Математика приглашает в Карелию (готовимся к ГИА)
Скачать презентацию (10.24 МБ)
Тип урока: урок контроля и коррекции знаний.
Цель урока:
- контроль за уровнем усвоения учащимися теоретического материала, сформированности умений и навыков;
- коррекция усвоенных учащимися знаний, умений и навыков.
Задачи урока:
- проверить качество и прочность усвоенного материала, сформированность умений и навыков модуля "Алгебра", модуля "Геометрия" и модуля "Реальная математика";
- внести коррективы, выявить пробелы в знаниях, навыках и умениях;
- развивать логическое мышление, речь и память;
- воспитывать познавательный интерес к предмету, патриотизм и расширять кругозор знаний о своем крае.
Оборудование:
- компьютер, проектор, экран;
- 4 "двойных" листа бумаги в клетку и 1 лист копировальной бумаги у каждого ученика;
- тетрадь для подготовки к ГИА.
Продолжительность: 2 урока по 45 минут.
Приглашенные на урок: Учителя математики (помогут быстро проверить ответы) и преподаватель предмета "Моя Карелия".
Ход урока
1. Организация начала урока.
Карелия - это удивительный край голубых озер, порожистых рек, шумящих сосен и елей, суровых скал. О многом в Карелии можно говорить, начиная со слов "не имеет себе равных...". Карелия влечет к себе людей своими заповедными уголками, чистым воздухом, яркими красками растительного мира, богатейшим культурным наследием.
Республика Карелия давно реализует различные проекты в области образования. Вот и сегодня на уроке мы попробуем объединить математику с Карелией.
2. Постановка задач урока. Сообщение учителя о материале, который будет проверяться.
3. Изложение содержания работы. Объем и степень трудности заданий.
Использование активного метода обучения "Дерево ожиданий". (С.В. Корнилов, Л. Э. Корнилова "Методический ларец", Петрозаводск, "Петро Пресс", 2002, с. 12).
| Описание АМО (активного метода обучения) | Инструкция учителя по проведению АМО |
|
Цель; оценить свои знания, умения по предметам "Алгебра" и "Геометрия", обсудив их в группе.
Необходимые материалы: шаблоны яблок из белой бумаги, геометрические фигуры (красные круги, зеленые квадраты и желтые треугольники), скотч. Технология проведения: Учащиеся на левой половинке яблока приклеивают две фигуры, соответствующие самооценке по алгебре и геометрии (на фигурке указывается буквы А и Г). Оценки: "5" - круг, "4" - квадрат и "3" - треугольник. |
У каждого ученика есть шаблон белого яблока. На левую половинку необходимо приклеить две геометрические фигурки, соответствующие оценке знаний и умений по предметам "Алгебра" и "Геометрия". Предполагаемые результаты обсуждаются в группе. Группы соответствуют посадке учащихся по рядам. |
4. Выполнение работы (по вариантам).
а) модуль "Алгебра" (часть 1 и 2) - 25 минут;
б) модуль "Геометрия" (часть 1 и 2) - 20 минут;
в) модуль "Реальная математика" - 20 минут.
Учащиеся выполняют задания каждого модуля по вариантам на отдельном двойном листе бумаги, через "копировку". Верхний лист с названием модуля и ответами ученик сдает учителю, нижний лист оставляет себе.
Учащиеся, которые не будут выполнять задания 2 части из-за недостаточной математической подготовки, на четвертом двойном листе пишут известную им информацию о своем крае, Карелии.
5. Проверка выполнения работ. Когда все верхние листочки от "двойных" будут сданы, то по нижним листам начинается проверка с использованием презентации (на каждый модуль отводится 5-7 минут). В это время учителя математики проверяют ответы по листочкам учащихся и заполняют таблицу результатов.
6. Во время презентации каждый ученик сверяет правильные ответы с ответами на листочке, записанными под копировку. А учитель в это время объясняет типичные ошибки и корректирует знания и умения.
| Описание АМО (активного метода обучения) | Инструкция учителя по проведению АМО |
|
Цель; оценить свои знания, умения и навыки по предметам "Алгебра" и "Геометрия".
Необходимые материалы: шаблоны яблок из белой бумаги, геометрические фигуры (красные круги, зеленые квадраты и желтые треугольники), скотч. Технология проведения: Учащиеся на правой половинке яблока приклеивают две фигуры, соответствующие оценке по алгебре и геометрии (на фигурке указывается буквы А и Г). "5" - круг, "4" - квадрат и "3" - треугольник. |
Каждому ученику на правую половинку яблока надо приклеить две фигурки, соответствующие оценке знаний и умений по предметам "Алгебра" и "Геометрия", полученные на уроке. Результаты выполнения заданий модуля "Реальная математика" надо прибавить к результатам модуля "Алгебра". Полученные результаты обсуждаются в группе. |
7. После презентации учащиеся обсуждают свои итоги работы в группе и завершают работу с "Деревом ожиданий". Учитель подводит итоги выполнения заданий каждого модуля, оценку за работу и пути устранения ошибок. Учитель предмета "Моя Карелия", проверив записи учащихся, поставит ученикам дополнительную оценку по-своему предмету.
Слайд 2: Карелия - край озер, рек и лесов
- около 60 000 озёр,
- около 27 000 рек,
- 85 % занимают леса
- Площадь - 180520 км2.
- Население - 639681 чел.
- Столица - город Петрозаводск
Слайд 3: Модуль "АЛГЕБРА". 1. Найти значение выражения: 5*(1/2)2- 16*(1/5) .
Ответ: -3
Музей-заповедник КИЖИ - это уникальный историко-культурный и природный комплекс, являющийся ценным объектом культурного наследия народов России.
![]()
Слайд 4: 2.На координатной прямой отмечены числа a и b.
Какое из следующих чисел наибольшее?
1) a+b 2) -a 3) 2b 4) a-b
Ответ: 2.
Валааммский монастырь - это мужской монастырь Русской Православной Церкви, расположенный на островах Валаамского архипелага.
Слайд 5: 3. Значение какого из выражений является числом рациональным?
1) (
- 3) (
+ 3)
2) ![]()
3)
- ![]()
4)![]()
Ответ: 1.
Водопад Кивамч - водопад на реке Суна (высота около 11 метров) - третий по величине равнинный водопад Европы, получивший известность со времени первого карельского губернатора Г.Р. Державина.
Слайд 6: 4. Найти корни уравнения х2+7х - 18=0
Ответ: -9; 2
Горный парк Рускеала - это единственный в своем роде комплексный памятник природы и истории горного дела. Жемчужина Горного парка - Мраморный каньон.
Слайд 7: 5. Установите соответствие между графиками функций и формулами, которые их задают

Ответ: 142
Марциальные воды - это первый российский курорт, основанный Петром I в 1719 году на базе железистых минеральных источников.
Слайд 8: 6. На рисунке изображен график квадратичной функции y=f(x). Какие из следующих утверждений о данной функции НЕВЕРНЫ? Запишите их номера.
Функция убывает на промежутке [1; +
).
2) Наименьшее значение функции равно -4.
3) f(-2)

Ответ: 13
Заказник карельской берёзы создан в 1984 году для сохранения и воспроизводства карельской берёзы.
Слайд 9:7. Дана арифметическая прогрессия -4; -2; 0; ... Найдите сумму десяти её членов.
Ответ: 50
Национальный парк Паанаярви образован в 1992 г. в целях сохранения уникальных природных комплексов озера Паанаярви.
Слайд 10: 8. Упростите выражение
- с(с+4), найдите его значение при с=0,5. В ответ запишите полученное
число.
Ответ: 0
Заповедник "Костомукшский". Наибольшую ценность представляют девственные хвойные леса, которые покрывают более 50 % площади заповедника, создан в 1983 году.
Слайд 11:
9.. На каком рисунке верно указано решение системы неравенств
?

Ответ: 2.
Слайд 12: Модуль "АЛГЕБРА" (вторая часть). Летний отдых в Карелии.
Уникален и разнообразен отдых - это рафтинг, сплавы и походы по рекам, пешие и велосипедные прогулки по лесам. Природа наполнит здоровьем и дарами карельских лесов и богатствомрек.
Слайд 13:
10. Сократите дробь ![]()
Решение:

Ответ: 96
Слайд 14:
11. Рыболов в 5 часов утра на моторной лодке отправился от пристани против течения реки, через некоторое время бросил якорь, 2 часа ловил рыбу и вернулся обратно в 10 часов утра того же дня. На какое расстояние от пристани он отплыл, если скорость реки равна 2 км/ч, а собственная скорость лодки 6 км/ч.
Решение: Пусть искомое расстояние равно х км. Скорость лодки против течению равна 4 км/ч, а скорость по течению равна 8 км/ч. Время движения лодки от пункта отправления до пункта назначения (x/8 + x/4) часа. Составим уравнение: x/8 + x/4=3. Решим уравнение, получим х=8.
Ответ: 8 км
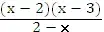
Слайд 15:

Решение: Разложим числитель дроби на множители x2 - 5х + 6= (х-2)(х-3).
При х
2 исходная функция принимает вид у==
= - (х-3)=3-х.0000
График функции у=3-х - прямая, из которой выколота точка (2;1).
Слайд 16: Растительный и животный мир Карелии
Леса с преобладанием сосны занимают 60%, ели - 28%, березы - 11%, покрытой лесом площади.
Карелия богата пищевыми растениями - ягодами и грибами. Основной грибной сбор составляют подосиновики и подберезовики, в изобилии - белые грибы, лисички, грузди, рыжики и маслята.
Список охотничьих зверей Карелии насчитывает 25 видов. Лось, бурый медведь, северный олень, дикий кабан, волк, рысь и лисица - могут быть объектами охотничьего туризма.
Слайд 17: Модуль "Геометрия". 13. В равнобедренном
АВС с основанием АС внешний угол при вершине С равен
. Найдитевеличину
АВС. Ответ дайте в градусах. Ответ: 66
Беломорско-Балтийский канал соединяет Белое море с Онежским озером, имеет выход в Балтийское море и к Волге.
Слайд 18: 14. Две стороны параллелограмма равны 10 и 9. Из одной вершины на две стороны опустили высоты, как показано на рисунке. Длина большей из высот равна 6. Найдите длину другой высоты.

Ответ: 5,4
Церковь Успения Пресвятой Богородицы в Кондопоге - последняя шатровая церковь на Руси.
Слайд 19:15. Найдите площадь трапеции, изображенной на рисунке.

Ответ: 168
Самое крупное озеро Европы - Ладожское. Второе по величине в Европе - Онежское озеро.
Слайд 20: 16. Точка О - центр окружности.
АСВ=
(см. рисунок). Найдите величину
АОВ (в градусах).

Ответ: ![]()
В медицине используются ягоды и листья черники, брусники и клюквы.
Слайд 21: 17. Укажите номера верных утверждений:
1) Через точку, не лежащую на данной прямой, можно провести прямую, параллельную этой прямой.
2) Треугольник со сторонами 1, 2, 4 существует.
3) Если в ромбе один из углов равен 90о, то такой ромб - квадрат. Ответ: 13
Ягоды морошки и голубики служит источником витаминов и ценным лекарственным растением.
Слайд 22: 18. Длина вектора
равна 3, длина вектора
равна 5. Косинус угла между этими векторами равен 1/15. Найдите длину вектора
+ ![]()

Ответ: 6
Карелия это клад для грибников. Огромное количество съедобных грибов, от белых, подосиновиков, подберезовиков до рыжиков, лисичек и груздей собирается ежегодно для сушки и засолки.
Слайд 23: Модуль "Геометрия" (вторая часть). Зимний отдых в Карелии.
Отдых зимой в Карелии - это прекрасная возможность совместить посещение достопримечательностей с активными зимними развлечениями. Это и лыжные туры, туры на собачьих и конных упряжках, снегоходы.
Слайд 24: 19. В параллелограмме ABCD точка E - середина стороны AB. Известно, что EC=ED. Докажите, что данный параллелограмм - прямоугольник.
Доказательство:
BEC =
AED по трем сторонам.Значит,
CBE=
DAE.
Так как их сумма равна
, то углы равны
.
Такой параллелограмм - прямоугольник.

Слайд 25: 20. Основание АС равнобедренного
АВС равно 12. Окружность радиуса 8 с центром вне этого треугольника касается продолжений
боковых сторон треугольника и касается основания АС. Найдите радиус окружности, вписанной в
АВС.
Решение: Пусть О - центр данной окружности, а Q - центр окружности, вписанной в
АВС.
Из прямоугольного
OAQ (AQ и AO - биссектрисы смежных углов) находим, что AM2=MQ*MO. Следовательно, QM=
= 9/2 =4,5.

Ответ: 4,5
Слайд 26: Модуль "Реальная математика". Рыбное богатство. Грибное разнообразие.
В 2012 году Карелию посетили 1,7 млн. туристов. Карелия влечет к себе людей своими заповедными уголками, чистым воздухом, яркими красками растительного мира, богатейшим культурным наследием.
В озерах живут щука, плотва, салака, форель, окунь, ряпушка, ерш и налим. В реках обитает сиг, щука, лосось.
Слайд 27: 21. В таблице приведены нормативы по бегу на 30 метров для учащихся 9-х классов
| мальчики | девочки | |||||
| Отметки | "5" | "4" | "3" | "5" | "4" | "3" |
| Время , секунды | 4,6 | 4,9 | 5,3 | 5,0 | 5,5 | 5,9 |
Какую отметку получит девочка, пробежавшая эту дистанцию за 5,36?
1) отметка "5"
2) отметка "4"
3) отметка "3"
4) норматив не выполнен.
Ответ: 2
Слайд 28:
22. На графике изображена зависимость атмосферного давления (в мм ртутного столба) от высоты местности над уровнем моря (в километрах). На сколько миллиметров ртутного столба атмосферное давление на высоте Эвереста ниже атмосферного давления на высоте Эльбруса?

Ответ: 12
Слайд 29: 16. Стоимость проезда в пригородном электропоезде составляет 198 рублей. Школьникам предоставляется скидка 50%. Сколько рублей стоит проезд группы из 4 взрослых и 12 школьников?
Ответ: 1980
Петроглифы - это высеченные на скалах рисунки, сделанные древними людьми, в эпоху Неолита на берегах Онежского озера и Белого моря.
Слайд 30: 24. Сколько всего осей симметрии имеет фигура, изображенная на рисунке?

Ответ: 6
Соловецкие острова. Соловки не входят в границы Республики Карелия. Но самый короткий путь к ним лежит с карельского берега, через Кемь и Беломорск. Часть туристических маршрутов по Карелии включает в себя посещение Соловецких островов (Архангельская область).
Слайд 31: 25. На рисунке изображен колодец "журавль". Короткое плечо имеет длину 2 метра, а длинное плечо - 4 метра. На сколько метров опустится ведро, когда конец короткого плеча поднимется на 1,5 метра?

Ответ: 3
Слайд 32: 26. Завуч школы подвел итоги контрольной работы по математике в 9-х классах. Результаты представлены на круговой диаграмме. Какое из утверждений относительно результатов контрольной работы НЕВЕРНО, если всего в школе 120 девятиклассников?
1) Более половины учащихся получили отметку "3".
2) Около четверти учащихся отсутствовали на контрольной работе или получили отметку "2".
3) Отметку "4" или "5" получила примерно шестая часть учащихся
4) Отметку "3", "4", "5" получили более 100 учащихся.

Ответ: 4
Слайд 33: 27. На тарелке лежат пирожки, одинаковые на вид: 4 с мясом, 8 с капустой и 3 с яблоками. Петя наугад выбирает один пирожок. Найдите вероятность того, что пирожок окажется с яблоками.
Ответ: 0,2
Гусиные бега. Гусиные бега проводятся в рамках ежегодного праздника "Олония - гусиная столица".
Слайд 34: 28. Период колебания математического маятника T (в сек.) приближенно можно вычислить по формуле T=2
, где
- длина нити (в метрах). Пользуясь этой формулой, найдите длину маятника (в метрах), период колебаний
которого составляет 3 секунды. Ответ: 2,25
Полезные ископаемые. Промышленное значение имеют слюда, полевой шпат, кварц, керамические пегматиты, каменные, строительные и облицовочные материалы.
Слайд 35: Карельская кухня - это своеобразная, сложившаяся веками система питания коренных жителей края. Блюда из рыбы, грибов и ягод были основными у них.
Слайд 36: Моя Карелия
- Музей "Кижи" (слайд 3)
- Валаамский монастырь (слайд 4)
- Водопад Кивач (слайд 5)
- Горный парк Рускеала (слайд 6)
- Марциальные воды (сл.7)
- Заказник карельской берёзы (сл.8)
- Нацпарк Паанаярви (сл.9)
- Заповедник "Костомукшский" (сл.10)
- Летний отдых в Карелии (слайд 12)
- Растительный и животный мир Карелии (слайд 16)
- Беломорско-Балтийский канал (слайд 17)
- Церковь Успенья Пресвятой Богородицы (слайд 18)
- Ладожское и Онежское озера (слайд 19)
- Ягоды (слайды 20 и 21) и грибы Карелии (слайд 22)
- Зимний отдых в Карелии (слайд 23)
- Петроглифы (слайд 29)
- Соловецкие острова (слайд 30)
- Гусиные бега (слайд 33)
- Полезные ископаемые (слайд 34)
- Карельская кухня (слайд 35)
Слайд 37: Домашнее задание.
1. Дана арифметическая прогрессия: -7; -4; -1 ... Найдите сумму первых восьми её членов.
2. Решите систему неравенств: ![]()
3. В прямоугольном треугольнике АВС
С=90о, катеты АС=6, ВС=8. Найдите медиану СК этого треугольника.
4. Человек, ростом 180 см, отбрасывает тень 110 см. Тень от столба равна 440 см. Найти длину столба. Ответ дайте в сантиметрах.
5. Вчера число учеников, присутствовавших на уроках, было в 8 раз больше числа отсутствовавших. Сегодня не пришли еще 2 человека, и оказалось, что число отсутствовавших составляет 20% от числа присутствующих. Сколько всего учеников в классе?
Слайд 38: Спасибо всем за внимание!
Карелия оставит неизгладимые впечатления у любого, кто приедет сюда.
