Построим графики y = f(x) и семейство графиков y = g(x).
f(x) задает полуокружность, g(x) - семейство прямых, для которых параметр а влияет как на изменение углового коэффициента, так и на свободный член. Можно
заметить, что с ростом а угловой коэффициент монотонно убывает, а свободный член монотонно возрастает. При а = 0 (I) горизонтальная прямая касается полуокружности, уравнение имеет
единственное решение. При a > 0 (II) угловой коэффициент прямой отрицательный, ордината точки пересечения с осью Oy больше 1, общих точек с полуокружностью нет. При убывании а в области
отрицательных значений прямые сначала имеют две общих точки с полуокружностью, пока прямая не займет положение (III). Для определения соответствующего значения а имеем уравнение 0 = 3а +
3а + 1, а = - 1/6. При дальнейшем уменьшении а прямая имеет с полуокружностью одну точку, пока не станет проходить через точку (- 1; 0), соответствующее этому значение а находим из
уравнения 0 = а + 3а + 1, а = - 1/4. При меньших а общих точек у прямой и полуокружности нет.
Следовательно, единственное решение у уравнения будет в случае а = 0 или для а из [- 1/4; - 1/6).
Ответ:
.
Способ 2. Более интересной будет графическая иллюстрация, если заметить, что задаваемое семейство прямых представляет собой пучок прямых. Все прямые, кроме вертикальной,
проходящие через точку (х0;у0) могут быть заданы в виде y - y0 = a (x - x0), где
Для задания прямых используем преобразование y - 1 = a (x - 3), откуда получаем общую точку всех прямых (3; 1). Решение задачи может сопровождаться рисунком, приведенным
ниже, где обозначение граничных положений такое же, как и в способе 1. Однако, на экзамене выпускник самостоятельно не придет к понятию пучка прямых, если соответствующая конструкция не будет
отработана с учащимися при подготовке к экзамену. Ответ в задаче получается аналогичными способу 1 расчетами.

Рисунок 2
Способ 3. Для данной задачи возможно получить вполне корректное решение, если даже не увидеть уравнения полуокружности, а привести исходное уравнение к виду, позволяющему
проанализировать взаимное положение графика функции
и семейства прямых g(x) = a(3 - x). Область
определения f(x) - отрезок [-3;-1], причем на [-3;-2] f(x) возрастает, на [-2;-1] - убывает. Множество значений функции f(x) - отрезок [-1;0].
Пучок прямых, задаваемый g(x), проходит через точку (3;0). Наличие общих точек анализируется похожим образом на способ 2, не используя явного вида графика
f(x).
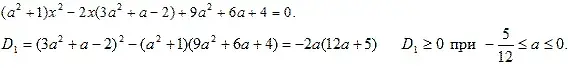
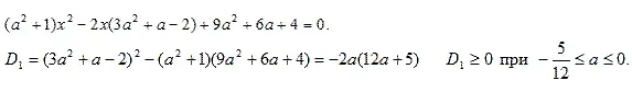
Способ 4. Равносильный переход с последующим исследованием расположения корней квадратного трехчлена.
Большая часть работ выпускников, авторы которых идут по аналитическому пути решения задачи, содержит только первый маленький шаг на пути к верному решению.
![]()
Исследовав последнее квадратное относительно х уравнение, они делают ошибочный вывод, что наличие единственного корня данного уравнения обеспечивает выполнение условий исходной задачи.
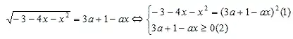
В действительности исходное уравнение равносильно системе, в которую входит условие не отрицательности выражения, приравниваемого к радикалу.
![]()
Уравнение (1) приводится к виду 

Рисунок 3
При а = 0 уравнение имеет единственный корень х = -2. При a = -5/12 корень уравнения (1)
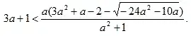
x = -21/13 не удовлетворяет неравенству (2). Учтем, что уравнение (1) имеет 2 корня при а < 0. Для х из неравенства (2) получаем x > 3 + 1/a
. Поскольку дискриминант квадратного трехчлена уравнения (1) не представляет собой квадрат простого выражения, достаточно проблематично через иррациональные неравенства получить значения параметра а.
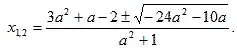
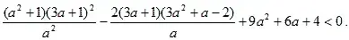
Задание существенно упростится, если использовать метод составления системы необходимых и достаточных условий, соответствующей нужному расположению корней квадратного трехчлена. Ветви соответствующей
параболы направлены вверх, меньший корень должен лежать слева от значения 3 + 1/a, а больший - справа. Уравнение (1) можно представить в виде f(x) = 0, тогда требуемые
значения параметра а будут определяться из условия f(3 + 1/a) < 0 или же x2 = 3 +1/а. Эти условия являются и необходимыми, и достаточными.
После приведения к общему знаменателю и упрощения получаем
При а = -
1/4 получаем, что 3 + 1/а = -1 - больший корень уравнения, при а = -1/6 получаем, что 3 + 1/а = -3 - меньший корень уравнения, что нас не устраивает. Объединяя найденные
значения а, имеем
Ответ: ![]()
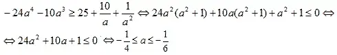
Способ 5. Иррациональные неравенства.
К сожалению, если исследованию расположения корней квадратного трехчлена, почти не уделялось времени, то нам остается метод «тупо в лоб».

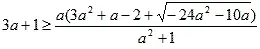
Уравнение (1) приводится к виду

Как показано выше, из граничных значений имеем а = 0. При D1 > 0 получаем ![]()
При а < 0 из (2)
и
Система условий
приводит нас к равносильному при D1 > 0 (с необходимостью учета строгого и нестрогого неравенств системы)
неравенству

Учитывая замечания к способу 4, получаем
Ответ: ![]()
Способ 6. Применение элементов высшей математики: f(x) = a.
В старшей школе много времени уделяется элементам математического анализа, особенно в классах с углубленным изучением математики. Возможностью хоть как-то использовать приобретенные навыки в этой
области можно воспользоваться и для решения задач группы С. Исходное уравнение определено при
На [- 3;- 1] перепишем уравнение в виде
Пусть
D(f) = [- 3;- 1]. f(x) = 0 при x =
- 2.

Определим множество значений функции. f(-3) = -1/6, f(-2) = 0, f(-1) = -1/4. Единственная точка экстремума на D(f) оказалась точкой максимума. Е (f) = [-1/4;0]. Построим эскиз графика функции y = f(x).
Как видно из представленного эскиза, уравнение f(x) = a имеет единственное решение для
.
Ответ: ![]()

Рисунок 4.
Способ 7. Применение элементов высшей математики: f(x) = g(x).
Если мы смогли преобразовать исходное уравнение к виду, когда одна из его частей не зависит от параметра, то исследование числа корней уравнения f(x) = a сводится к
определению числа точек пересечения графика f(x) с горизонтальными прямыми. Правда, формулы для f(x) громоздки. Однако, некоторый выигрыш в формулах для задания
функций, сполна компенсируется поиском условий качания их графиков.
Исходное уравнение определено при
На [- 3;- 1] перепишем уравнение в виде
Построив эскизы графиков левой и правой частей уравнения, можно определить условие единственности корня исходного уравнения. В способе 7 (в отличие от способа 6) существует определенная проблема:
условие касания графиков при а = 0 следует обосновывать.

Рисунок 5.
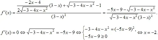
Абсциссу точки касания графиков f(x) и g(x) найдем из условия равенства при этом аргументе значений функций и их производных.

Получаем x0 = -2, а = 0. В качестве рекомендации, можно посоветовать ученикам стараться сводить использование графиков функций таким образом, чтобы с одной стороны появлялся график функции без параметра, а с другой стороны было выражение, зависящее только от параметра.