Умножение обыкновенной дроби на число. 6-й класс
Класс: 6
Тип урока: урок изучения нового материала.
Форма работы: групповая, фронтальная, индивидуальная.
Триединая цель урока:
- обучающая на основе самостоятельного анализа учить выводить математические правила (правило умножения дробных чисел на натуральные числа.
- развивающая: формирование навыков правильного воспроизведения знаний и умений, развитие аргументированной математической речи, навыков работы в группе, способности самооценки;
- воспитывающая: создание условий для воспитания культуры учебного труда, воспитание самостоятельности, сосредоточенности, концентрации внимания, воспитание чувства сопереживания успехам и неудачам товарищей.
Методы обучения: поисковые; объяснительно-иллюстративные; репродуктивные.
План урока:
- Организационный момент - 1 мин.
- Устный счет - 10 мин.
- Изучение нового материала. Работа в группах - 6 мин.
- Первичное закрепление. Формулирование правила - 4 мин.
- Первичное закрепление. Решение упражнений - 10 мин.
- Проверка усвоения знаний тестирование - 10 мин.
- Подведение итогов урока, домашнее задание - 2 мин.
- Рефлексия - 2 мин.
Ход урока
Устный счет.
1) Соедините дробь
с равными ей дробями


5) Вычислить цепочку действий

(Ребята считают устно, продвигаясь по кружкам. На последних этапе они встречаются с затруднением
· 3).
3. Где возникло затруднение? Почему?
- При умножении обыкновенной дроби на натуральное число.
- Умножать обыкновенные дроби на натуральное число не умеем.
Какие задачи стоят перед нами?
- Получить правило умножения обыкновенных дробей на натуральные числа.
- Научиться умножать обыкновенные дроби на натуральные числа, применяя это правило.
Работа в группах.
1-я группа.
1. Заменит действие умножение действием сложения трех слагаемых, каждый из которых равен
.
2. Выполните сложение.
3. Запишите результат в виде обыкновенной дроби.

2 группа.
1. Запишите обыкновенную дробь в виде десятичной дроби.
2. Выполните умножение десятичной дроби на натуральное число.
3. Запишите полученную десятичную дробь в виде обыкновенной.

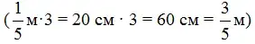
1. Выразите метры в сантиметрах и найдите значение выражения
2. Запишите полученный результат в виде обыкновенной дроби (если надо сократите дробь).
![]()
Формулирование правила.
Давайте сравним решения. Все группы, используя разные способы получили один и тот же ответ, значит и правило умножения дроби на число всегда одно и тоже, не зависимо от способа его выполнения, попробуем его предугадать и попробуем выбрать наиболее рациональный способ.

Сравниваем наше правило с правилом в учебнике.
Умножение дроби на натуральное число.
Чтобы умножить дробь на натуральное число, надо числитель умножить на число, а знаменатель оставить тем же.
Первичное закрепление в громкой речи.
Найди ошибку и объясни ее, проговаривая правило.

2) Выполните умножение

Физкультминутка. (Под музыку.)
Пол-урока мы решали,
Пол-урока размышляли…
И теперь пришла пора-
Разомнётся детвора.
Аккуратно потянулись.
И к соседу повернулись.
Посмотрели в потолок….
Посмотрели в уголок…
Поворот, наклон, прыжок,
Улыбнись давай, дружок.
Еще попрыгай: раз, два, три!
На соседа посмотри,
Руки вверх и тут же вниз
И за парту вновь садись.
Стали мы теперь бодрее,
Будем думать мы быстрее!
Тестирование.
1-й уровень.


3-й уровень.
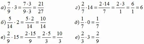
1. Вычислите и найти соответствие:
![]()
А) 63 Б) 6 В) 24 Г) 153 Д) 3 Е) 90

Урока время истекло,
Я вам, ребята, благодарна
За то, что встретили тепло
И поработали ударно!
Домашнее задание.
Отгадать кроссворд и составить свой.

По горизонтали:
1. Деление числителя и знаменателя на одно и тоже число.
2. Частное двух чисел.
3. Дробь, у которой числитель и знаменатель взаимно-простые числа.
4. На сколько сокращается дробь
?
5. Сотая часть числа.
По вертикали:
6. Название дроби, у которой числитель больше или равен знаменателю.
7. Для нахождения общего знаменателя надо находить НОД или НОК?
8. Действие, при помощи которого находится дробь от числа.
9. Для сокращения дроби нужно находить НОД или НОК?
Рефлексия.
Закончим наш урок словами:
Богатство нужно так нажить,
Чтоб никого не потревожить.
Умножить - значит умно жить!
А умно жить - умножить!
У вас на партах лежат карточки со смайликами. Поднимите ту из них, которая соответствует вашему настроению и даст оценку нашему уроку.