Заключительный урок по теме "Методы решения тригонометрических уравнений"
Цели занятия:
1) Обобщение ранее изученного материала, систематизация знаний, умений, навыков при решении уравнений, содержащих модули.
2) Создание комфортного темпа работы для каждого ученика.
3) Формирование навыков самообучения и самоорганизации.
4) Воспитание внимательности, собранности, честности, принципиальности, уверенности в себе и в своих знаниях.
5) Развитие мыслительных способностей учащихся, интереса к изучаемому предмету.
Задачи урока распределяются по уровням:
1-й уровень - закрепить навык решения простейших тригонометрических уравнений и решения тригонометрических уравнений по заданному алгоритму;
2-й уровень - отработать навык решения тригонометрических уравнений ,самостоятельно выбирая метод решения;
3-й уровень - научить применять полученные знания и умения в нестандартных ситуациях.
Структура урока.
1-й урок.
1. Актуализация знаний учащихся: проверка домашнего задания.
2. Практическая часть урока состоит из 6 учебных элементов:
Учебные элементы №1-4 соответствуют I уровню подготовки.
2-й урок.
Учебный элемент №5 обеспечивает II уровень.
Учебный элемент №6 обеспечивает III уровень подготовки.
3. Подведение итогов урока. Домашнее задание.
Средства, которые будут использованы на уроке: печатные материалы с заданиями, оценочные листы, мультимедийный проектор, экран.
Ход урока
Организационный момент. Ознакомление целью и задачами урока. Учащимся выдаются печатные материалы с заданиями, справочные таблицы, оценочные листы.
Индивидуальный оценочный лист учащегося.
| Фамилия | |||||
| Имя | |||||
| Отчество | |||||
| Учебные уровни | Номера заданий | Общее количество баллов | |||
| № 1 | №2 | №3 | №4 | ||
| 1 уровень | |||||
| 2 уровень | |||||
| 3 уровень | |||||
| 4 уровень | |||||
| 5 уровень | |||||
| Итоговое количество баллов | |||||
| оценка | |||||
1. Актуализация знаний учащихся. Проверка домашнего задания(10 мин.).
Учащимся было задано:
Для первой группы учащихся: Решить уравнение sinх + cosх = 1 способами, известными из предыдущих уроков. (Проверяется в начале урока.)
Для второй группы учащихся: Решить уравнения, используя свойства функций.
1) Использование О.Д.З.
2) Свойство ограниченности.
3) Метод оценок.
4) Свойство монотонности.
(Теоретические сведения ученики получили на занятиях элективного курса "Алгебра+".).
(Проверяется в конце урока.)
1. Учебный элемент № 1.
Цель: закрепить решение простейших тригонометрических уравнений.
Задания для самостоятельной работы № 1 на 5 минут.

Проверьте и оцените свою работу. Проставьте количество набранных баллов в оценочный лист. Каждый пример оценивается в 0,5 балла.
(См. на экран.)
Вариант 1.

Вариант 2.

II. Учебный элемент № 2.
Цель: закрепить навык решения тригонометрических уравнений методом разложения на множители.
Задания для самостоятельной работы №2 на 10 минут
Решите уравнения.

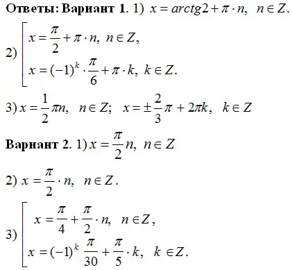
Проверьте и оцените свою работу (см. на экран) Проставьте количество набранных баллов в оценочный лист. Каждый пример оценивается в два балла.

III. Учебный элемент № 3.
Цель: закрепить умения решать тригонометрические уравнения методом замены переменных.
Задания для самостоятельной работы № 3 на 10 минут.
Решите уравнения.

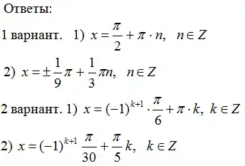
Проверьте и оцените свою работу(см. на экран) .Проставьте количество набранных баллов в оценочный лист. Каждый пример оценивается в два балла.

IV.Учебный элемент № 4.
Цель: закрепить навык решения однородных уравнений.
Задания для самостоятельной работы №4 на 10 минут
Решите уравнения.

Проверьте и оцените свою работу. (См. на экран). Проставьте количество набранных баллов в оценочный лист. Каждый пример оценивается в два балла.
Ответы:

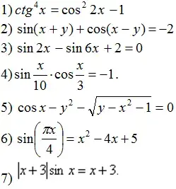
V. Учебный элемент № 5.
Цель: закрепить решение тригонометрических уравнений, используя различные способы решения.
Указание учителя: Вы прошли 1-ый уровень усвоения материала. Теперь вам придется самостоятельно выбрать метод решения тригонометрических уравнений, используя все знания и возможности .
2 урок.
Задания для самостоятельной работы № 5 на 20 минут.
Решите уравнения.

Проверьте и оцените свою работу (см. на экран).
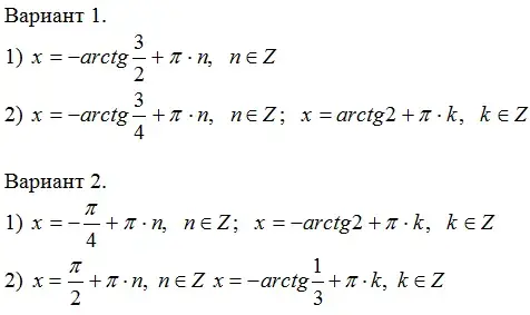
Ответы:

Проставьте количество набранных баллов в оценочный лист. Каждый пример оценивается в три балла.
Указание учителя:
Молодцы! Вы освоили решения уравнений второго уровня сложности. Посчитайте общее количество набранных баллов.
Если вы набрали 24-30 , то получаете оценку "5".
Если вы набрали 18-23 , то получаете оценку "4".
Если вы набрали 12-17 , то получаете оценку "3".
V1.Учебный элемент № 6. (20 минут.)
Цель: ознакомление учащихся с нестандартными приемами решения тригонометрических уравнений.
Указания учителя.
Вы освоили решение уравнений 2 уровня сложности . Целью дальнейшей вашей работы является применение своих знаний и умений в более сложных ситуациях.
Решение задач, подготовленных сильными учащимися в виде презентации.
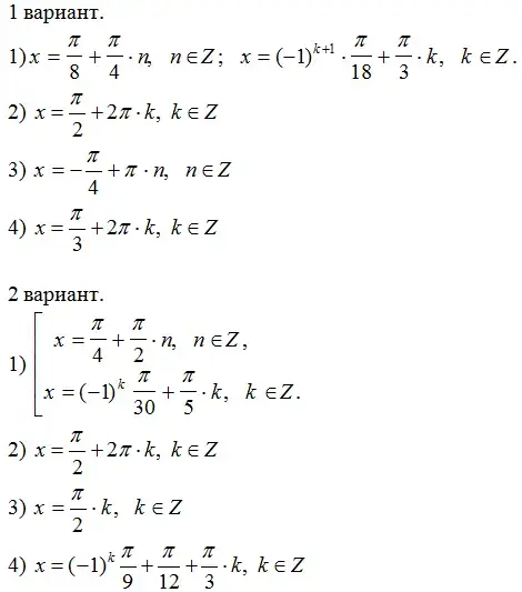
Решите уравнения.

Учащиеся за выполнение домашнего задания и умение объяснить решенное уравнение получают оценки.
Подведение итогов урока.
Задание на дом.