Конспект урока алгебры по теме "Решение тригонометрических уравнений, сводящихся к квадратным". 10-й класс
Учебник: под редакцией А.Н. Колмогорова. "Алгебра и начала математического анализа 10-11 классы"
Тип урока: комбинированный.
Цели урока:
Образовательные:
- вспомнить методы решения простейших тригонометрических уравнений и обеспечить их применение при решении задач вариантов ЕГЭ;
- изучить метод замены тригонометрической функции для решения некоторых видов тригонометрических уравнений;
- закрепить навыки решения простейших тригонометрических уравнений;
Развивающие:
- продолжать содействовать развитию у учащихся мыслительных операций: умение анализировать, синтезировать, сравнивать;
- продолжать формировать и развивать общеучебные умения и навыки: обобщение, поиск способов решения;
- продолжать отрабатывать навыки самооценивания знаний и умений, выбора задания, соответствующего их уровню развития.
Воспитательные:
- вырабатывать самостоятельность при работе на уроке;
- способствовать формированию активности и настойчивости, максимальной работоспособности.
Структура урока:
1. Вводно-мотивационная часть.
1.1. Организационный момент.
1.2. Устная работа.
2. Основная часть урока.
2.1. Повторение (чередование фронтальной и индивидуальной форм работы с последующей проверкой задания).
2.2. Знакомство с новым способом решения тригонометрических уравнений.
3. Рефлексивно-оценочная часть урока.
3.1. Обсуждение результатов индивидуальной работы.
3.2. Информация о домашнем задании.
3.3. Подведение итогов урока.
Ход урока
1. Вводно-мотивационная часть
1.1.Организационный момент.
Задачи этапа: обеспечить внешнюю обстановку для работы на уроке, психологически настроить учащихся к общению.
Содержание этапа:
1. Приветствие.
Учитель: Здравствуйте, садитесь! Запишите сегодняшнее число и тему урока. "Метод замены для решения некоторых тригонометрических уравнений". Задания по решению тригонометрических уравнений встречаются в вариантах ЕГЭ.
2. Проверка готовности учащихся к уроку.
Учитель: Ребята, кто сегодня отсутствует? Все готовы к уроку? Итак, внимание. Начинаем!
3. Озвучивание целей урока и плана его проведения.
Учитель: Тема нашего урока - решение тригонометрических уравнений. Я думаю, вам будет интересно на уроке.
Цель урока сегодня - вспомнить метод решения простейших тригонометрических уравнений, решение квадратных уравнений и изучить, как с помощью замены тригонометрических функций сводить некоторые тригонометрические уравнения к квадратным.
В начале урока мы вспомним методы решения квадратных уравнений, числовые значения тригонометрических функций, основные формулы тригонометрии, формулы решения простейших тригонометрических уравнений.
После каждого блока заданий будем проводить разноуровневые проверочные работы, задания которых вы будете выбирать самостоятельно, учитывая свои знания, умения и навыки. Проверяем решения, и вы выставляете себе оценку за каждый вид заданий.
После чего познакомимся с тем, как с помощью замены переменных сводить некоторые тригонометрические уравнения к квадратным. Обсудим полученные результаты работы на уроке, оценим индивидуальную работу. Затем получите инструктаж по выполнению домашнего задания и подведем итоги урока. Согласны с таким планом работы? Хорошо! Итак, приступаем.
1.2. Устная работа.
Задачи этапа: создать базу для усвоения понятий, которые будут использованы на уроке.
Содержание этапа:
Учитель: Первое задание для устной работы - решите уравнения:
| Уравнения | Ответ |
| -3, 3 | |
| 1 | |
| 3, 5 | |
| -2, -1, 1, 2 |
Учитель: Второе задание - используя основные формулы тригонометрии, упростите выражение:
| Выражение | Ответ |
| 0 | |
2. Основная часть урока.
2.1. Повторение (чередование фронтальной и индивидуальной форм работы с последующей проверкой задания).
Задачи этапа: обеспечивать развитие у учащихся общеучебных умений и навыков: умение анализировать, синтезировать, сравнивать, обобщать, поиск способов решения, отрабатывать навыки самооценивания знаний и умений, выбора разноуровневого задания.
Содержание этапа:
Учитель: Ребята, давайте вспомним свойства четности и нечетности тригонометрических функций и значения тригонометрических функций для различных чисел.
Учащиеся формулируют свойства четности и нечетности, называют табличные значения тригонометрических функций.
Учитель: А теперь выполним самостоятельную работу. Работа предлагается в 2 вариантах, после чего проверим правильность ее выполнения.
Найдите значения тригонометрических выражений:
| 1 вариант | 2 вариант | ||
| Вычислить | Ответ | Вычислить | Ответ |
| 1 | -1 | ||
| Нет | нет | ||
Учитель: А теперь сверьте свои ответы с ответами соседа. Сверили. Молодцы!
Учитель: Ребята, проверьте правильность ответов и оцените свои работы согласно шкале:
| Количество верных ответов | Оценка |
| 6 | 5 |
| 5 | 4 |
| 4 | 3 |
| <4 | 2 |
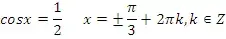
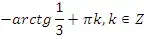
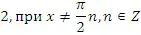
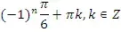
Учитель: Ребята, а теперь перейдем к решению простейших тригонометрических уравнений. Напомните, пожалуйста, формулы решения уравнений вида:
, при
.
Учащиеся называют формулы решения уравнений
2.2. Введение нового способа решения тригонометрических уравнений.
Задачи этапа: организовать деятельность учащихся по применению знаний, умений и навыков при решении тригонометрических уравнений незнакомыми способами.
Содержание этапа:
Учитель: А сейчас познакомимся с решением тригонометрических уравнений новым способом: с помощью замены одной из тригонометрических функций и сведением к квадратному уравнению.
| Вид уравнения | Подходящая замена | |
| 1 | ||
| 2 | ||
| 3 | ||
| 4 | ||
| 5 | ||
| 6 | ||
| 7 |
В таблице приведены виды тригонометрических уравнений и подходящая замена переменной, с помощью которой данные уравнения могут быть сведены к квадратным. Чтобы не заучивать таблицу, давайте выделим признаки, по которым произвольное тригонометрическое уравнение может быть классифицировано, как уравнение, сводящееся к квадратному.
Первым действием нужно убедиться, что все тригонометрические функции, входящие в уравнение, имеют единый аргумент. Если это не так, то их нужно свести к единому аргументу. Для этого используются формулы блока: "формулы двойного аргумента"
Вторым действием нужно пытаться привести уравнение виду:
, где
- некоторые числа,
- одна из тригонометрических функций. Для этого используется основное тригонометрическое тождество или
взаимосвязь между тангенсом и котангенсом.
Третьим действием общая тригонометрическая функция заменяется буквой
, при этом учитывается область значений обозначаемой
функции.
Таким образом, некоторые тригонометрические уравнений могут быть сведены к видам из таблицы.
Учитель: разберем несколько примеров:
1) ![]()
Данное уравнение соответствует (1) таблицы, поэтому делаем замену
,
- получаем квадратное уравнение:
, - находим корни
, - замечаем, что
посторонний корень, поскольку
, - делаем обратную замену, т.е. решаем уравнение
, у которого корнями будут числа
.
Ответ:
.
2)
.
Данное уравнение соответствует (3) таблицы, поэтому cделаем замену
. Из основного тригонометрического тождества следует, что
,
,
- получим квадратное уравнение:
, - находим корни:
, - делаем обратную замену:
или
Ответ:
,
.
3)
.
Данное уравнение соответствует (7) таблицы, поэтому можно сделать замену
или
. После решения примера самостоятельно сделайте другую замену и сравните ответы.
Сделаем, например, замену
, вспомним, что
, поэтому
, получим уравнение
, откуда
или, делая обратную замену,
.
Ответ:
.
4)
.
Данное уравнение непосредственно не имеет вид, описанный в таблице. Как правило, легко классифицировать уравнения, если привести тригонометрические функции в него входящие к одному аргументу.
Поскольку
, то уравнение сведено к (2) виду таблицы. Поэтому делаем замену
и получаем неполное квадратное уравнение
, откуда
. (
посторонний корень, поскольку
.
Делаем обратную замену:
Ответ:
.
Учитель: А теперь выберите одно из предложенных уравнений и самостоятельно решите его.
| На оценку | 1 вариант | |
| задание | ответ | |
| 3 |
|
|
| 4 |
|
|
| 5 |
|
|
|
2 вариант |
||
| 3 |
|
|
| 4 |
|
|
| 5 |
|
|
Учитель: "А теперь проверьте работу соседа, поставьте оценку".
Выписываются на доске ответы. Учитель: проверьте правильность собственного решения и правильность проверки примера соседа.
3. Рефлексивно-оценочная часть урока.
3.1. Обсуждение результатов индивидуальной работы.
Задачи этапа: дать качественную оценку работы каждого ученика по выполнению самостоятельной работы.
Содержание этапа:
Учитель: А теперь вы оцените свою работу на уроке. Вы самостоятельно выполнили 5 упражнений:
- 1 - решали квадратные уравнения,
- 2 - упрощали тригонометрические выражения,
- 3 - искали значения тригонометрических выражений
- 4 - решали тригонометрические уравнения, сведением к квадратным
- 5 - проверяли решения соседа по парте.
Найдите среднее арифметическое всех выставленных оценок, округлите результат, и эти оценки я вам выставляю в журнал.
3.2. Информация о домашнем задании.
Задачи этапа: сообщить учащимся о домашнем задании, обеспечить понимание цели, содержания и способов решения.
Содержание этапа:
Учитель: Дома я предлагаю закрепить пройденный материал и выполнить следующие задания: 1) прочитать параграф 3 пункт 11, 2) сделать номера (см. таблицу)
| № | Задание | Ответ |
| 164г | ||
| 165а |
|
|
| 166в | ||
| 172г |
|
|
| 167б |
|
3.3. Подведение итогов урока.
Задачи этапа: вспомнить основные моменты урока, проанализировать усвоение предложенного материала и умение применить полученные знания в дальнейшем
Содержание этапа:
Учитель: Подведем итоги урока. Сегодня на уроке мы вспомнили метод решения квадратных и биквадратных уравнений, числовые значения тригонометрических функций, вспомнили формулы решения простейших тригонометрических уравнений, познакомились с новым способом решения некоторых известных тригонометрических уравнений. У меня появилась уверенность, что с решением тригонометрических уравнений домашней работы большинство из вас справится.
Фронтальным опросом вместе с учащимися подводятся итоги урока:
- Что нового узнали на уроке?
- Испытывали ли вы затруднения при выполнении самостоятельной работы?
- Испытывали ли вы затруднения при выборе самостоятельной работы?
- Какие пробелы в знаниях выявились на уроке?
- Какие проблемы у вас возникли по окончании урока?
Учитель: Дорогое ребята! Спасибо вам за работу на уроке. Я благодарю всех, кто принял активное участие в работе. Благодарю вас за помощь в проведении урока. Урок окончен. До свидания!
Список литературы.
1. Виленкин Н.Я. и др. "Алгебра и математический анализ для 10 класса". М., Просвещение, 2010.
2. Бортакивский А.С., Закалюкин В.М., Шапошников В.П. "Экзаменационные задачи и варианты по математике". М., МАИ-ПРИНТ, 2009.
3. Мордкович А.Г. "Алгебра и начала анализа 10-11 класс" М., Мнемозина, 2001.
4. Рурукин А.Н. "Контрольно-измерительные материалы. Алгебра и начала анализа: 10 класс", М., "ВАКО", 2011.